文 章 信 息
原位聚合+原位生长MOFs构建分级固态锂电聚合物电解质
第一作者:林锐帆
通讯作者:金英敏*,熊岳平*
单位:哈尔滨工业大学
研 究 背 景
复合聚合物电解质相比无机陶瓷电解质与固体聚合物电解质,具有轻质柔软,界面兼容性好、电化学性能优异的优点,被认为是固态电解质的重要发展方向。然而越来越多的研究表明,由于填料种类以及填料分布结构的不同,使用填料复合的复合电解质往往会展现出截然不同的性能。选用高性能填料,结合先进的制备方法设计合理的复合电解质结构是实现复合固态电解质实用化的可行路径。
文 章 简 介
近日,来自哈尔滨工业大学的熊岳平教授与金英敏助理教授团队在国际知名期刊Chemical Engineering Journal发表题为“Hierarchical bulk-interface design of MOFs framework for polymer electrolyte towards ultra-stable quasi-solid-state Li metal batteries”的研究论文。硕士研究生林锐帆为论文第一作者,熊岳平教授、金英敏助理教授为论文共同通讯作者。
本文报道了一种由金属框架有机化合物(MOFs)作为填料,由聚二氧戊环(PDOL)为聚合基体,使用静电纺丝、原位聚合、原位生长等手段构筑的分级复合聚合物电解质结构。此结构中过量的MOFs填料不影响渗流网络中的锂离子传导路径,而是发生单侧沉积形成负极增强层,有效提高了电解质对锂枝晶的阻挡能力。而体相中附着的MOFs填料既能利用其路易斯酸性增强锂盐溶解、促进原位聚合发生,也能利用其框架吸附体相锂盐阴离子,有效提高自由锂离子浓度。基于此电解质组装得到的对称锂电池能在0.1mA cm-2的电流密度下以低极化循环超过2300h,与磷酸铁锂电极组合得到的固态锂金属电池在2C倍率下循环570次后仍具有初始放电容量的92.5%。
图 1UZE的制备过程和设计原理
本 文 要 点
要点一:体相MOFs对聚合物抗氧化性的提升作用
常规聚醚类电解质中,醚氧基的邻近碳在高电压下容易与TFSI−相互作用,导致脱氢和氧化等副反应,从而形成HTFSI和H2等副产物,并进一步生成副产物,引起阴极腐蚀。引发剂二氟草酸硼酸锂(LiDFOB)引发的DOL聚合机理如图所示,首先,LiDFOB会分解成四氟硼酸锂(LiBF4)和双草酸硼酸锂(LiBOB),一旦聚合终止,分解反应可以被认为是可逆的。LiBF4倾向于分解成LiF和强Lewis酸性BF3,因此BF3倾向于与溶剂中的微量水相互作用,产生质子化的H,引起DOL中O原子的电子云畸变,暴露邻位C 。孤对电子其他DOL中的O原子会攻击正电荷C以引发开环反应。一段时间后,由于微量水对氧鎓离子的攻击以及伴随的亲核取代,链增长将终止。实验发现所使用的ZIF-67MOFs材料具有强路易斯酸Co2+位点,其不仅能够调节CPE内部的离子配位环境,而且还通过与LiDFOB类似的模式促进DOL的长链聚合。进一步,通过密度泛函理论分析计算了不同分子量PDOL的前线轨道,验证了长链PDOL具有更强的抗氧化能力。使用线性扫描伏安法测定电化学窗口后发现,所添加的ZIF-67填料将电化学窗口从4.8V显著提升至5.9V,表明电解质拥有与高电压正极良好匹配的潜力。
图 2(a)PDOL开环聚合机理 (b)PPE电解质与UZE电解质的LSV曲线 (c)不同分子链长度的PDOL的HOMO/LUMO轨道能级计算
要点二:体相MOFs与聚合物及锂盐的相互作用
