文 章 信 息
长循环寿命和高面容量铁掺杂α-二氧化锰/石墨烯正极材料用于锌离子电池
第一作者:张强
通讯作者:王二东*
单位:中国科学院大连化学物理研究所
研 究 背 景
便携式电子设备、电动汽车和电网储能等的蓬勃发展对成本低廉、安全可靠的电化学储能系统提出了更高的要求。水系锌离子电池成本低、比能量高、本征安全性好,有望成为下一代储能技术的理想候选者之一。在锌离子电池正极材料中,二氧化锰具有理论比容量高、放电电压平台高、环境友好、价格低廉等突出优点,是锌离子电池合适的正极材料。然而,未经改性的二氧化锰材料在充放电过程中会由于锰溶解及体积膨胀导致循环寿命短;同时由于电子电导率差(10−4 – 10−3 S m−1)及Zn2+离子与二氧化锰基体之间强静电相互作用导致倍率性能差,这极大地限制了水系锌离子电池的实际应用。目前开发兼具长循环寿命和优异动力学性能的二氧化锰正极材料仍面临巨大挑战。
文 章 简 介
近日, 来自中国科学院大连化学物理研究所王二东研究员团队,在国际知名期刊Journal of Materials Chemistry A上发表题为“Fe-doped α-MnO2/rGO cathode material for zinc ion batteries with long lifespan and high areal capacity”的研究文章。该文章报道了具有长循环寿命和高面容量的Fe-doped α-MnO2/rGO作为高比能量和倍率性能水系锌离子电池正极材料。
本 文 要 点
要点一:材料的合成与表征
图1 Fe-doped α-MnO2/rGO材料合成过程示意图
图2(a)合成的α-MnO2、Fe-doped α-MnO2和Fe-doped α-MnO2/rGO材料的XRD图谱。Fe-doped α-MnO2/rGO 的 TEM (b) 和 EDS (c) 图像。(d) Fe-doped α-MnO2/rGO和α-MnO2的TGA曲线。Fe-doped α-MnO2/rGO (e 和 f)、Fe-doped α-MnO2(g)和 α-MnO2(h)的HRTEM以及相关SAED图像。Fe-doped α-MnO2/rGO的 (i) XPS总谱,(j) C 1s、(k) Mn 2p和 (l) Fe 2p的精细光谱。
首先采用XRD、HRTEM、EDS、SAED、TGA和XPS等表征手段先对合成的α-MnO2、Fe-doped α-MnO2和Fe-doped α-MnO2/rGO等材料进行了表征,验证其成功的合成了Fe-doped α-MnO2/rGO。其中, Fe3+和Mn4+相似的原子半径 (Fe3+∼ 63 pm, Mn4+∼ 53 pm) 使Fe3+很容易占据[MO6]八面体结构中Mn4+的部分位点,从而实现对二氧化锰的异质Fe3+掺杂。在Fe-doped α-MnO2外围形成的完整rGO包覆层能够显著抑制Mn2+离子的溶解及其循环过程中的体积膨胀, 从而增强其循环稳定性。
要点二:Fe-doped α-MnO2/rGO电化学性能的研究
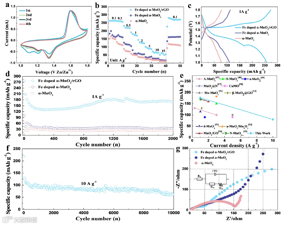
图3 (a) Fe-doped α-MnO2/rGO的CV曲线。(b) α-MnO2、Fe-doped α-MnO2和 Fe-doped α-MnO2/rGO的倍率循环性能,电流密度从 0.1 A g−1到15 A g−1,以及(c) 1 A g−1下相应的电压平台曲线;(d) 1 A g−1和(f) 10 A g−1下恒电流放电循环曲线;(e) ZIBs中MnO2基材料相应的性能对比图;(g) EIS曲线和等效电极电路。
将该Fe-doped α-MnO2/rGO作为正极组装成水系锌离子电池进行电化学性能的测试,其展示了优异的可逆比容量、高倍率性能和长循环寿命的稳定储锌性能。该Fe-doped α-MnO2/rGO正极具有非常稳定的循环性能,在电流密度为1 A g-1下循环2000圈,可逆比容量高达167.7 mAh g-1;即使在10 A g-1的大电流密度下循环10000圈,其可逆比容量仍然高达72.2 mAh g-1(优于目前报道的锌离子电池正极性能)。此外,该Fe-doped α-MnO2/rGO正极还表现出优异的倍率循环性能,即使在电流密度15 A g-1下,其可逆比容量仍然高达62.5 mAh g-1。
要点三:Fe-doped α-MnO2/rGO高载量情况下电化学性能
