文 章 信 息
通过Hf梯度掺杂精准调控表面晶格以增强高镍层状氧化物正极的结构稳定性
第一作者:邹跃
通讯作者:乔羽*,鲍骏*,孙世刚*
单位:中国科学技术大学国家同步辐射实验室,厦门大学化学化工学院,中国散裂中子源
研 究 背 景
锂离子电池有限的寿命和续航里程促使人们对锂离子电池的能量密度的要求不断提升。高镍正极LiNixCoyMnzO2 (NCM, x≥0.9) 材料因能同时获得高能量密度和低成本而被重点关注。然而,它们在获取高能量密度的同时却也面临结构的快速退化和恶化的循环性能,这极大地阻碍了它们的商业化发展。为了推动其商业化发展,科研人员投入了大量精力来深入研究高镍正极容量衰退的原因。目前普遍认为的是,其衰退主要源于内部结构的畸变(层状到盐岩相)和复杂的表面化学反应。因此,迫切需要提升高镍NCM正极的结构/界面稳定性。
文 章 简 介
近日,厦门大学孙世刚院士/乔羽教授团队与中国科学技术大学鲍骏研究员合作,在国际知名期刊Energy Storage Materials上发表题为“Precise Modulation of Surface Lattice to Reinforce Structural Stability of High-Nickel Layered Oxide Cathode by Hafnium Gradient Doping”的研究论文。该文章提出了通过使用高化合价(+4), 大离子半径( 0.79 Å)和高相对原子质量(178.5)的Hf元素去精准调控表面晶格以增强高镍层状氧化物正极的结构稳定性。研究结果表明,在高温烧结过程中,Hf元素梯度掺杂在NCM90表面,并靶向过渡金属层的Ni位点,从而有效减缓了晶格结果的剧烈变化(Hf作为骨架减少了晶格变化)和晶格氧的逸出(Hf-O键能大于Ni-O)。经过改性后的正极材料展现出更好的循环稳定性,在3.0-4.3 V的电压范围内,1C下循环100圈的容量保持率为95.0%。
图1. Hf掺杂改性NCM90正极的机理示意图。
本 文 要 点
要点一:Hf掺杂NCM90正极的结构及界面表征
通过XRD和NPD表征可知,Hf掺杂后的NCM90正极材料仍能保持层状结构(R-3m空间群)。进一步通过NPD精修结果确定了Hf掺杂后更易靶向Ni位点。Tof-SIMS表征确定了Hf元素是梯度掺杂在NCM90表面。
Fig. 1. a) Sectional periodic table of elements. b) Comparison of ion radius between selective elements. c) Schematic diagram of Hf-doping and the trait of Hf element (Proper Valence, Large Radius and Heavy element). d, e) XRD and NPD Rietveld refinement of 2% Hf-doping cathode. SEM images of Hf-doping and the corresponding EDS mapping of Hf, Ni, Co, Mn are inset in d) and the schematic explaining of Hf-doping at Ni site is inset in e). f) XPS analysis of NCM90 and 0.3% Hf cathode in Ni 2p spectra. g) TOF-SIMS depth profiles of positive ion fragment on 0.3% Hf-doping cathode: Ni+ and Hf+. The 3D render of Hf+ is exhibited in the inset.
要点二:Hf掺杂提升NCM90正极的电化学性能
Hf掺杂能够显著提升NCM90正极的循环稳定性,具体表现为:1C循环100圈后的容量保持率为95.0%;1C/5C循环500圈后的容量保持率为83.9;4.4 V/4.5 V电压下,1C循环100圈后的容量保持率为89.1%/89.5%; 在50 oC下,1C循环100圈后的容量保持率为93.2%。整个循环过程中也呈现出更低的阻抗变化。
Fig. 2. a, b) Charge-discharge curves evolution (on the left side) and the corresponding dQ/dV profiles (on the right side) of NCM90 and 0.3% Hf-doping cathodes in the voltage range from 3.0 to 4.3 V with a current density of 200 mA g−1 at 30 °C. c) Cycling performance at 1C (1C = 200 mA g−1) for charge and 5C for discharge. Cycling stability at harsh conditions of d) 4.4 V, e) 4.5 V and f) 50 °C. g) Cycling performance comparisons between NCM90 and 0.3% Hf-doping cathodes at different conditions. h) EIS fitted impedance values (Re, Rsf, Rct) of NCM90 and 0.3% Hf cathodes during cycling.
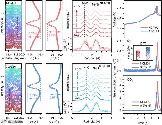
要点三:Hf掺杂前后对NCM90正极首圈的影响
通过原位XRD以及原位XAS可知, Hf掺杂改性能缓解NCM90电极材料在充放电过程中的结构畸变。此外,通过DFT计算和DEMS表征可得,经过Hf元素改性后的正极材料因晶格氧的在高电压下不稳定所释放的氧气量明显减少,这得益于更强的Hf-O键能。
Fig. 3. a, b) In-situ XRD characterizations of NCM90 and 0.3% Hf electrodes at first cycle between 3.0 and 4.3 V: the diffraction patterns of (003) peak and the corresponding variation of the lattice parameter c and V. c, d) the Fourier transform magnitudes of k2 weighted Ni-K-edge EXAFS spectra of NCM90 and 0.3% Hf electrodes during charging process. e) In-situ OEMS measurements capturing O2 and CO2 of NCM90 and 0.3% Hf electrodes during the initial charging. The inset in e is oxygen vacancy formation energy of NCM90 and Hf-doping at delithiated state (∼Li0.33).
