文 章 信 息
双界面修饰构建高性能全固态薄膜FeOxSy/LiPON/Li微电池
第一作者:何艳
通讯作者:夏晖*,夏求应*
单位:南京理工大学
研 究 背 景
近年来,全固态锂离子电池(ASSLIBs)由于比使用液态电解液的锂离子电池(LIBs)具有更高的安全性和更高的能量密度,引起了世界范围的广泛关注。然而,与LIBs中较为稳定的电极/电解液固液界面不同,ASSLIBs的电极/电解质固固界面在电化学循环过程中通常存在界面接触不良、界面反应、界面机械损伤、空间电荷层等问题,这可能会导致大的界面阻抗和快速的容量衰减。因此,深入研究 ASSLIBs中的界面行为并制定适当的策略来提高界面稳定性和离子传输动力学是非常重要的。
在各种类型的ASSLIBs中,使用非晶磷氧氮化锂(LiPON)作为固体电解质的全固态薄膜锂微型电池(TFBs)具有应用于各种微电子设备(例如微机电系统、微传感器和医疗植入物)的价值。此外,与体型的全固态锂电池相比,TFBs具有轮廓鲜明的几何形状和明显的电极/电解质界面,无导电剂和粘结剂的干扰,这使它们成为研究电极/电解质界面特性的理想样品。然而,以往对于电极/电解质固固界面的物化性质及调控策略通常基于传统含锂的正极材料,如LiCoO2、LiMn2O4、LiNi0.5Mn1.5O4等。而对于具有高理论容量、低成本和低制备温度等优点的无锂正极材料(如FeS2、FeOxSy)等,其在全固态锂电池中的界面特性鲜有报道,其较大的体积变化使得构建高性能且稳定的电极/电解质界面成为挑战。
文 章 简 介
近日,南京理工大学夏晖课题组利用真空镀膜法构建了FeOxSy/LiPON/Li TFB,并研究了它们在循环过程中的界面失效机制。研究发现,循环过程中,LiPON/Li界面侧Li空隙的形成以及FeOxSy/LiPON界面处Fe向LiPON内的扩散是TFB界面退化和容量衰减的主要原因。为了解决这些问题,该工作提出了利用非晶Al2O3层分别修饰LiPON/Li界面和FeOxSy/LiPON界面的策略。结果表明,经Al2O3双界面修饰的TFB(D-M-TFB)具有比未经界面修饰的TFB以及经单界面修饰的TFB明显更长的循环寿命。此外,D-M-TFB表现出更大的比容量(0.1 A g−1时为393 mAh g−1)和优异的倍率性能(5 A g−1时为194.3 mAh g–1),使其有望应用于微电子器件。该文章以Toward High-Performance All-Solid-State Thin Film FeOxSy/LiPON/Li Microbatteries via Dual-Interface Modification为题发表在国际知名期刊Advanced Functional Materials上,硕士生何艳为本文第一作者。
本 文 要 点
要点一:非晶FeOxSy薄膜的制备与表征
该工作使用自制的FeS靶材通过射频(RF)磁控溅射在不同衬底上制备了FeOxSy薄膜,在室温、低溅射功率条件下,具有低能量的溅射靶原子倾向于随机排列在衬底表面,以生长成平面致密的非晶薄膜。由于Fe元素即使在高真空下也具有高反应活性,因此工作气体中残余的氧气会将O带入膜中形成FeOxSy。如图1所示,结合FESEM、XRD、TEM、SAED等表征揭示了FeOxSy薄膜非晶的致密结构特性,且各元素分布均匀。在FeOxSy薄膜中掺入氧可以通过减少硫化物和氧化物材料之间的阴离子化学势差异来提高其与LiPON电解质的兼容性,这将有利于构建高性能TFB。
图1非晶FeOxSy薄膜的制备与表征
要点二:FeOxSy薄膜在固态和液态电池体系中的电化学性能对比
