文 章 信 息
用于制备高能量密度、宽电压窗口和超长寿命超级电容器的2D-on-2D Al掺杂NiCo LDH纳米片阵列
第一作者:黄雪晶
通讯作者:杨天怡*,许雪棠*,王凡*,李斌*
单位:广西大学
研 究 背 景
超级电容器因其快速充放电和高功率密度成为便携的电池补充,但较低的能量密度限制了其广泛应用。镍钴层状双氢氧化物 (NiCo LDH) 是超级电容器的常见电极材料。为了满足实际应用要求,NiCo LDH基超级电容器应具有大容量、宽工作电压窗口和良好的循环稳定性。然而,在负载量较高(>5 mg cm−2)时,NiCo LDH材料会出现团聚现象阻碍了电解质离子的传输,且由NiCo LDH所组装的器件大多只能承受不超过30,000次的充电/放电循环。此外,由于NiCo LDH电极对水分解的电催化活性,导致由其组装的超级电容器的工作电压和能量密度受限。为同时提高LDH电极的容量和循环稳定性,掺杂Zn2+,Mg2+和Al3+等单价电化学非活性元素是目前较为新颖的方法。铝作为一种非电活性的元素,不参与氧化还原过程,在碱性溶液中也容易浸出,但Al3+掺杂在电极的形貌调节、层状结构稳定、电导率提高等方面具有重要作用。因此,基于简单掺杂策略设计高质量负载、同时具有大容量、宽工作电压、超长循环稳定性和高面/体积能量密度的基于NiCo LDH阴极的SC仍然面临重大挑战。
文 章 简 介
近日,来自广西大学的许雪棠教授、王凡教授和李斌教授团队,在国际知名期刊Small上发表题为“2D-on-2D Al-Doped NiCo LDH Nanosheet Arrays for Fabricating High-Energy-Density, Wide Voltage Window, and Ultralong-Lifespan Supercapacitors”的观点文章。该观点文章提出了采用交替的水热/溶剂热沉积策略,在碳布 (CC) 衬底上生长了一种新型的2D-on-2D铝掺杂镍基层状双氢氧化物(NiCoAlx LDH)纳米片阵列结构,并利用Al掺杂的影响来改变沉积行为、分层形貌、相稳定性和多金属协同效应。优化后的NiCoAl0.1 LDH电极及其组装的超级电容器件的电位窗口明显增大,且具有高比容量和优异的循环稳定性。
图1. a) 在CC衬底上生长的NiCoAl LDH结构的两步合成路线示意图。b–d) NiCo LDH 和 e–g) NiCoAl0.1LDH第二步溶剂热沉积后纳米阵列的 SEM 图像。NiCo LDH 的 h)TEM 和 i) HRTEM 图像。NiCoAl0.1LDH的j) TEM 和 k) HRTEM 图像。插图是相应的 SAED 图案。
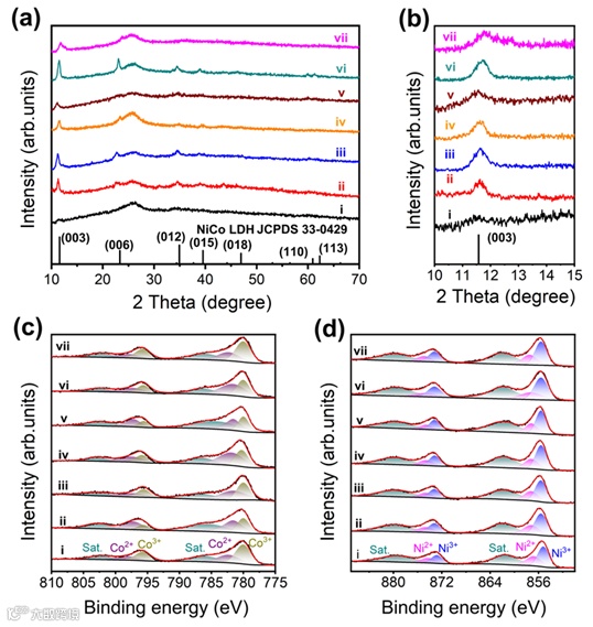
图2. 不同Al掺杂量NiCoAlx LDH电极的结构表征。a) XRD 图,及 b) 低角度区域中的放大部分。c) Ni 2p 和 d) Co 2p XPS 图。(i) NiCo LDH, (ii) NiCoAl0.05 LDH, (iii) NiCoAl0.1LDH, (iv) b-NiCoAl0.1LDH, (v) s-NiCoAl0.1LDH, (vi) NiCoAl0.2 LDH,(vii) NiCoAl0.4 LDH。
图3. NiCo LDH和NiCoAl0.1LDH电极的电化学性能。a)NiCo LDH和b)NiCoAl0.1LDH在不同扫描速率下的CV曲线。c) 不同扫描速率下的扩散和电容贡献。d) 两个电极在不同电压窗口下在10mA cm-2时的充电/放电曲线。e) NiCoAl0.1LDH电极在0–0.65 V电位窗口下不同电流密度下的充电/放电曲线。f) 两个电极在不同电位窗口下的倍率性能。
图4. 电极的循环性能。a) NiCo LDH和NiCoAl0.1LDH电极在50 mA‧cm−2下的循环稳定性测试。b) NiCoAl0.1LDH电极在不同循环周期下的阻抗图。c) NiCoAl0.1LDH电极在不同循环周期下的XRD图谱和d)Co2p和e)Ni2p XPS图:(i)5,000次循环后;(ii)在10,000次循环后;(iii)在20,000次循环后;(iv)在30,000次循环后;以及(v)在40,000次循环后。
图5. 不同循环次数下NiCoAl0.1LDH电极的形貌变化:(a)10,000次循环后;(b) 20,000次循环后;(c) 30,000次循环后;以及(d)40,000次循环后。