体系中锂离子传导方面,ZIF-67表面路易斯酸位点上阴离子的吸附释放出更多的锂离子,借助一维PVDF纤维物质直接沿紧密堆积的ZIF-67晶体传输,从而避免锂离子在聚合物基质内曲折且缓慢的扩散。由于MOFs独特的孔隙结构,只有Li+可以选择性地迁移通过锂金属电极侧坚固的笼状ZIF-67隔离层,从而避免了阴离子极化引起的枝晶形成。为了验证PVDF@ZIF-67骨架对调节电解质离子输运性能的影响,并进一步解耦ZIF-67在骨架上和沉积层之间的工作机制,对几种电解质进行了电化学阻抗谱(EIS)、直流极化以及红外、拉曼光谱的表征。实验发现当ZIF-67晶体分散在聚合物基体的体相中时,其空间分布方式表现出更有效的界面相互作用区域。添加ZIF-67填料后,电解质电导率提升80%,锂离子迁移数从0.19提升至0.65。其性能提升主要是由于ZIF-67填料上的Co金属位点不仅促进LiTFSI解离,从而增加游离TFSI−的量,而且还将TFSI−的配位状态从Li+-TFSI−转变为金属节点-TFSI−。光谱中对应的峰位置与强度的偏移与变化证实了这一点。进一步的分子动力学表征证实了聚合物附近锂离子的配位距离增加,锂盐阴离子与锂离子的配位强度下降,锂离子能以较高的扩散速度于体系中迁移。密度泛函理论分析则证实了MOFs对锂盐阴离子的高吸附能。
图 3 (a) UZE、PDOL 和 DOL 前体的 FT-IR 光谱,(b) C-PVDF、U-PVDF、PPE 和 UZE 的交流阻抗谱,(c) PDOL、PPE 和 UZE 的阿伦尼乌斯图,(d) UZE的锂离子迁移数、(e) PPE 和 (f) UZE 的拉曼光谱
图 4 (a) ZIF-67和PDOL界面的MD模型,(b) LiTFSI吸附的DFT模型,(c) ZIF-67表面吸附能最低的LiTFSI吸附位点,(d) Li-NTFSI-和 (e) Li-OPDOL的径向分布函数和配位数图,(f) Li+ 在体相和表面中的均方根位移,(g) HOMO/LUMO 轨道能级计算图。
要点三:单侧沉积层提供选择性透过界面层
所选用的MOFs颗粒孔径小于锂盐阴离子而大于锂离子:ZIF-67的微孔尺寸和孔道尺寸分别为11.6 Å和3.4 Å,可以限制长度为7.9 Å、宽度为2.6 Å的TFSI−阴离子,同时允许1.18 Å锂离子的自由迁移。体系中只有Li+可以选择性地迁移通过锂金属电极侧坚固的笼状ZIF-67单侧沉积隔离层,从而避免了阴离子极化引起的枝晶形成。电导率测试验证了尽管电导率提升的主要原因是体相MOFs颗粒,但是界面沉积层可以有效提升迁移数,且不影响界面处锂离子快速传导。在界面上,ZIF-67沉积层通过阴离子捕获效应,显著降低了锂盐阴离子与锂金属直接接触而产生的产物量,防止SEI过度生长导致Li+迁移缓慢。进一步,通过分子动力学模拟选择性通过层处锂离子与锂盐阴离子之间迁移速度的差异,验证了选择性通过层对稳定性提升的机理。
图 5(a) PVDF、(b) PVDF@ZIF-67 和 (c) PVDF@ZIF-67 纤维膜单边沉积表面的 SEM 图像,(d) PVDF@ZIF-67 的 EDS 线扫描区域和线扫描图, (e) PVDF 和 PVDF@ZIF-67 的 FT-IR 光谱,(f) PVDF@ZIF-67 和 PVDF 膜在 t = 103 ms 时的接触角快照。
图 6 (a) 具有 PPE 和 UZE 的对称锂电池在 0.1 mA cm−2、容量为 0.1 mAh cm−2 时的电压响应,PPE的(b) C 1 s、(c) F 1 s 和 (d) N 1 s的高分辨率 XPS 谱,PPE的,UZE的(e)C 1 s,(f)F 1 s和(g)N 1 s高分辨率 XPS 谱,选择性沉积层的MD模拟快照(h)0 fs,(i)96 fs,(j)2500 fs , (k) 9600 fs。
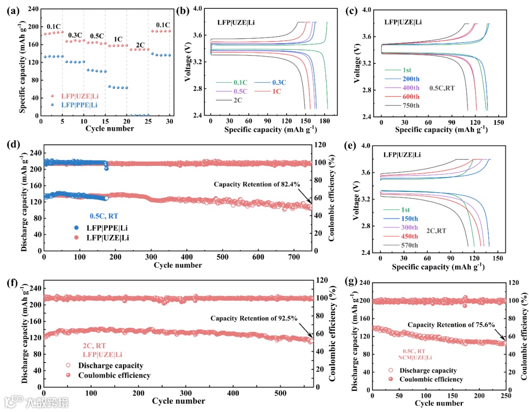
要点四:原位聚合固态锂金属电池测试
