文 章 信 息
合金/LDH相间协同提升Li−CO2电池反应可逆性
第一作者:简天真
通讯作者:马文庆*,徐彩霞*
单位:济南大学,齐鲁工业大学,山东圣阳电源股份有限公司
研 究 背 景
锂−二氧化碳电池基于锂离子和电子共同参与的CO2还原与析出反应实现电能与化学能之间的相互转化,是一种理论能量密度高达1876 Wh kg−1的绿色电化学储能技术。然而,放电产物Li2CO3是一种宽带隙绝缘材料,具有较高的分解反应能垒和缓慢的动力学,需要较高充电电位来驱动其分解反应,但这通常会引发电池其他部件(如电解质、粘结剂等)的寄生分解和Li2CO3的残留。开发高效正极催化剂以降低锂−二氧化碳电池反应能垒,提高其反应动力学和可逆性,是推动锂−二氧化碳电池发展的关键。
本文中,作者通过Al−Co−Ru合金前驱体的一步脱合金,实现了二维CoAl-层状双金属氢氧化物 (CoAl-LDH) 纳米片与三维多级多孔RuCoAl合金(MP-RuCoAl Alloy)的跨尺度/跨维度组装,制备了MP-RuCoAl Alloy⊥CoAl-LDH异质结。MP-RuCoAl Alloy⊥中存在的金属间化合物(IMCs)和IMC与Ru之间丰富的纳米异质界面,以及MP-RuCoAl Alloy⊥与⊥CoAl-LDH之间的相界面,赋予MP-RuCoAl Alloy⊥CoAl-LDH独特的电子结构。此外,MP-RuCoAl Alloy⊥自身具有的多级孔隙,以及由MP-RuCoAl Alloy⊥与⊥CoAl-LDH组装形成的孔隙,有利于活性位点的充分暴露、放电产物的均匀沉积以及传质。得益于成分和结构的协同优势,MP-RuCoAl Alloy⊥CoAl-LDH对Li−CO2电池中的CO2还原与析出反应表现出较高的催化性能。
文 章 简 介
近日,济南大学马文庆副教授&徐彩霞教授&刘宏教授团队,在国际知名期刊Nano Research上发表题为“Alloy/layer double hydroxide interphasic synergy via nano-heterointerfacing for highly reversible CO2 redox reaction in Li−CO2 batteries”的研究论文。该论文分析了锂–二氧化碳电池目前面临的挑战,提出了一种基于脱合金化方法驱动Ru−Co−Al合金中相和微结构重构(图1),实现二维CoAl-LDH纳米片与三维多级多孔MP-RuCoAl Alloy的跨尺度/跨维度组装的策略。所制备的MP-RuCoAl Alloy⊥CoAl-LDH异质结催化剂对Li−CO2电池中的CO2还原与析出反应表现出优异的催化性能。
图1. MP-RuCoAl Alloy⊥CoAl-LDH的制备过程示意图。
本 文 要 点
要点一:MP-RuCoAl Alloy⊥CoAl-LDH的独特微观结构与形貌
XRD衍射花样未检测到明显的衍射峰,表明MP-RuCoAl Alloy⊥CoAl-LDH和CoAl-LDH具有非晶和/或弱晶特征(图2a)。作者采用FTIR和Raman对所制备样品的成分进行了进一步研究,均观察到指征为LDH的特征信号。特别地,图2c中,MP-RuCoAl Alloy⊥CoAl-LDH和CoAl-LDH分别在~482.5 cm−1和~480.7 cm−1 显示出高强度的拉曼峰,表明两种材料中的CoAl-LDH具有弱结晶性。这一观察与XRD测试结果一致。此外,氮气吸脱附测试表明MP-RuCoAl Alloy⊥CoAl-LDH(~21.9 m2 g−1)具有显著高于CoAl-LDH(13.4 m2 g−1)的比表面积(基于BET方法)。
图2. (a)XRD衍射花样; (b)FTIR谱图; (c) Raman谱图; (d)氮气吸脱附等温线。作者以Al−Co二元合金为前驱体制备了CoAl-LDH;以硝酸刻蚀去除MP-RuCoAl Alloy⊥CoAl-LDH中的⊥CoAl-LDH,制得了MP-RuCoAl Alloy#。为区别于MP-RuCoAl Alloy#和CoAl-LDH,作者将MP-RuCoAl Alloy⊥CoAl-LDH中的MP-RuCoAl Alloy和CoAl-LDH分别记为MP-RuCoAl Alloy⊥和⊥CoAl-LDH。
图3a&3b为MP-RuCoAl Alloy⊥CoAl-LDH的SEM图。宽度和厚度分别约为2 μm和10 nm的⊥CoAl-LDH纳米片锚定在具有多级多孔网络骨架的MP-RuCoAl Alloy⊥上。MP-RuCoAl Alloy⊥的大孔及其韧带的典型尺寸均为几百纳米。在韧带处提高放大倍数,可观察到大量直径约4 nm的二级孔隙。TEM和HAADF-STEM图像中也观察到清晰的二级孔隙(图3c&3e)。特别地,选区电子衍射(SAED)观察到明显的衍射斑点而非宽晕,表明MP-RuCoAl Alloy⊥CoAl-LDH弱多晶的结构特征。EDS元素分布图显示表面⊥CoAl-LDH纳米片所处区域没有明显的Ru信号;而Ru、Co、Al和O元素在其他区域均匀分布。