图 6 (a) NiCoAl0.1LDH的结构示意图; (b) NiCo LDH和 NiCoAl0.1LDH在OER过程中O 2p轨道自由能变化; (c) NiCo LDH和 NiCoAl0.1LDH对OH−离子的吸附自由能; (d) 循环过程中的总电子态密度变化。
图 7. NiCoAl0.1LDH//ACC器件的电化学性能。(a) NiCoAl0.1LDH和ACC电极在10 mV·s−1下的CV曲线; (b) 器件在不同电压窗口下50 mV·s−1时的CV曲线; (c) 器件在不同电压窗口下50 mA·cm−2时的充放电曲线; (d) 器件在不同扫描速率时的CV曲线; (e) 器件在不同电流密度时的充/放电曲线; (f) 器件的Ragone图;(g) 器件的循环稳定性测试图; (h) 器件在循环测试前后的阻抗谱; (f) 循环测试后器件在不同电流密度下的充放电曲线; (j) NiCoAl0.1LDH在循环测试后的XRD谱; (k) 器件点亮LED灯的照片。
本 文 要 点
要点一:通过掺杂Al3+实现NiCo LDH形貌调控
基于交替的水热/溶剂热沉积工艺,获得了相互交联的纳米片支撑纳米壁的2D-on-2D NiCoAlx LDH纳米阵列结构,为电解质进入提供了开放的通道和足够的活性位点,导致电容增强。这种二维纳米片/壁结构比纳米线具有更小的团聚和坍塌趋势,这更有利于循环稳定性。即使在30000次充放电循环后,纳米片阵列的2D-on-2D排列也没有明显变化。在第二步溶剂热沉积中,Al3+通过溶解-再结晶过程重新分布在纳米阵列中,维持多金属协同效应。
要点二:电化学性能优化
优化后的NiCoAl0.1LDH电极在0–0.55 V、0–0.60 V和0–0.65 V电位窗口下分别表现出5.43、6.52和7.25 C‧cm-2(9.87、10.88和11.15 F‧cm-2)的容量,清楚地说明了宽电位窗口的重要性。差异化沉积策略降低了Al3+阳离子在碱性溶液中的浸出水平,确保了优异的循环性能(40,000次循环后容量保持率为108%)。组装的NiCoAl0.1LDH//电活化碳布(ACC)混合超级电容器在0–2.0 V下可提供3.11 C‧cm-2的电容量,在10.00 mW‧cm-2的功率密度下可提供0.84 mWh‧cm-2的高能量密度,以及在150,000次充/放电循环后具有约135%容量保持率的优异循环稳定性。
要点三:通过理论计算揭示电化学性能提升的机制
引入Al3+阳离子后,在OER反应的后两个步骤中,NiCoAl0.1LDH电极表现出极高的反应势垒,增加了OER过电位,从而产生了较宽的的电荷存储电位窗口。Al掺杂更有利于电解质离子在表面的吸附热力学,从而提高电极材料的电化学性能。Al掺杂降低了带隙,使自由载流子更容易跃过带隙。NiCoAl0.1LDH的能带向低能方向移动,使导带部分低于费米能级,半导体材料中的自由电子浓度增加,提高了电荷转移能力。在长期循环测试过程中,Al原子脱出后带隙宽度显著减小,可促进电子转移,增强导电性,从而有效提高电活性。当更多的Al原子丢失时,带隙宽度不会显着变化。但会产生一些杂质能级,增强电导率,缓解了NiCoAl0.1LDH在长期循环测试过程中的容量衰减。
要点四:前瞻性
本研究通过交替溶剂热介质调节分层纳米结构的生长表明了差异化沉积策略的操作前景,同时也为具有超长循环寿命的超级电容器LDH基电极的组成设计和制备提供了新的见解。
文 章 链 接
2D-on-2D Al-Doped NiCo LDH Nanosheet Arrays for Fabricating High-Energy-Density, Wide Voltage Window, and Ultralong-Lifespan Supercapacitors
https://doi.org/10.1002/smll.202401315
添加官方微信 进群交流
SCI二氧化碳互助群
SCI催化材料交流群
SCI钠离子电池交流群
SCI离子交换膜经验交流群
SCI燃料电池交流群
SCI超级电容器交流群
SCI水系锌电池交流群
SCI水电解互助群
SCI气体扩散层经验交流群
备注【姓名-机构-研究方向】
投稿请联系contact@scimaterials.cn
点分享
点赞支持
点在看

