文 章 信 息
用于可充电锌-空气电池的外场响应型三元非贵金属氧电催化剂
第一作者:顾凡,郭文改
通讯作者:王舜*,陈亦皇*,潘霜*,陈忠伟*
研 究 背 景
可充电锌空气电池(ZABs)因其能量密度高(1084 Wh kg-1)、成本低、环境友好和安全性优越而被普遍认为是下一代能源存储和转换系统之一。目前,虽然通过令人印象深刻的材料设计(如掺杂、界面工程、晶体缺陷调控)开发双功能电催化剂以促进空气阴极中迟缓的氧还原和氧析出反应(ORR/OER)仍是研究重点,但其性能的提高已逐渐接近瓶颈阶段。鉴于此,本篇文章通过聚合物辅助策略制备了一种外场响应型光热电催化剂,该催化剂含有与N-KB均匀稳定复合的三元 Ni0.5Mn0.5Fe2O4 纳米粒子(NPs)(记为 Ni0.5Mn0.5Fe2O4/N-KB),可显著提高实用ZAB的综合性能。在外部光的辅助下,该催化剂的电催化性能得到了显著提升。这项研究为利用外场响应型电催化剂实现先进可再生能源转换和存储设备的动力学促进作用展示了创新的前景。
文 章 简 介
近日,来自温州大学的王舜教授与陈亦皇教授等团队,在国际知名期刊Advanced Materials 上发表题为“External Field-Responsive Ternary Non-Noble Metal Oxygen Electrocatalyst for Rechargeable Zinc-Air Batteries”的文章。该文章通过引入光热效应进一步增强了可充电 ZABs 在正常和极端工作条件下(如低温和变形)的性能。这种改进归因于光热效应促进了卓越的导电性、加速了反应分子运动、拓宽了活性区域并增强了表面重构。综合模拟和原位拉曼光谱研究进一步揭示了光热效应在电催化过程中的关键作用和内在机制。
本 文 要 点
要点一:聚合物辅助法合成三元纳米粒子
利用聚合物辅助策略创新性地制备了外场响应非贵金属三元氧电极催化剂,将光热效应引入电催化反应并进一步提高催化活性,从而制备出ΔE 低至 0.618 V 的双功能氧电催化剂。与传统的 COOH 端聚合物配体(如 PS)不同,该策略中可离子化 PAA 嵌段的大量羧酸基团在纳米粒子结晶过程中通过静电作用和对纳米粒子的亲和力提供了极好的稳定性。这与以往研究中受接枝不充分和尺寸不均匀问题困扰的聚合物基体内原位合成等策略形成鲜明对比。
图1(a-j)合成策略和催化剂物理化学特性分析
要点二:外场辅助提升电催化性能
针对目前外场辅助提升催化性能的机理研究尚在起步阶段的现状,具有独特光热效应的外场响应型电催化剂(即光热催化剂)可通过光热转换实现远程原位加热,从而避免使用额外的笨重设备。此外,这种即时有效的光热效应可在光照射下对工作电极进行局部精确的热量控制,这是传统加热方法无法实现的,从而避免了电解液泄漏的副作用和不必要的能源浪费。
