文 章 信 息
构建不饱和配位Co−M(M=P,S,Se,Te)键改性的金属Co用于高效碱性析氢反应
第一作者:臧泽毫
通讯作者:张兴华*,刘辉*
单位:河北工业大学,天津大学
研 究 背 景
可再生能源驱动的电解水产氢是实现碳中和的重要途径。析氢反应(HER)是电化学水裂解制氢的核心反应,开发高效、低成本的HER电催化剂成为当务之急。金属Co储量丰富、价格适中、亚壳结构可调节,在催化方面有着广泛的应用。然而,由于Co对H中间体的吸附过强,对H2O的吸附和活化不足,金属Co表现出较差的HER活性。过渡金属化合物,如磷酸盐和硫化物等,由于具有丰富可调节的化学成分而表现出良好的HER性能。但过渡金属化合物的导电性较差,在还原电位下高价态金属物质会被还原为低价金属,严重影响催化剂在工作条件,特别是大电流密度下的耐久性。因此,寻求过渡金属与化合物之间的平衡,设计出在大电流密度下具有高活性和稳定性的HER催化剂具有重要意义。
文 章 简 介
近日,河北工业大学的张兴华教授与天津大学的刘辉教授合作,在国际知名期刊Applied Catalysis B: Environment and Energy上发表题为“Constructing Unsaturated Coordination Co−M (M=P, S, Se, Te) Bonds Modified Metallic Co for Efficient Alkaline Hydrogen Evolution”的研究工作。该研究采用简单可扩展的电沉积策略在泡沫镍上制备了不饱和配位的Co−M(M=P, S, Se, Te)键修饰的金属Co催化剂。不饱和Co−M配位键作为电子转移的通道,调节了局域电荷分布和电子结构。因此,具有代表性的P-Co/NF催化剂表现出优异的性能,仅需23和85 mV即可达到10和100 mA cm−2,并表现出优异的长期耐久性。该工作为高效的非贵过渡金属催化剂的合理设计以及局部配位环境对催化活性的影响提供了新的见解。
本 文 要 点
要点一:温和且可扩展的合成方法
提出一种简单、可扩展的电沉积策略在泡沫镍上合成不饱和配位Co−M键修饰的金属Co催化剂(M-Co/NF, M=P, S, Se, Te)。巧妙地利用离子在沉积电位下的迁移和还原,将非金属元素引入金属Co中,同时避免形成相应的化合物。该方法简化了合成过程,避免了有毒气体的释放,也为催化剂的快速、大面积制备提供了可能。
Fig. 1. (a) Schematic diagram of the synthesis of P-Co/NF, (b) XRD patterns of Co, P-Co and Co2P, SEM image of P-Co/NF at (c) low and (d) high magnification, (e) TEM image, (f) HRTEM and (g) FFT pattern of P-Co, (h) AC-HAADF-STEM image and element mapping of P-Co catalyst.
要点二:新颖的调控策略
提出了一种不饱和配位Co−M键修饰策略。通过构建Co−M键作为电荷转移通道来调节局部配位环境。该策略利用非金属元素和金属元素固有性质的差异来增强表面电子离域,从而实现局部电荷分布和表面电荷状态的调控。
Fig. 2. (a) Co 2p, (b) P 2p and (c) normalized valence band spectra of Co2P, P-Co and Co. (d) Co K-edge XANES and (e) FT-EXAFS spectra of Co foil, Co2Pand P-Co and (f) their fitting results in R-space. Wavelet transforms for the k3-weighted Co K-edge EXAFS signals of (g) Co2P, (h) P-Co and (i) Co foil.