图3. MP-RuCoAl Alloy⊥CoAl-LDH的形貌表征。(a, b) SEM; (c) TEM; (d) HRTEM; (e−e4) HAADF-STEM图及相应的元素分布。
作者采用HRTEM进一步观察了MP-RuCoAl Alloy⊥CoAl-LDH的微观结构。如图4a&b,MP-RuCoAl Alloy⊥上的细小晶粒紧密而紊乱堆积形成了丰富的异质界面。这一观察进一步证实MP-RuCoAl Alloy⊥短程有序长程无序的结构特点,与XRD结果一致。作者采用FFT和反FFT(IFFT)技术进一步解析了相组成和分布,证实MP-RuCoAl Alloy⊥存在Ru和Ru0.8Co0.2、RuAl等IMCs,这些物相交错参差,形成了丰富的Ru0.8Co0.2/RuAl、Ru/RuAl等异质界面。
图4 MP-RuCoAl Alloy⊥的(a, b) HRTEM和(a1, a2, b1, b2) 反傅里叶变换(IFFT)图。
作者采用XPS分析了MP-RuCoAl Alloy⊥CoAl-LDH和CoAl-LDH的电子结构。MP-RuCoAl Alloy⊥CoAl-LDH的Ru 3d XPS谱可拟合为指征为Ru0 (279.9/283.5 eV)和Ru4+ (281.3/285.5 eV)的两对亚峰。Ru4+应源于脱合金化过程中形成的少量RuO2和/或其在CoAl-LDH中的掺杂。MP-RuCoAl Alloy⊥中Ru0的结合能低于Ru0的标准结合能,表明其具有更高的电负性和对CO2还原与析出反应的催化活性。MP-RuCoAl Alloy⊥CoAl-LDH的Al 2p XPS谱可分为位于74.1、73.6和73.1 eV的三个亚峰。74.1 eV的亚峰对应于⊥CoAl-LDH中的Al3+,其余两个亚峰可归为MP-RuCoAl Alloy⊥中的Al0。MP-RuCoAl Alloy⊥CoAl-LDH的Co 2p XPS谱可分解为778.6/793.7、780.4/796.3、782.4/797.9和785.8/802.5 eV的四对亚峰。后三者分别归属于Co3+、CO2+和卫星峰。第一对亚峰对应于Co0且明显向高结合能端偏移。综上,MP-RuCoAl Alloy⊥CoAl-LDH中存在明显的电子结构重构,Ru从Co和Al获得电子,表现出更高的电负性。
图5. MP-RuCoAl Alloy⊥CoAl-LDH各元素的高分辨XPS谱图。(a) Ru 3d & C 1s; (b) Al 2p; (c) Co 2p; (d) O 1s。
要点二:锂–二氧化碳电池反应机制与电化学性能
作者采用多种电化学、电子显微学和谱学技术,系统研究了基于KB/MP-RuCoAl Alloy⊥CoAl-LDH电极构筑的锂–二氧化碳电池的反应机制。如图6a,采用SEM清晰观察到KB/MP-RuCoAl Alloy⊥CoAl-LDH电极表面放电时片状放电产物的产生及其在充电时的有效分解。放电态电极片的XRD测试结果表明生成了碳酸盐,且其相应的衍射峰在充电时近乎完全消失(图6b)。放电态的C 1s和Li 1s XPS谱图分别在290.1和55.2 eV处显示了一个明显的峰,且均在充电时近乎消失,表明放电时Li2CO3的生成和其在充电时的可逆分解。FTIR和Raman谱图进一步验证了Li2CO3在放电时的生成和充电时的分解(图6e&f),表明MP-RuCoAl Alloy⊥CoAl-LDH可有效催化CO2还原/CO2析出反应。
图6 以MP-RuCoAl Alloy⊥CoAl-LDH为正极催化剂的Li−CO2电池的反应机制研究。(a) 首次充放电曲线和SEM图; (b) XRD衍射花样; (c) C 1s和(d) Li 1s XPS谱图; (e) FTIR谱图; (f) Raman谱图。
作者对比研究了MP-RuCoAl Alloy⊥CoAl-LDH、MP-RuCoAl Alloy#、CoAl-LDH三种电催化剂在Li−CO2电池中的电化学性能。如图7a&d,KB/MP-RuCoAl Alloy⊥CoAl-LDH电池以200 mA g−1进行充放电时可稳定循环227次,且充电电压稳定在~4.0 V,低于大多数已报道的Co基催化剂。MP-RuCoAl Alloy#和CoAl-LDH电池在200 mA g−1表现出较大的充放电极化,几十次循环后即触发电压截止。
图7. 以MP-RuCoAl Alloy⊥CoAl-LDH、MP-RuCoAl Alloy#、CoAl-LDH三种正极催化剂构筑的Li−CO2电池的电化学性能。以 (a) MP-RuCoAl Alloy⊥CoAl-LDH和 (b) CoAl-LDH为正极催化剂的Li−CO2电池的充放电曲线;(d) 以三种正极催化剂构筑的Li−CO2电池的充放电终止电压及容量演化曲线。(c) 完成 (d) 中测试后回收的MP-RuCoAl Alloy⊥CoAl-LDH与新鲜锂片构筑的Li−CO2电池的充放电曲线。