在FeOxSy薄膜正极的基础上,该工作利用磁控溅射制备LiPON电解质,利用热蒸发制备金属Li负极,构建了FeOxSy/LiPON/Li微电池(N-M-TFB)。为了便于理解电极/电解质界面对固态电池的性能影响,该工作同时组装了基于FeOxSy正极的液态半电池(FeOS-LIB),并对比了固态电池和液态半电池的性能差异。N-M-TFB的横截面FESEM图像和相应的EDS元素映射图(图2a)表明,N-M-TFB具有轮廓分明的LiPON/Li和FeOxSy/LiPON界面。CV曲线和充放电曲线表明FeOxSy正极在两种不同体系的电池中发生了类似的氧化还原反应(图2b-d)。在首圈放电过程中,可以观察到1.7 V和1.5 V左右的两个明显的电压平台。1.7 V左右的平台与Fe—O基团中Fe3+的还原有关,形成Li2O和Fe,而在1.5 V左右的平台对应于Fe—S基团中Li+的反应。倍率性能测试表明N-M-TFB具有比FeOS-LIB更缓慢的反应动力学(图2e)。此外,N-M-TFB还表现出比FeOS-LIB更差的循环寿命(图2f)。
FeOS-LIB的容量衰减通常可归因于多硫化物在电解液中的溶解和FeOxSy的相关结构降解。由于固态体系可以抑制多硫化物的溶解, N-M-TFB容量的快速衰减则可以归因于电极/电解质界面的破坏。利用电化学阻抗谱(EIS)可以研究N-M-TFB和FeOS-LIB在不同循环次数下电极/电解质界面的演变。如图2g所示,FeOS-LIB和N-M-TFB在50次循环后的电荷转移电阻都表现出明显的增加,这可能是其快速电容损失的主要原因。值得注意的是,N-M-TFB增加的界面电阻远大于FeOS-LIB的界面电阻,这表明电极/电解质固固界面的发生了更严重的结构退化。
图2FeOxSy薄膜正极在固态和液态两种体系电池中的电化学性能对比
要点三:非晶 Al2O3双界面修饰全固态薄膜锂电池构建的及其表征
电极/电解质界面的稳定性对ASSLIBs的性能至关重要,采用界面修饰的策略有望提高电极/电解质界面的稳定性。因此,该工作在FeOxSy/LiPON和LiPON/Li界面都修饰了非晶Al2O3层,构建得到了D-M-TFB,如图3a所示。为了对比双界面修饰的作用,该工作分别在LiPON/Li界面或FeOxSy/LiPON界面修饰了非晶Al2O3层,分别构建得到了A-M-TFB和C-M-TFB。D-M-TFB的TEM、HRTEM和EDS表征结果证实了约20 nm厚的非晶Al2O3层修饰在了FeOxSy/LiPON和LiPON/Li界面。
图3 非晶Al2O3双界面修饰全固态薄膜锂电池的构建及其表征
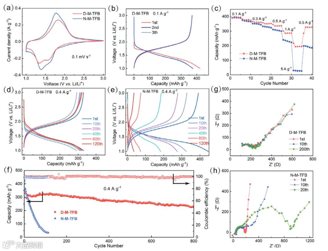
要点四:界面修饰对全固态薄膜锂电池性能的影响
为了评估界面修饰对TFB的影响,该工作系统地对比了未界面修饰、双界面修饰和单界面修饰的全固态薄膜锂电池的电化学性能。结果表明,D-M-TFB具有明显优于N-M-TFB、A-M-TFB和C-M-TFB的倍率性能,表明双界面修饰可以有效增强其反应动力学。更重要的是,即使在5 A g−1的高电流密度下,D-M-TFB也能提供约194.3 mAh g−1的高比容量,这优于大多数先前报道的TFB的性能。此外,循环性能测试结果表明,双界面修饰的D-M-TFB具有远优于N-M-TFB、A-M-TFB和D-M-TFB的循环寿命,甚至优于FeOS-LIB。D-M-TFB的高比容量、优异的倍率性能和长循环寿命使其有望作为微电子器件的电源。为了研究各种电池在循环过程中界面动力学的变化,该工作在进一步进行了EIS测量。EIS结果表明,D-M-TFB的FeOxSy/LiPON和LiPON/Li界面在电化学循环中是高度稳定的。而N-M-TFB、A-M-TFB和C-M-TFB在循环过程中FeOxSy/LiPON和LiPON/Li界面发生了快速的阻抗增大现象。这些结果表明,与D-M-TFB相比,N-M-TFB、A-M-TFB和C-M-TFB较差的倍率性能和循环性能可归因于它们的界面恶化以及界面电阻的增加。
图4 双界面Al2O3层修饰对TFB电化学性能的影响对比