图4 (a) 0.05 C下,Fe-doped α-MnO2/rGO在50 mg cm−2至200 mg cm−2的高负载下的放电比容量以及相应的面容量。(b) 高负载量下Fe-doped α-MnO2/rGO 的功率密度曲线。(c)在180 mg cm−2的高负载量下,使用Fe-doped α-MnO2/rGO作为正极活性材料组装的理论容量为100 mAh软包电池的倍率放电性能。(d)使用两个组装的200 mAh级软包电池串联驱动商用便携式风扇(4.5 W)的图像。(e) 组装的理论容量800 mAh的软包电池在0.1 C下的放电曲线和(f)相应的电压平台曲线。
为了更全面的评估Fe-doped α-MnO2/rGO的电化学性能,我们也在高载量条件下测试了该材料的充放电性能。在活性物质负载量为50、100、150和 200 mg cm−2条件下,合成的Fe-doped α-MnO2/rGO材料在0.05 C (1 C = 308 mA h g−1) 电流密度下分别表现出205.0、187.0、172.0 和 164.2 mA h g−1的高放电比容量 。可喜的是, 在200 mg cm−2下,电极表现出32.8 mAh cm-2的面容量和734.1 mW cm−2的高功率密度。我们也以制备的Fe-doped α-MnO2/rGO为正极材料,组装了100 mAh级软包电池, 该电池能够在30 C高倍率条件下放电,两节电池串联便能驱功率为4.5 W的商用便携式风扇。我们还设计并组装了800 mAh的软包电池,设计的面积容量为20 mAh cm−2, 活性材料负载量约为114 mg cm−2,采用的正极和负极的容量比为1:2。令人鼓舞的是,该软包电池在0.1 C下表现出 61 Wh kg−1(计算电池所有部件)的能量密度,经过31次充放电循环后,容量保持率为85.9%。
要点四:Fe杂原子掺杂和rGO包覆改性作用机理
图1 (a) Fe-doped α-MnO2和 (b) a-MnO2的电子特性计算结果。
为进一步阐明Fe3+掺杂的作用机理,进行了理论计算。DFT计算结果表明,异质Fe3+的引入能使α-MnO2能带带隙明显降低(由1.022 eV降低到0.933 eV), 从而增强其电子电导率。同时,Fe3+掺杂在二氧化锰晶体中诱导Mn缺陷, 从而减弱了Zn2+离子插入/脱出过程中的静电相互作用。此外, 厚度约为4 nm的rGO包覆层显著抑制了Mn2+离子的溶解及其循环过程中的体积膨胀,从而增强了其循环稳定性。
总 结
综上,这种具有优越的循环稳定性和动力学性能的Fe-doped α-MnO2/rGO材料,化学性质稳定、储锌位点丰富、体积膨胀小,可以作为高可逆容量、高倍率性能且循环稳定的水系锌离子电池正极材料。这项研究工作不仅为高性能储锌二氧化锰基正极的设计开辟了新途径,也为基于掺杂和包覆策略设计高性能水系锌离子电池电极材料提供了新的视角。
文 章 链 接
Fe-doped α-MnO2/rGO cathode material for zinc ion batteries with long lifespan and high areal capacity
https://pubs.rsc.org/doi/10.1039/d3ta07587g
通 讯 作 者 简 介
王二东研究员简介:2008年于哈尔滨工业大学电化学工程专业获工学博士学位,同年在香港科技大学机械工程系从事博士后研究工作。2010年受聘于中国科学院大连化学物理研究所,现任该所金属燃料电池系统研究组组长,研究员,博士生导师。王二东研究员多年来致力于高比能量、环境友好的金属/空气燃料电池、金属海水燃料电池、电解海水制氢及新型二次电池研究开发工作。在Energy Storage Mater., ACS Energy Lett., Nano Energy, Chem. Eng. J., J. mater. Chem. A等学术刊物发表文章近50篇,申请国家发明专利190余件(已授权近100件)。
第 一 作 者 简 介
张强(工程师)简介:2018年硕士毕业于北京航空航天大学化学学院,随后在中国科学院大连化学物理研究所王二东研究员课题组工作。长期从事储能材料、电解液,以及电解(海)水关键材料的研究和开发。以第一作者身份在Chem. Eng. J., J. mater. Chem. A, Mater. Today Energy等学术刊物上发表多篇研究论文。至今已发表论文20余篇 (第一作者9篇),被引用100 余次,申请专列16项 (已授权2项)。
添加官方微信 进群交流
SCI二氧化碳互助群
SCI催化材料交流群
SCI钠离子电池交流群
SCI离子交换膜经验交流群
SCI燃料电池交流群
SCI超级电容器交流群
SCI水系锌电池交流群
SCI水电解互助群
SCI气体扩散层经验交流群
备注【姓名-机构-研究方向】
投稿请联系contact@scimaterials.cn
点分享
点赞支持
点在看

