研 究 背 景
固态电池(SSB)是一种新兴的储能技术,其具有高能量密度和安全性。实现SSB需要材料发现和加工方面的发展。目前,使用陶瓷电解质制造 SSB 仍然具有挑战性。从材料加工的角度来看,聚合物电解质由于其灵活性、卷对卷加工和优异的界面性能,可能成为制造 SSB 的解决方案。为此,研究人员需要设计下一代轻质、柔性、无溶剂和电化学稳定的聚合物电解质材料,其具有超快和明确的离子传输特性。定制与离子传输相关的纳米结构-性能相互依赖性是预测设计具有超高电导率的聚合物电解质的可行方法。
离子传输可以通过三个基本传输参数来定量表示:离子迁移率、自由离子浓度和迁移数。在不同的电解质类型中,聚合物复合电解质具有与两相相称的性能优势。陶瓷氧化物相具有高导电性和抗枝晶性,而聚合物相虽然导电性较差,但提供了灵活且易于加工的基质,用于分散陶瓷相并合成与阴极和阳极具有优异界面性能的独立薄膜电解质。目前,陶瓷相和离子传输机制之间的结构-性能相互依赖性仍然是 SSB 复合聚合物电解质中一个有趣的概念。
鉴于此,美国橡树岭国家实验室李健林博士带领团队在ACS Nano上发表了题为“Nanoscale Ion Transport Enhances Conductivity in Solid Polymer-Ceramic Lithium Electrolytes”的最新研究成果。
文 章 要 点
Figure 1. SEM image of the electrospun Al-LLZO platelets. The scale bar is 10 µm. The inset shows a cross-sectional SEM image of a composite PEO electrolyte filled with 15 wt% Al-LLZO. The scale bar is 4 µm.
在这项工作中,作者建立了陶瓷聚合物复合材料中复合材料结构、聚合物链段动力学和锂离子 (Li+) 传输之间的相关性。
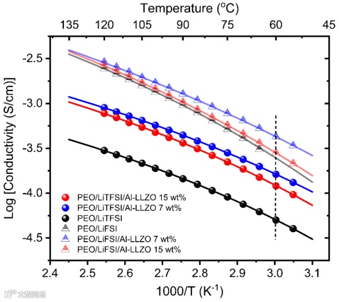
Figure 2. Summarized Arrhenius plot for the composite LiTFSI and LiFSI PEO electrolytes filled with Al-LLZO. The electrochemical testing was performed at 60 oC (dotted line on the plot).
阐明这种结构-性能关系将可以通过优化电解质的宏观电化学稳定性来调整Li+电导率。作者发现通过控制聚合物/陶瓷界面的形态和功能可以增强慢聚合物链段动力学的离子解离。复合电解质中Li+盐的化学结构与离子簇域的大小、导电机制和电解质的电化学稳定性相关。
Figure 4. Experimental SAXS patterns and model-fits of the (a, b) PEO/LiFSI electrolytes at 25 oC and 60 oC. (c, d) PEO/LiTFSI electrolytes at 25 oC and 60 oC. The SAXS model-fits were based on multiple SAXS model functions as indicated in each plot. The fitting parameters of the SAXS functions that were used to fit the scattering curves are summarized in the Supporting Information.
作者使用填充有双(三氟甲磺酰基)亚胺锂(LiTFSI)或双(氟磺酰基)亚胺锂(LiFSI)盐的聚环氧乙烷(PEO)作为基质。此外,具有平面几何形状的石榴石电解质、铝取代的锂镧锆氧化物(Al-LLZO)被用于陶瓷纳米颗粒部分。
Figure 5. Structural behavior of Li+ ions. Radial distribution function (RDF) of Li+ with respect to (a) fluorine, (b-c) oxygen of salt and oxygen of PEO at two different temperatures, 60 ºC and 120 ºC. (d) Li+ with nitrogen atoms of salt. (e) and (f) snapshots showing LiFSI and LiTFSI respectively. For clarity only Li+ and Li+ salts are shown.