要点三:MP-RuCoAl Alloy⊥CoAl-LDH促进CO2还原/析出反应的机理
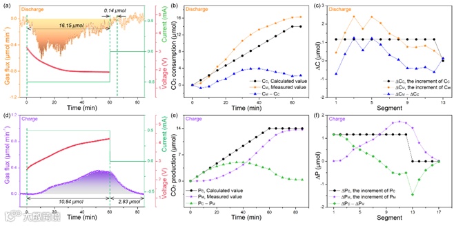
图8. 以MP-RuCoAl Alloy⊥CoAl-LDH为正极催化剂构筑的Li−CO2电池的原位DEMS测试。(a−c)充电过程中的气体消耗;(d−f)放电过程的气体析出。
作者采用原位DEMS跟踪研究了KB/MP-RuCoAl Alloy⊥CoAl-LDH电池充放电过程中的气体消耗与析出。如图8a,电池放电过程中的CO2总消耗量(CM)为~16.29 μmol,相较于理论值(CC=~13.99 μmol)约多出~2.3 μmol。这一差值应归于KB/MP-RuCoAl Alloy⊥CoAl-LDH电极对CO2的吸附。电池充电时,测得的CO2产量(PM)低于理论值(PC)。在电池结束充电,电池开路后仍能检测到CO2信号且持续约25 min,总PM约为13.67 μmol。这表明,在充电过程中发生了CO2释放滞后,这应源于具有丰富空隙的MP-RuCoAl Alloy⊥CoAl-LDH的吸附作用。由PM计算得到充电过程中CO2与电子之间的质荷比为~0.733,与理论值3 CO2/4e−匹配。上述结果及分析有力地证实MP-RuCoAl Alloy⊥CoAl-LDH在Li−CO2电池中能高效催化CO2还原与析出反应。
要点四:结论与展望
基于脱合金化方法驱动Ru−Co−Al合金相与微结构重构,实现了二维CoAl-LDH纳米片与三维多级多孔MP-RuCoAl Alloy的跨尺度/跨维度组装,制备了MP-RuCoAl Alloy⊥CoAl-LDH异质结催化剂。与CoAl-LDH相比,MP-RuCoAl Alloy⊥CoAl-LDH大表面积、多级多孔结构、丰富的异质界面和固有的高导电性等性质,有益于电催化性能的提升。KB/MP-RuCoAl Alloy⊥CoAl-LDH电池在200 mA g−1电流密度,可以~1.3 V的充放电极化稳定持续循环2270小时(227次循环,截止容量1000 mAh g−1)。本研究不仅为海绵状金属骨架与过渡金属化合物的跨尺度/跨维度组装提供了规模化制备的策略,也为Li−CO2电池低成本过渡金属基正极催化剂的设计开发提供了新的思路。
文 章 链 接
Alloy/layer double hydroxide interphasic synergy via nano-heterointerfacing for highly reversible CO2 redox reaction in Li−CO2 batteries
https://doi.org/10.1007/s12274-024-6461-4
通 讯 作 者 简 介
马文庆(MA Wenqing):济南大学前沿交叉科学研究院副教授,硕士生导师。主要研究方向为面向先进电化学储能系统的先进纳米材料的制备及其在金属离子电池和金属–气体电池中的电化学行为研究与性能评价。主持国家自然科学基金青年项目、山东省自然科学基金青年项目等。担任《Green Carbon》、《中国有色冶金》等期刊青年编委。在eScience、Advanced Materials、Advanced Functional Materials、Nano Energy、Chemical Engineering Journal、Journal of Materials Chemistry A、Nano Research等期刊发表20余篇研究论文。其中,关于金属–气体电池的相关研究工作如下:
1. Alloy/layer double hydroxide interphasic synergy via nano-heterointerfacing for highly reversible CO2 redox reaction in Li–CO2 batteries. Nano Research, 2024, https://doi.org/10.1007/s12274-024-6461-4
2. From Ru to RuAl intermetallic/Ru heterojunction: Enabling high reversibility of the CO2 redox reaction in Li–CO2 battery based on lowered interface thermodynamic energy barrier, Nano Energy, 2023, 118, 108998, https://doi.org/10.1016/j.nanoen.2023.108998.
