文 章 信 息
C型或S型?调控稠环非富勒烯受体的分子几何形状降低有机太阳电池的能量损失
第一作者:白原青,洪玲
通讯作者:刘春晨*,黄飞*
单位:华南理工大学
研 究 背 景
有机太阳电池因其具有柔性、质轻、适合大面积制造等优势而受到广泛关注。随着Y系列稠环非富勒烯受体材料的快速发展,有机太阳电池的能量转换效率取得了显著突破,目前已超过20%。与ITIC等A-D-A结构的非富勒烯受体材料相比,Y6系列分子在近红外区域具有更强的吸收,从而具有更高的短路电流密度。此外,具有A-DA’D-A结构的Y6及其衍生物形成了分子间三维堆积网络结构,从而改善了电荷传输,减少了能量无序,实现了更高的能量转换效率。目前,Y系列分子的三维堆积网络结构的形成是由于分子C型的几何形状或者是中心的缺电子单元引起的仍然较少被研究。对非富勒烯受体材料结构-性能的关系研究主要集中于中心稠环单元、侧链以及端基等的调控,而对非富勒烯受体材料分子的几何结构对器件性能的影响则较少研究。为了实现有机太阳电池的进一步发展,进一步研究非富勒烯受体材料分子的几何结构对器件性能的影响是有必要的。
文 章 简 介
近日,华南理工大学黄飞/刘春晨团队在期刊ACS Energy Letters上发表题为“C‑Shape or S‑Shape? The Molecular Geometry Control of Fused-Ring Nonfullerene Acceptors for Lower Energy Loss in Organic Solar Cells”的文章。该文章设计并合成了C型和S型的非富勒烯受体C-F及S-F,C-F和S-F表现出几乎相同的吸收和电化学性质。单晶结果表明C-F和S-F均只表现出了端基的堆积,C-F呈现出网状的端基堆积,而S-F呈现出线性的端基堆积。与Y6分子不同,由于去除了苯并噻二唑单元及氮原子,C-F没有表现出稠环中心核之间的相互作用。尽管没有形成三维堆积网络结构,与基于S-F的器件相比,基于C-F的器件表现出降低的电压损失,实现了17.0%的能量转换效率。这些结果表明了非富勒烯受体C型的分子几何构型在实现高性能有机太阳电池中的重要作用。
本 文 要 点
要点一:C-F&S-F的设计合成及吸收和电化学性质
去除了Y6分子的苯并噻二唑单元及氮原子,设计并合成了具有C型分子几何形状的非富勒烯受体C-F,同时合成了异构的S型分子S-F。C-F和S-F表现出几乎相同的吸收和电化学性质。
图1:(a)D18、Y6、C−F和S−F的分子结构以及分子设计。(b)C−F、S−F和Y6在氯仿溶液和薄膜中的吸收光谱。(c)C−F、S−F、Y6以及聚合物给体D18的HOMO/LUMO能级图。
要点二:C-F&S-F的单晶结构及分子堆积
使用单晶X射线衍射进一步研究了具有不同分子几何形状的非富勒烯受体的分子堆积行为。C−F和S−F的分子骨架具有S··O非共价分子内相互作用,表现出C型和S型的分子几何结构。与Y6系列非富勒烯受体不同,C-F和S-F均只表现出了端基的堆积,C-F呈现出网状的端基堆积,而S-F呈现出线性的端基堆积。这一结果表明,去除了Y6分子的苯并噻二唑单元及氮原子对于3D堆积网络的构建会产生显著影响。此外,S−F表现出更紧密的π-π堆积距离,这将促进了电荷的传输。GIWAXS进一步说明了S−F纯膜具有更高的结晶性。
图2:(a)C−F和(b)S−F的单晶结构。(c)S−F和C−F纯膜的2D GIWAXS图像。(d)C−F和S−F纯膜的1D GIWAXS图像。
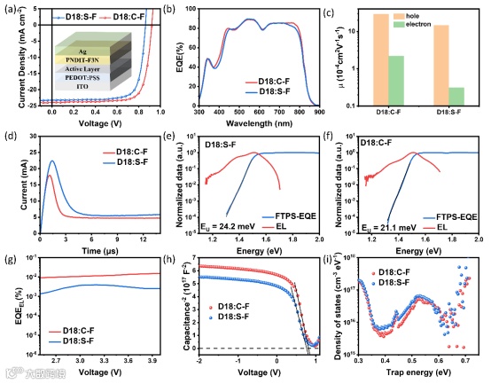