要点四:Hf掺杂减少了结构的畸变和界面副反应的发生
经过100圈循环后,改性后的正极材料表面层状结构向盐岩相(NiO)的演化明显减少,这也符合DFT计算结果:更高的Li+/Ni2+混排能。通过SEM截面分析可知,Hf掺杂后的正极有着更好的结构稳定性,保持着更完整的结构,并未出现明显裂纹。Tof-SIMS进一步被用来分析CEI成分,结果表明在Hf掺杂后的NCM90表面生成的CEI更均匀且薄(与TEM结果一致),并且更少的过渡金属离子从正极溶出。
Fig. 4. NCM90 and 0.3% Hf electrodes cycled at 1C in the voltage range of 3.0∼4.3 V after 100 cycles: a) HRTEM images, c) Cross-sectional morphology and d) TEM images. b) The Li/Ni exchange formation energy of NCM90 and Hf-doping at delithiated state (∼Li0.33). e, f) TOF-SIMS sputtering depth curves (normalized based on maximum intensity) of the composition (C2H3O−, LiF2−, NiF3− and MnF3−) on the NCM90 and 0.3% Hf cathode surface after cycling. The inset Figure in f is the dissolving amount of Ni/Co/Mn collected on lithium metal anode after 100 cycles.
致谢
感谢中国散裂中子源提供的中子粉末衍射测试支持;感谢安徽创谱仪器科技有限公司台式XAFS谱仪(Table XAFS-500)提供了原位电化学X射线吸收谱测试支持。
文 章 链 接
“Precise Modulation of Surface Lattice to Reinforce Structural Stability of High-Nickel Layered Oxide Cathode by Hafnium Gradient Doping”
https://doi.org/10.1016/j.ensm.2024.103400
通 讯 作 者 简 介
孙世刚,中国科学院院士,教授、博士生导师。获国家自然科学奖二等奖、教育部自然科学奖一等奖、中法化学讲座奖、中国电化学贡献奖、中国光谱成就奖、国际车用锂电池协会终身成就奖、国际电化学学会Brian Conway物理电化学奖章等科技奖项;获国家级教学成果奖、首届全国教材建设先进个人奖、第四届杰出教学奖、国家级教学名师、全国模范教师、全国优秀科技工作者和全国先进工作者等荣誉。担任J Electroanal Chem、Func Mater Lett、ACS Energy Lett、Electrochem Energy Rev、National Sci Rev、J Solid State Electrochem、JMCA、《应用化学》、《物理化学学报》、《结构化学》等学术期刊编委或顾问编委,国际电化学会会刊Electrochimica Acta、《光谱学与光谱分析》、《化学学报》和《化学教育》副主编、中国化学会电化学专业委员会会刊《电化学》主编。
曾主持国家基金委重大科研仪器设备研制专项、“界面电化学”创新研究群体(3+3+3延续资助)、中科院学部“高端电子制造电子电镀”科学与技术前沿论坛,以及中科院学部咨询评议项目“我国电子电镀基础与工业的现状和发展”等项目。现任厦门大学自然科学学部主任、中国化学会第二届监事会监事长、中国化工学会电子化学品专业委员会副主任、高端电子化学品国家工程研究中心(重组)科技领军专家。
鲍骏,中国科学技术大学国家同步辐射实验室研究员、博士生导师。中国化学会高级会员,中国科学院十五五重大科技基础设施战略规划咨询专家组成员,中国材料与试验团体标准委员会高通量制备分技术委员会主任委员。主要从事同步辐射实验技术和能源催化等领域研究。发展了一系列基于同步辐射和自由电子激光的原位实验方法及材料基因组学技术,如同步辐射红外显微谱学催化剂高通量筛选系统、红外自由电子激光时空域分辨原位谱学表征方法等,并对用户开放。迄今,已在Nature. Comm., J. Am. Chem. Soc., Angew. Chem. Int. Ed., ACS Catal.等期刊发表论文150多篇,受邀请参与撰写英文专著2部,获授权发明专利12项。主持承担基金委、科技部、中科院、教育部等多项课题研究,部分成果实现技术转让。
乔羽, 教授 博士生导师,厦门大学化学化工学院 / 固体表面物理化学国家重点实验室,中国福建能源材料科学与技术创新实验室(嘉庚创新实验室)。研究内容:二次电池相关新型储能体系(富锂、高镍等高电压正极材料中阴离子氧化还原机理,电极电解液表界面电化学过程及相关溶剂化构型改性研究,二次电池产气精细分析等);电化学原位谱学表征(电化学原位气相质谱色谱联用、Raman、红外等)。学术成果:2017年以来,以第一作者和通讯作者身份在Nature Energy (2篇), Nature Catalysis, Nature Sustainability, Joule (7篇), J. Am. Chem. Soc. (2 篇), Angew. Chem. (7篇), Adv. Mater. (10篇), Energy Environ. Sci. (4篇), Adv. Energy Mater. (5篇)等科研期刊发表学术论文50余篇。获奖情况:国家海外高层次青年引进人才计划、福建省杰青、闽江特聘教授等。
课 题 组 招 聘
招聘博士后(锂钠离子电池正极结构方向优先),待遇:基础薪金30-35W/年(税前),其他另算。在站博士后除独立科研外,指导相关方向学生进行科研,以共同通讯作者身份署名。联系方式:yuqiao@xmu.edu.cn。
添加官方微信 进群交流
SCI二氧化碳互助群
SCI催化材料交流群
SCI钠离子电池交流群
SCI离子交换膜经验交流群
SCI燃料电池交流群
SCI超级电容器交流群
SCI水系锌电池交流群
SCI水电解互助群
SCI气体扩散层经验交流群
备注【姓名-机构-研究方向】
投稿请联系contact@scimaterials.cn
点分享
点赞支持
点在看