为了评估电解质在电池中的实际应用能力,在原位聚合锂电池中采用LiFePO4(LFP)和LiNi0.5Co0.2Mn0.3O2(NCM)正极进行25℃下的恒电流循环测试。Li||LFP电池在所有电流密度下都表现出较高的容量性能,其中在1C和2C下分别表现出157.9 mAh/g和149.2 mAh/g的显著高比容量。长期测试中,0.5C倍率下在750次的稳定循环后仍保留了110.3 mAh/g的放电容量,2C倍率下在570次稳定循环后仍保留初始放电容量的92.5%,证实了UZE电解质能够显著减轻界面恶化并抑制枝晶生成。在与NCM电极匹配时,Li||NCM电池在0.5C下拥有139mAh/g的初始放电容量,并在250次循环后保留75.6%的放电容量,证实了ZIF-67分级结构有效提升了聚醚基电解质的高压正极兼容性,为进一步的商业应用提供了可能性。
图 7原位聚合锂电池的室温循环性能,(a)Li||LFP电池的倍率性能和(b)不同倍率下的相应电压曲线,Li||LFP电池在 0.5C 下的电压曲线(c)和循环性能(d),Li|UZE|LFP 电池在 2C 下的电压曲线(e)的循环性能(f), (g) Li|UZE|NCM 电池在 0.5C 下的循环性能。
文 章 链 接
Hierarchical bulk-interface design of MOFs framework for polymer electrolyte towards ultra-stable quasi-solid-state Li metal batteries
https://doi.org/10.1016/j.cej.2023.147558
通 讯 作 者 简 介
金英敏 助理教授简介:
金英敏,哈尔滨工业大学化工与化学学院助理教授、讲师。先后于哈尔滨工业大学获得学士学位(2018年)和博士学位(2023年,导师:熊岳平教授)。主要从事固态锂金属电池方面研究,包括氧化物陶瓷电解质、复合固态电解质、原位聚合固态电解质、复合正极、纤维隔膜材料的设计与研发,相关研究成果以第一/通讯作者身份发表于Energy Storage Materials, Chemical Engineering Journal, Small, Journal of Power Sources, Applied Surface Science, Ceramic International等期刊,授权国家发明专利3项。
熊岳平 教授简介:
熊岳平,哈尔滨工业大学化工与化学学院教授、博导。1999年在哈尔滨工业大学应用化学系获得博士学位,1989-1990前往日本宇都宫大学工学部担任访问学者,1996-1999期间担任名古屋工业大学访问学者与客座研究员,1999-2009担任日本产业技术综合研究所客座研究员。在SOFC/固体电解质的传导特性方面具有30年的研究基础,修正了原有的高温固体氧化物(H. proton)传导理论,确立了纳米纤维基复合电极的传导特性、结构演化及单电池性能衰减机制。在Journal of Power Sources, Applied Surface Science, Ceramic International, International Journal of Hydrogen Energy等国际知名期刊发表SOFC专业领域SCI论文50余篇,H因子37,申请发明专利11项,授权5项。先后承担国家自然科学基金面上项目、国家高技术研究发展计划(863计划)、国家重点基础研究发展计划(973计划)以及国家重点研发计划“可再生能源与氢能技术”重点专项。
第 一 作 者 简 介
林锐帆,2018-2022年于哈尔滨工业大学化工与化学学院攻读学士学位,自2023年于哈尔滨工业大学攻读硕士学位,研究的主要方向为锂离子电池固态电解质。
添加官方微信 进群交流
SCI二氧化碳互助群
SCI催化材料交流群
SCI钠离子电池交流群
SCI离子交换膜经验交流群
SCI燃料电池交流群
SCI超级电容器交流群
SCI水系锌电池交流群
SCI水电解互助群
SCI气体扩散层经验交流群
备注【姓名-机构-研究方向】
投稿请联系contact@scimaterials.cn
点分享
点赞支持
点在看