要点三:D18:C-F&D18:S-F器件性能
基于D18:C−F的器件实现了17.0%的能量转换效率,开路电压为0.921 V,短路电流为24.0 mA cm−2,填充因子为0.771,这是A-D-A型非富勒烯受体的最高报导效率之一。基于D18:S−F的器件效率为15.4%,开路电压为0.862 V,短路电流为为23.2 mA cm−2,填充因子为0.772。两种二元器件表现出相似的短路电流和填充因子值,而基于C形C−F的器件表现出比S−F更高的开路电压,进一步的能量损失分析表明,基于D18:C-F的器件具有更低的辐射及非辐射能量损失。
图3:(a)基于D18:S−F和D18:C−F的有机太阳电池的J−V和(b)EQE曲线。(c)D18:S−F和D18:C−F共混薄膜的空穴和电子迁移率。(d)基于D18:S−F和D18:C−F的photo-CELIV曲线。(e)D18:S−F和(f)D18:C−F的EL和FTPS-EQE图。(g)EQEEL,(h)Mott-Schottky曲线以及(i)基于D18:S−F和D18:C−F器件的陷阱态密度分布。
要点四:D18:C-F&D18:S-F形貌表征
采用GIWAXS、原子力显微镜(AFM)和透射电子显微镜(TEM)对共混薄膜形貌进行了进一步表征。D18和S−F的竞争性结晶可能导致混溶性差并导致大的相分离形貌,这种大的相分离形貌可能是导致电荷复合增加和能量损失增加的原因。
图4:D18:S−F和D18:C−F混膜的(a)2D GIWAXS图像,(b)面内和面外方向的一维图,(c)AFM图(d)TEM 图。
文 章 链 接
C‑Shape or S‑Shape? The Molecular Geometry Control of Fused-Ring Nonfullerene Acceptors for Lower Energy Loss in Organic Solar Cells
https://doi.org/10.1021/acsenergylett.4c00043
通 讯 作 者 简 介
黄飞,男,教授、博士生导师,国家杰出青年基金获得者,教育部长江学者特聘教授。现任华南理工大学发光材料与器件国家重点实验室副主任。主要从事有机聚合物光电材料与器件方面的研究,在新型水醇溶界面材料及界面调控方法、新型聚合物光伏材料与器件等方向做出了系列创新成果。曾获教育部首届青年科学奖,美国化学会Arthur K. Doolittle Award奖,两次参与获得国家自然科学二等奖。任高分子学报副主编,Chemistry of Materials、Sci China Chem等刊物编委,中国材料学会高分子分会副秘书长。
刘春晨,男,副研究员,华南理工大学发光材料与器件国家重点实验室。先后于2010年和2015年在华南理工大学获取学士和材料学博士学位,之后在新加坡国立大学化学系从事博士后研究工作。主要研究方向为有机太阳电池及光探测器材料、N型导电高分子的开发及应用。迄今为止,在Chem, Angew. Chem. Int. Ed., Acc. Chem. Res., 等期刊发表SCI论文40余篇,主持国家级、省级与市级研究项目共7项。
添加官方微信 进群交流
SCI二氧化碳互助群
SCI催化材料交流群
SCI钠离子电池交流群
SCI离子交换膜经验交流群
SCI燃料电池交流群
SCI超级电容器交流群
SCI水系锌电池交流群
SCI水电解互助群
SCI气体扩散层经验交流群
备注【姓名-机构-研究方向】
投稿请联系contact@scimaterials.cn
点分享
点赞支持
点在看