要点五:负极/电解质界面失效机制及其修饰改性机理
为了深入了解N-M-TFB的界面失效机制和D-M-TFB的界面修饰改性机理,该工作观察了Li负极表面在循环过程的形貌变化以探究D-M-TFB和N-M-TFB的LiPON/Li界面的演变。图5显示了他们制备的新鲜TFB、200次循环后的N-M-TFB以及200次和800次循环后D-M-TFB的Li表面光学显微镜照片。Li负极由最初的银白色且表面光滑变为循环后的黑白混合色且表面粗糙,表明负极膜的结构发生了严重变化,揭示了Li空隙的存在和整个Li负极的连接性损失。如图5e所示,LiPON/Li界面处形成的Li空隙可归因于不可逆的Li电镀和剥离过程,可能是由于Li和LiPON电解质之间的化学结合较差。Li和LiPON之间化学键合不良可归因于电化学循环触发的Li2O/LiPON界面形成Li2O界面,导致Li膜的脱结合和界面电阻的增加。Li空隙形成引起的整个Li负极的连接性破坏导致了N-M-TFB的容量损失。
与N-M-TFB相比,D-M-TFB的表面在200次循环后保持几乎白色(图5d),表明Al2O3改性的LiPON/Li界面有利于可逆的Li剥离和电镀。研究者尽管在800次循环后可以从D-M-TFB的表面观察到一些黑点,但绝大多数Li负极膜与银白色良好连接,证实了Al2O3改性的LiPON/Li界面的良好稳定性。具有Al2O3改性的LiPON/Li界面的良好稳定性可归因于在TFB的电化学循环过程中形成热力学稳定的锂化Al2O3,这可导致Li+传输的改善以及与Li金属和LiPON的强化学键合,从而在重复的Li剥离和电镀中显著减轻Li空隙的形成。锂化Al2O3层还可以保护LiPON免受Li的影响,从而使D-M-TFB中的LiPON/Li界面具有良好的物理化学和电化学稳定性(图5f)。
图5经和未经界面修饰的Li负极表明在循环过程中的结构表征及其机制
要点六:正极/电解质界面失效机制及其修饰改性机理
为了研究未经界面修饰的正极/电解质界面的失效机制以及界面修饰的机理,该工作利用TEM、STEM和电子能量损失谱(EELS)表征了N-M-TFB和D-M-TFB在初始状态下以及在循环120圈之后的FeOxSy/LiPON界面结构。初始的FeOxSy/LiPON界面的TEM和HRTEM结果表明,FeOxSy/LiPON具有紧密接触且轮廓分明的界面。然而,N-M-TFB在120次循环后表现出交错的、破坏的FeOxSy/LiPON界面,存在FeOxSy颗粒破碎、低价的Fe向LiPON电解质内扩散的现象,表明FeOxSy/LiPON界面在电化学循环过程中的结构稳定性较差,这是其导致正极/电解质界面阻抗显著增大的原因。而FeOxSy/LiPON界面失效的原因可以归结于FeOxSy薄膜在嵌锂/脱锂过程中发生了较大的体积变化,在界面处引起了较高的应力积累,这导致FeOxSy薄膜在界面处破碎成纳米颗粒;而FeOxSy和LiPON界面反应则可能导致Fe向LiPON电解质内的扩散。对于D-M-TFB,其初始以及循环120圈之后的FeOxSy/LiPON界面表征结构表明,FeOxSy/LiPON在循环过程始终具有紧密接触且轮廓分明的界面,可以保障锂离子快速地穿越FeOxSy/LiPON,使D-M-TFB获得最优的倍率性能和循环寿命。
图6 经和未经界面修饰的正极/电解质界面在循环过程中的结构表征及其机制
文 章 链 接
Y. He, Q. Xia, W. Liu, C. Wu, J. Wang, Y. Cai, Y. Guo, F. Zan, J. Xu, H. Xia, Toward High-Performance All-Solid-State Thin Film FeOxSy/LiPON/Li Microbatteries via Dual-Interface Modification. Adv. Funct. Mater. 2024, 2310876.