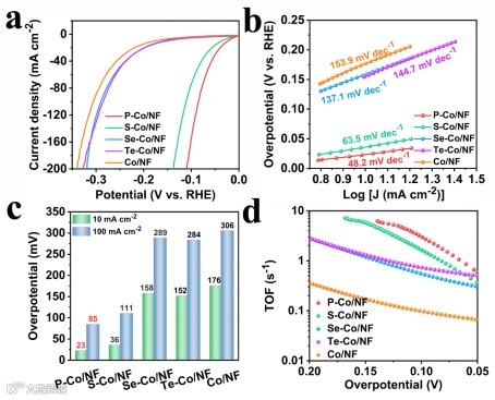
要点三:增强的碱性析氢反应活性
得益于局部电荷分布和表面电荷状态的调节,M-Co/NF表现出显著增强的本征催化活性。具有代表性的P-Co/NF在10 mA cm−2时的过电位仅为23 mV,优于Pt/C。此外,P-Co/NF可以在500 mA cm−2的大电流密度下能稳定运行720 h。
Fig. 3. (a) LSV curves, (b) Tafel plots, (c) comparison of overpotentials, (d) TOF values of P-Co/NF, S-Co/NF, Se-Co/NF, Te-Co/NF and Co/NF.
Fig. 4. (a) HER polarization curves and (b) corresponding Tafel plots of different catalysts, (c) comparison of overpotentials for all catalysts, (d) EIS curves and (e) Cdl and the HER polarization curves normalized by ECSA of different catalysts, (f) i-t curves of P-Co/NF at −0.890 V, (g) comparison of overpotentials of P-Co/NF with recently reported Co based HER catalysts.
要点四:优化的H2O和H中间体吸附
P的引入可以有效改善P-Co对H2O的吸附能力,并且P原子通过吸引H2O分子中的质子,能够促进H2O分子的解离。不饱和Co−P配位键还可以削弱附近Co位点对H的吸附,并且引入的P原子也可以作为H吸附位点,形成多个H吸附位点共同催化HER过程。S、Se、Te的引入同样能够优化Co对H2O和H的吸附,说明非金属元素调控策略在增强过渡金属催化剂的HER催化性能方面具有一定的普适性。
Fig. 5. (a, b) Differential charge density of P-Co (Yellow isosurfaces, electron accumulation; cyan isosurfaces, electron depletion.), (c) the charge density contour plot of the P-Co, (d) adsorption energy of H2Oon Co and P-Co, (e) the length of O−H bond in the optimized H2Oadsorption model of P-Co and Co, (f) ΔGH* on different sites of Co and P-Co. Color code: blue, Co; gray, P; red, O; white, H.
Fig. 6. Differential charge density of (a) S-Co, (b) Se-Co and (c) Te-Co, (d) ΔE of H2O, (e) ΔGH* of H* of Co, S-Co, Se-Co and Te-Co, respectively. Yellow and cyan isosurfaces represent electron accumulation and electron depletion, respectively.
文 章 链 接
Constructing unsaturated coordination Co−M (M=P, S, Se, Te) bonds modified metallic Co for efficient alkaline hydrogen evolution
https://www.sciencedirect.com/science/article/abs/pii/S0926337324002261
通 讯 作 者 简 介
刘辉教授简介:天津大学英才教授,博士生导师,国家自然科学基金优秀青年基金获得者,先后主持国家自然科学基金青年科学基金、国家自然科学基金面上项目、国家自然科学基金优秀青年基金项目。2013年于天津大学取得博士学位,长期致力于脉冲激光制备亚稳材料及其电催化性能研究。以第一作者或通讯作者在Nature catalysis、PANS、Nature Communications、Angew、Adv. Energy Mater.、Adv. Funct. Mater.、ACS Energy Lett、Appl. Catal. B: Environ、Acta Materialia、Small、J. Mater. Chem. A等期刊发表SCI论文50余篇。
张兴华教授简介:河北工业大学元光学者,博士生导师,河北省三三三人才。研究方向为光/电/磁功能材料的可控制备、性能调控和应用研究;主持在研/完成国家级项目2项、省部级项目6项;发表Appl. Catal. B: Environ、Chem. Eng. J.、J. Colloid Interface Sci.、Chem. Mater.、J. Mater. Chem. A/C、ACS Appl. Mater. Inter.等高水平论文50余篇,授权发明专利10余项。
添加官方微信 进群交流
SCI二氧化碳互助群
SCI催化材料交流群
SCI钠离子电池交流群
SCI离子交换膜经验交流群
SCI燃料电池交流群
SCI超级电容器交流群
SCI水系锌电池交流群
SCI水电解互助群
SCI气体扩散层经验交流群
备注【姓名-机构-研究方向】
投稿请联系contact@scimaterials.cn
点分享
点赞支持
点在看

