文 章 信 息
交织型N掺杂双金属/碳纳米片高效电催化剂用于宽温锂硫电池
第一作者:许颖,朱跃进
通讯作者:钮东方*,徐杰*
单位:华东理工大学,安徽工业大学
研 究 背 景
锂硫电池相比锂电池具有更高的理论能量密度(2600 Wh kg-1)和理论比容量(1675 mAh g-1),被认为是非常有吸引力的新一代电池。但是多硫化物的穿梭效应、放电反应动力学缓慢等显著地制约了锂硫电池的实际应用,导致在较宽温度范围内性能不理想。
文 章 简 介
近日,来自安徽工业大学的徐杰博士与华东理工大学的钮东方副教授合作,在国际期刊CEJ上发表题为“Interwoven N-doped Bimetallic/Carbon Nanosheets as an Efficient Electrocatalyst for Wide-Temperature Lithium-Sulfur Batteries”的文章。该文章报告了一种具有分级多孔结构和高比表面积的高效电催化剂(Fe/Ni-N@NC),其独特的结构暴露了丰富的双金属和氮活性位点,使得多硫化锂在低温下快速转化,并有效缓解了高温下的穿梭效应。最终,Fe/Ni-N@NC改性隔膜锂硫电池在宽温下(0~65 ℃)展示了良好的电化学性能,并为多孔、双金属电催化剂的设计提供了参考。
本 文 要 点
要点一:Fe/Ni-N@NC改性隔膜的合成制备与结构表征
本文首先通过水热,使得2-氨基噻唑在预氧化的科琴黑的存在下,被NaClO氧化并小范围聚合。之后添加金属盐溶液(FeCl3、NiCl2),将金属离子(Fe3+、Ni2+)与水热产物配位,经热解最终生成稳定的高比表面积产物Fe/Ni-N@NC(图1)。图2e展示了Fe/Ni-N@NC纳米片的厚度为1.7 nm。
图1. Fe/Ni-N@NC的制备过程。
图2.(a)XRD图谱;(b)Raman图谱;(c)SEM图像;(d)TEM图像;(e)AFM图像;(f)BET曲线;(g)孔径分布曲线;(h)XPS光谱。
要点二:Fe/Ni-N@NC改性隔膜的吸附、催化性能研究
经可视化吸附实验及紫外光谱(图3a)分析,Fe/Ni-N@NC在三种材料中具有最佳的吸附性能,有利于抑制多硫化锂穿梭效应。在Li2S成核与溶解测试中,Fe/Ni-N@NC展示了更为优越的催化作用。不仅在放电过程中加速了Li2S的沉积,还在充电过程中促进了Li2S的快速溶出。提高了活性物质的利用率,增强了活性位点的作用。
图3.(a)紫外光谱;(b)XPS光谱;(c)对称电池测试;(d)~(f)Li2S成核测试。
要点三:Fe/Ni-N@NC改性隔膜锂硫电池的电化学性能
如图4所示,Fe/Ni-N@NC改性隔膜锂硫电池在4 C下,可达到812 mAh g-1的比容量。值得注意的是,在目前的锂硫电池改性隔膜或夹层中,此高倍率下的性能颇具竞争力。而在各长循环测试中,Fe/Ni-N@NC改性隔膜锂硫电池仍然表现的更为优秀。
图4.(a)倍率测试;(b)不同倍率下充放电曲线;(c)充放电曲线与过电位示意图;(d)0.5 C循环测试;(e)高硫性能测试;(f)1 C循环测试。
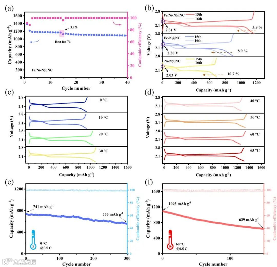
要点四:Fe/Ni-N@NC改性隔膜锂硫电池的宽温性能
实际应用中,对于电池在较宽温度下有效运行的需求愈加强烈。本文测试了Fe/Ni-N@NC改性隔膜在较宽温度下的电池性能。如图5所示,在0、10、20、30、40、50、60和65 ℃的温度下,改性电池在0.5 C的比容量分别为884、872、976、1080、1286、1355、1343和1315 mAh g-1。随着温度的升高,多硫化锂的扩散能力增强。然而,结合吡啶N和M-Nx的强化学吸附、Li+在更高温度下增强的扩散能力,以及Fe/Ni-N@NC的催化作用,更多的多硫化锂被转化为Li2S2/Li2S。因此,Fe/Ni-N@NC改性电池表现出更高的容量并且活性材料利用率有所提高。
图5.(a)自放电测试;(b)自放电前后充放电曲线;(c,d)0~65 ℃充放电曲线;(e)低温循环测试;(f)高温循环测试。
文 章 链 接
Interwoven N-doped Bimetallic/Carbon Nanosheets as an Efficient Electrocatalyst for Wide-Temperature Lithium-Sulfur Batteries
https://doi.org/10.1016/j.cej.2024.149171
通 讯 作 者 简 介
钮东方 华东理工大学化工学院副教授 硕士生导师,曾先后在Washington University in St. Louis化学系和University of California, Irvine化学系交流访学,当前研究方向主要为(1)能源储存与转化过程电催化剂的设计及其性能研究,具体包括CO2电还原反应(CO2RR),锂硫电池隔膜改性;(2)电化学法合成高附加值化学品。以通讯作者身份在ACS Energy Lett., Chem. Eng. J., ChemSusChem, J. Mater. Chem. A, Sustain. Energ. Fuels 等学术刊物上发表多篇研究论文。
徐杰 安徽工业大学材料学院资格教授 硕士生导师,博士毕业于华东理工大学化工学院,博士毕业后进入复旦大学化学系从事博士后研究,2022年10月入职安徽工业大学。当前研究方向为:高安全、高稳定、极端环境下适用电化学能源存储与转换器件的开发,包括锂-硫电池、水系锌基储能电池、基于有机活性物质的新型二次电池等。以第一作者/通讯作者在Adv. Mater.、Angew. Chem. Int. Ed.、Chem. Eng. J.等期刊上发表论文20余篇。
添加官方微信 进群交流
SCI二氧化碳互助群
SCI催化材料交流群
SCI钠离子电池交流群
SCI离子交换膜经验交流群
SCI燃料电池交流群
SCI超级电容器交流群
SCI水系锌电池交流群
SCI水电解互助群
SCI气体扩散层经验交流群
备注【姓名-机构-研究方向】
投稿请联系contact@scimaterials.cn
点分享
点赞支持
点在看