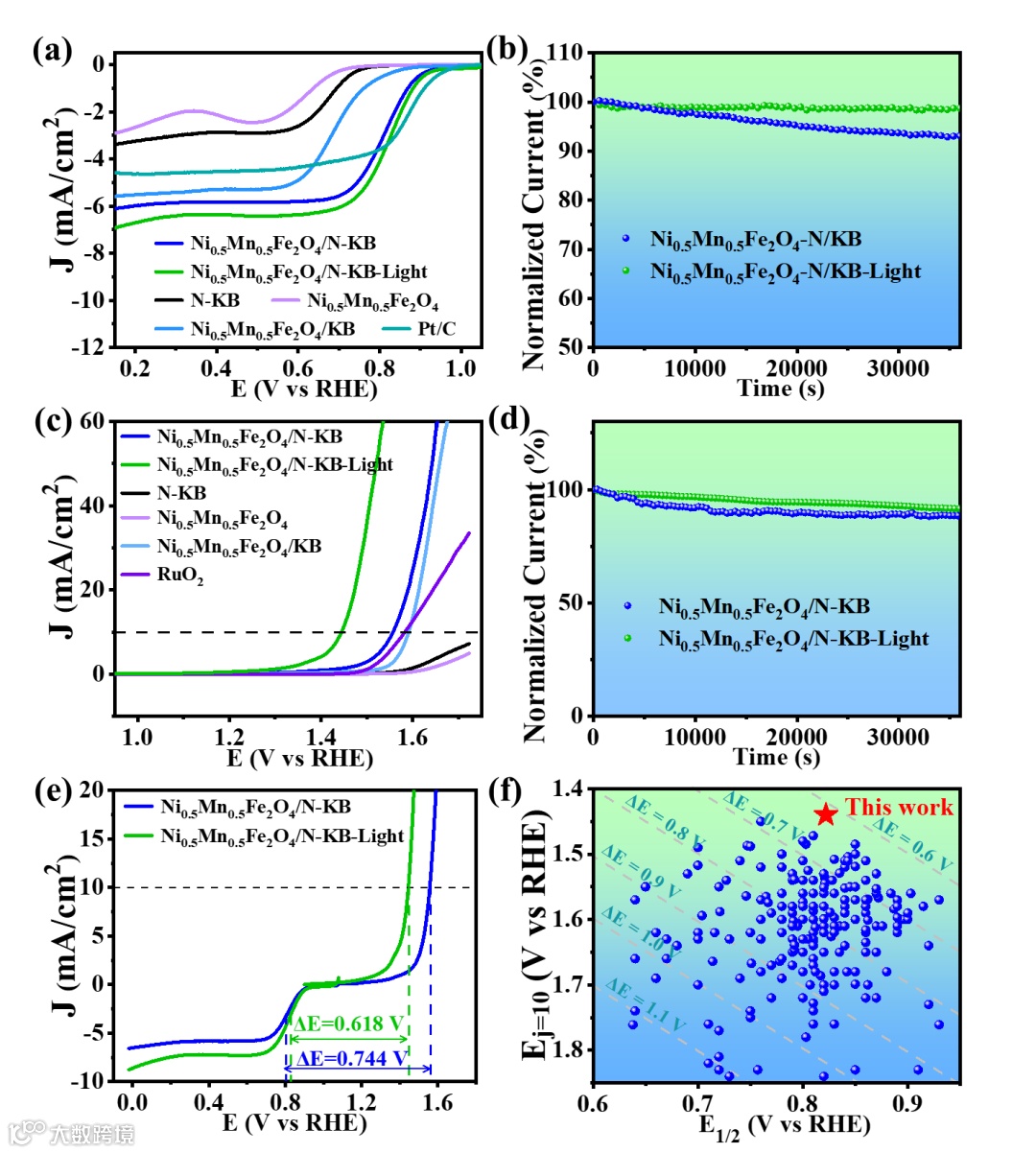
图2(a-f)电催化 ORR/OER 性能
要点三:外场辅助下ZABs的性能分析
在光热效应的作用下,电催化活性得到提高,ΔE 达到 0.618 V,优于大多数先进的双功能电催化剂(一般ΔE大于 0.68 V)。基于该催化活性和稳定性的显著提高,ZABs 器件的整体性能全面而优异,具有很强的实用性,具体表现在:液相 ZABs 在 10-100 mA cm-2 的宽电流密度范围内具有高功率密度(319 mW cm-2)和长循环寿命(例如 5,400 圈);柔性 ZAB 在室温和低温条件下(-10°C、-20°C、-30°C)具有高功率密度和长循环寿命。
图3(a-h)液相ZAB 性能评估
图4(a-i)柔性 ZAB 的电化学行为和器件性能的综合比较
要点四:外场增效催化机理研究
原位拉曼测试中,当电位升高到 1.424 VRHE 时,出现了两个与 γ-NiOOH 相关的特征峰,表明产生了活性 Ni3+分子。进一步验证光热效应能促进了其表面重构的机制。同时通过DFT 模拟验证了 Ni0.5Mn0.5Fe2O4催化剂中三元多价元素的协同作用为 ORR 过程提供了有利的电子环境,而光热促进的表面重构进一步提高了 OER 过程的固有电催化活性。另一方面,一些反应步骤(例如,在 U = 1.23 V 时,ORR 在Ni0.5Mn0.5Fe2O4中形成 OH*,OER 在 MOOH 中形成 OOH*)表现出上坡能量,表明其具有内热特征。总之,由于光热转换的作用,光热效应将促进双功能电催化行为。
图5(a-f)光热效应对电催化的潜在机理研究
文 章 链 接
“External field-responsive ternary non-noble metal oxygen electrocatalyst for rechargeable zinc-air batteries”
https://doi.org/10.1002/adma.202313096
通 讯 作 者 简 介
王舜教授简介:二级教授,博士生导师,国务院政府特殊津贴获得者,现为温州大学副校长、化学一级学科博士点带头人、Carbon Energy创刊主编。入选英国皇家化学会会士、国家百千万人才工程、国家有突出贡献中青年专家、浙江省万人计划创新领军人才等。长期致力于碳基电化学能源材料的设计合成、能量转化与存储机理及应用探索工作,相关发表包括Nature Sustainability(1篇), Nature Communications(3篇), Chemical Society Review(1篇), JACS(5篇), Angew. Chem. Int. Ed.