https://doi.org/10.1002/adfm.202310876
通 讯 作 者 简 介
夏晖:南京理工大学材料科学与工程学院教授,博士生导师。2000年北京科技大学无机非金属材料专业获得本科学位,2003年北京科技大学无机非金属材料专业获得硕士学位,2007年新加坡国立大学新加坡-麻省理工联合研究生院(Singapore-MIT Alliance)微纳系统用先进材料(Advanced Materials for Micro & Nano Systems)专业获得博士学位。2011年起在南京理工大学材料科学与工程学院工作,纳米能源材料(NEM)课题组负责人(http://nem.smse-njust.com/)。兼任中国硅酸盐学会固态离子学分会理事、中国颗粒协会第四届青年理事、《Materials Research Letters》和《Scientific Reports》编委以及《Frontiers in Chemistry》副编辑。主要从事锂/钠离子电池、全固态薄膜电池、超级电容器以及新型储能体系关键材料与器件的研究。
重点探索低成本锰基电极材料的多面体调控、表界面设计,开发具有高能量密度、高安全性、长循环寿命、宽工作温度区间、低自放电率及高倍率性能的新型电池技术,为新一代电池在消费类电子、可穿戴设备、电动汽车、军工航天以及能源互联网中的广泛应用提供技术支撑。在Nat. Sustain.、Nat. Commun.、Adv. Mater.、Sci. Bull.等期刊发表论文200余篇,相关论文被引用超过17000余次,入选全球前2%顶尖科学家榜单,入选科睿唯安“全球高被引科学家”、国际先进材料学会(IAAM)会士;授权美国发明专利2项、中国发明专利20余项;负责承担国家重点研发课题、国家自然科学基金面上项目、国际交流与合作等国省级科研项目20余项;入选江苏省“333高层次人才工程”第二层次培养计划,获得江苏省杰出青年基金、江苏省科学技术进步奖三等奖、宁夏回族自治区科学技术进步奖二等奖。
夏求应:南京理工大学材料科学与工程学院/格莱特研究院,讲师。主要从事全固态薄膜锂电池和锂离子电池的研究。以第一作者或通讯作者在Adv. Mater., Adv. Funct. Mater., Adv. Energy. Mater., J. Mater. Chem. A, Appl. Phys. Lett.等期刊上发表论文20余篇,论文总被引用3800余次, 申请发明专利20余项,已获授权中国发明专利7项、PCT(美国)发明专利1项,主持国家自然科学基金面上项目、国家自然科学基金青年基金和中国博士后科学基金面上一等资助等项目。
添加官方微信 进群交流
SCI二氧化碳互助群
SCI催化材料交流群
SCI钠离子电池交流群
SCI离子交换膜经验交流群
SCI燃料电池交流群
SCI超级电容器交流群
SCI水系锌电池交流群
SCI水电解互助群
SCI气体扩散层经验交流群
备注【姓名-机构-研究方向】
投稿请联系contact@scimaterials.cn
点分享
点赞支持
点在看