作者使用介电弛豫光谱研究了强束缚和高流动性 Li+ 的动力学。Al-LLZO 片晶的掺入增加了更易移动的 Li+ 的数量密度。
Figure 6. The mean-square-displacement (MSD) and diffusivities of the Li+, FSI/TFSI anions, and PEO chains. (a) Comparison of Li+, FSI and PEO MSDs for LiFSI samples at 50 ºC. (b) Comparisons of Li+, TFSI and PEO MSDs for LiTFSI sample at 50 ºC. (c) Comparison of Li+ and PEO dynamics (MSDs) for LiFSI and LiTFSI at 50 ºC (solid lines) and 120 ºC (dashed lines) respectively. The color schemes are shown in legends. (d) Diffusivity, calculated from Einstein’s relation, of Li+, FSI/TFSI and PEO chain. The circles (solid lines) and triangles (dashed lines) represent LiFSI and LiTFSI samples respectively.
作者通过小角X射线散射研究纳米级离子团聚结构,同时进行分子动力学(MD)模拟研究,以获得LiTFSI 和 LiFSI 盐中 Li+ 与长 PEO 链去相关的基本机制。
Figure 7. Comparison of the long term galvanostatic cycling of the (a, b) LiFSI and LiTFSI electrolytes and (c, d) LiTFSI and LiTFSI composite filled with 7 wt% Al-LLZO at 60 oC and 50 µA/ cm-2.
文 章 链 接
Georgios Polizos et al., Nanoscale Ion Transport Enhances Conductivity in Solid Polymer-Ceramic Lithium Electrolytes. ACS Nano 2024.
https://doi.org/10.1021/acsnano.3c03901.
通 讯 作 者 简 介
Dr. Jianlin Li (李健林) is the Energy Storage and Conversion department manager in the Applied Materials division. He leads a department devoted to creating a go-to department that sustains national leadership in advanced materials manufacturing and process scale up for energy storage and conversion applications. The department aims to be a one-stop shop covering from precursors for material development to manufacturing of final devices.
Jianlin’s research area includes materials synthesis, processing and characterization, electrode engineering, cell manufacturing and prototyping for energy storage and conversion.
He received bachelor’s degrees in Materials Chemistry and Electronic Information Engineering and a master’s degree in Materials Science from the University of Science and Technology of China. Jianlin received his doctorate in Materials Science and Engineering from the University of Florida, and was most recently a senior R&D staff member and leader of the Energy Storage and Conversion Manufacturing Group at Oak Ridge National Laboratory (ORNL). Prior to joining Argonne National Laboratory, he spent almost 14 years at ORNL where he was the leader of the Energy Storage and Conversion Manufacturing Group. He was among a small team to establish the Battery Manufacturing Facility (BMF) at ORNL in 2012.
Jianlin is also the recipient of several prestigious awards, including the 2023 UT-Battelle Outstanding Research Output team award, 2021 UT-Battelle Research Accomplishment individual award, three R&D 100 awards and two Federal Laboratory Consortium awards. He holds more than 35 patents and patent applications with 7 licensed, has authored more than 170 refereed journal articles and 11 book chapters and edited one book. Jianlin serves as an associate editor for Journal of Energy Storage and IEEE IAS Transportation Systems Committee.
Dr. Jianlin Li’ Google Scholar:
https://scholar.google.com/citations?user=n2TLDPoAAAAJ&hl=en&oi=ao
添加官方微信 进群交流
SCI二氧化碳互助群
SCI催化材料交流群
SCI钠离子电池交流群
SCI离子交换膜经验交流群
SCI燃料电池交流群
SCI超级电容器交流群
SCI水系锌电池交流群
SCI水电解互助群
SCI气体扩散层经验交流群
备注【姓名-机构-研究方向】
投稿请联系contact@scimaterials.cn
点分享
点赞支持
点在看