(11篇), Advanced Materials(3篇)等高质量学术论文180余篇。拥有美国授权发明专利2项、中国发明专利70多项。多次组织和担任国际学术会议大会主席、副主席,获评国际电动车锂电池协会(IALB)“杰出研究奖”、教育部自然科学奖二等奖、浙江省科学技术奖一等奖、二等奖,浙江省担当作为好干部、浙江省优秀教师、温州市杰出人才等荣誉。
陈亦皇教授简介:材料学博士,教授,温州大学新材料与产业技术研究院副院长。入选浙江省青年托举人才(2023)、温州市“瓯越英才”高层次人才计划(2022)、温州市级领军人才(2022)、英国皇家学会RSC新锐科学家(2021)。发展了精准合成拓扑聚合物/无机纳米晶功能复合材料的普适策略,系统研究了基于聚合物、无机纳米晶及其表界面的构效关系,并探索在能量转换与存储、柔性电子器件等领域的应用前景,阐明表界面结构、外场作用及运行工况对电极催化及电池器件的协同增效机制。近五年在J. Am. Chem. Soc.、Angew. Chem. Int. Ed.、Proc. Natl. Acad. Sci. U. S. A.、Adv. Mater.、Nat. Commun.等国际期刊发表论文50余篇,合著英文书籍(CRC press)一部,主持国家、省、市科研项目及重点实验室开放课题等10余项。今年硕士毕业生人均至少一篇一区SCI论文(如AM、AFM等),其中有去上市公司(如中广核俊尔新材料)工作或去985高校(如中南大学)读博深造。
课 题 组 招 聘
因团队承担国家基金重点项目,现面向海内外诚聘博士后:薪金35-60万/年(特别优秀者上不封顶;出站后留温工作,可享受六折购房等政策(见https://reward.wenzhou.gov.cn/wzrc/pc/2022/policy_full),表现突出者优先推荐留校任教)。拥有金属空气电池与柔性器件设计和研究、或者拥有高熵新能源材料体系研究、或者电化学及电池方向理论计算、或者基于机器学习的功能材料理论设计等经验者优先。有意向者请将PDF格式详细简历、最早到岗时间,邮件发送给陈老师:yhchen@wzu.edu.cn,请注明:应聘博士后-姓名。
添加官方微信 进群交流
SCI二氧化碳互助群
SCI催化材料交流群
SCI钠离子电池交流群
SCI离子交换膜经验交流群
SCI燃料电池交流群
SCI超级电容器交流群
SCI水系锌电池交流群
SCI水电解互助群
SCI气体扩散层经验交流群
备注【姓名-机构-研究方向】
投稿请联系contact@scimaterials.cn
点分享
点赞支持
点在看