3. Intermetallic-driven highly reversible electrocatalysis in Li–CO2 battery over nanoporous Ni3Al/Ni heterostructure, eScience, 2023, 3, 100114, https://doi.org/10.1016/j.esci.2023.100114.
4. Rechargeable Al–CO2 Batteries for Reversible Utilization of CO2CO2, Advanced Materials, 2018, 30, 1801152, https://doi.org/10.1002/adma.201801152.
5. Rechargeable Na–SO2 Battery with Ethylenediamine Additive in Ether-Based Electrolyte, Advanced Functional Materials, 2020, 30, 2002120, https://doi.org/10.1002/adfm.202002120.
6. Porous Mn2O3 cathode for highly durable Li–CO2 batteries, Journal of Materials Chemistry A, 2018, 6, 20829-20835, https://doi.org/10.1039/C8TA06143B.
E-mail: ifc_mawq@ujn.edu.cn
徐彩霞:济南大学前沿交叉科学研究院教授、博士生导师,山东省青年泰山学者、山东省优秀青年基金获得者。主要研究方向为高性能电化学储能材料设计与器件开发、纳米材料的制备及电催化性能究。承担国家自然科学面上基金2项、国家自然科学基金项目青年基金1项、山东省属高校优秀青年基金1项、山东省自然科学青年基金1项、中国博士后特别资助与面上基金各1项。目前已在Journal of the American Chemical Society、Advanced Materials、Advanced Functional Materials、Nano Energy等期刊上发表90余篇学术论文,其中6篇文章被Web of Science的ESI (Essential Science Indicators)选为高被引用论文。以第一位和第三位次获得山东省自然科学二等奖各1 项,以第一位获得山东省高等学校科学技术奖一等奖2项,以第二位获得山东省高等学校优秀科研成果一等奖1项。
E-mail: chm_xucx@ujn.edu.cn
刘宏(LIU Hong),山东大学晶体材料国家重点实验室,教授,博士生导师,国家杰出青年科学基金获得者。主要研究方向:组织工程与干细胞分化、生物传感与体外诊断、光电功能材料与纳米能源等。十年来,主持了包括十五、十一五、十二五863和自然基金重点项目在内的十余项国家级科研项目,作为首席科学家主持了十三五国家重点研发项,目取得了重要进展。2004至今,在包括Adv. Mater., Adv. Fun. Mater,J. Am. Chem. Soc, Envir. Eng. Sci., 等学术期刊上发表SCI文章400余篇,个人文章总被引次数超过34000次,H因子为85,40余篇文章曾被Web of Science的ESI选为高被引用论文。2018−2023连续六年被科睿唯安评选为“全球高被引科学家”。作为主编创办了英文期刊《BMEMat》(《生物医学工程材料》)。授权专利40余项,分别在有关微纳生化传感器和人工晶体方面进行了千万元专利成果转让,与企业合作进行产业化生产。2019年获山东省自然科学奖一等奖。
Email: hongliu@sdu.edu.cn
第 一 作 者 简 介
简天真:济南大学前沿交叉科学研究院博士研究生,研究方向为电催化和金属–气体电池。目前以第一作者在eScience、Nano Energy、ACS Sustainable Chemistry & Engineering、Nano Research、Applied Surface Science等期刊上发表研究论文7篇。
添加官方微信 进群交流
SCI二氧化碳互助群
SCI催化材料交流群
SCI钠离子电池交流群
SCI离子交换膜经验交流群
SCI燃料电池交流群
SCI超级电容器交流群
SCI水系锌电池交流群
SCI水电解互助群
SCI气体扩散层经验交流群
备注【姓名-机构-研究方向】
投稿请联系contact@scimaterials.cn
点分享
点赞支持
点在看

