文 章 信 息
通过结构工程与VO2相变机制的协同策略实现超高面容量锌离子电池正极
第一作者:孙伟议
通讯作者:石会发*
单位:青岛理工大学
研 究 背 景
目前,对于锌离子电池的大多数研究中所制备的电极具有低的活性物质的质量负载,电极的面容量非常有限(小于3 mAh cm-2),极大地影响了电池的能量/功率密度。在实际应用中,活性物质的面积负载通常超过10 mg cm-2。然而,随着活性物质的质量负载的增加,传统浆料涂层法得到的电极容易开裂,活性物质容易从集流体脱落。其次,厚电极通常具有高度曲折的离子传输通道,不仅严重降低了活性物质的利用率,更进一步限制离子的快速传输。除了活性物质的质量负载外,另一个待解决的问题是活性物质的放电性能。不仅要求材料本身具有高电化学活性,高放电比容量和快速的Zn2+插入/脱嵌动力学也是必备条件。钒基氧化物具有低毒性、多化合价态和多功能隧道/层结构的优点。然而,钒基氧化物离子间强静电相互作用阻碍了Zn2+插入/脱嵌过程。此外,晶体结构坍塌和钒溶解会导致电池容量的快速衰减。因此,优化电极结构,对低价钒氧化物的相变机制深入分析讨论,对于实现高面容量锌离子电池正极具有重要意义。
文 章 简 介
基于此背景,来自青岛理工大学的石会发教授团队,采用电极结构工程设计和活性材料的电化学活性调节协同的策略,实现了具有分级多孔结构的的超高面容量VO2正极。相关成果“Synergy of Structural Engineering and VO2Self-transformation Enables Ultra-High Areal Capacity Cathodes for Zinc-Ion Batteries”为题发表于国际知名期刊Carbon。青岛理工大学机械专业硕士研究生孙伟议为本文第一作者,石会发教授为通讯作者。
图1 超高容量VO2网格电极的制造工艺示意图
图2 (a)油墨剪切变稀特性。(b)油墨储能模量 G′和损耗模量G“与剪切应力关系。(c)质量负载与打印层数的关系。插图预制备的高粘弹性的油墨和多层打印操作示意。通过3D打印获得的不同图案:(d)希尔伯特曲线。(e)汉字。(f)花卉图案。
图3 VO2的物化性质表征。(a)SEM图像。(b)TEM图像。(c)HRTEM图像。(d)3D打印VO2网格电极的SEM顶部视图(e)横截面视图。(f)打印线条表面的SEM放大图像,显示了PVDF水相析出产生的多孔网络结构。(g)3D打印VO2网格电极的SEM局部图像和相应的EDS元素分布:(h)碳(i)氧和(j)钒。
图4 (a)3D打印VO2网格电极的前五圈CV曲线,扫描速率为 0.2 mV s-1。(b)3D打印VO2网格电极的前3圈充放电曲线。(c)3D打印VO2网格电极和涂膜电极的倍率性能。(d)3D打印VO2网格电极不同电流密度下的充放电曲线。(e)3D打印VO2网格电极和涂膜电极不同状态下的EIS图谱。(f) 3D打印VO2网格电极和涂膜电极在1A g-1下的循环性能。(g)3D打印VO2网格电极不同循环状态下的充放电曲线。(h)3D打印VO2网格电极和涂膜电极在4A g-1下的长循环性能。
图5 (a)3D打印VO2网格电极在不同的扫描速率下CV曲线。(b)根据CV数据在四个峰值处绘制的log i峰值电流与log v的关系图。(c)3D打印VO2网格电极在不同的扫描速率下电容贡献。(d)3D打印VO2网格电极在 1 mV s-1的赝电容贡献。GITT曲线和相应的Zn2+充放电过程中的扩散系数:(e)3D打印VO2网格正极。(f)涂膜VO2正极。
图6 (a)VO2的放电/充电曲线和 (b)对应的准原位XRD图谱。(c)显示V5O12∙6H2O.峰位置变化的局部XRD图谱。(d)XPS全光谱。VO2的XPS光谱:(e)Zn 2p、(f)V 2p和(g)O 1s。(h)使用1 M Zn(OTF)2的乙腈非水电解质,VO2第一次的充放电曲线。(i)去除电解液中的氧气后,VO2电极的初始充放电曲线。(j)采用三电极体系以3 M Zn(OTF)2为电解液,测试第一次充电过程中PH的变化。
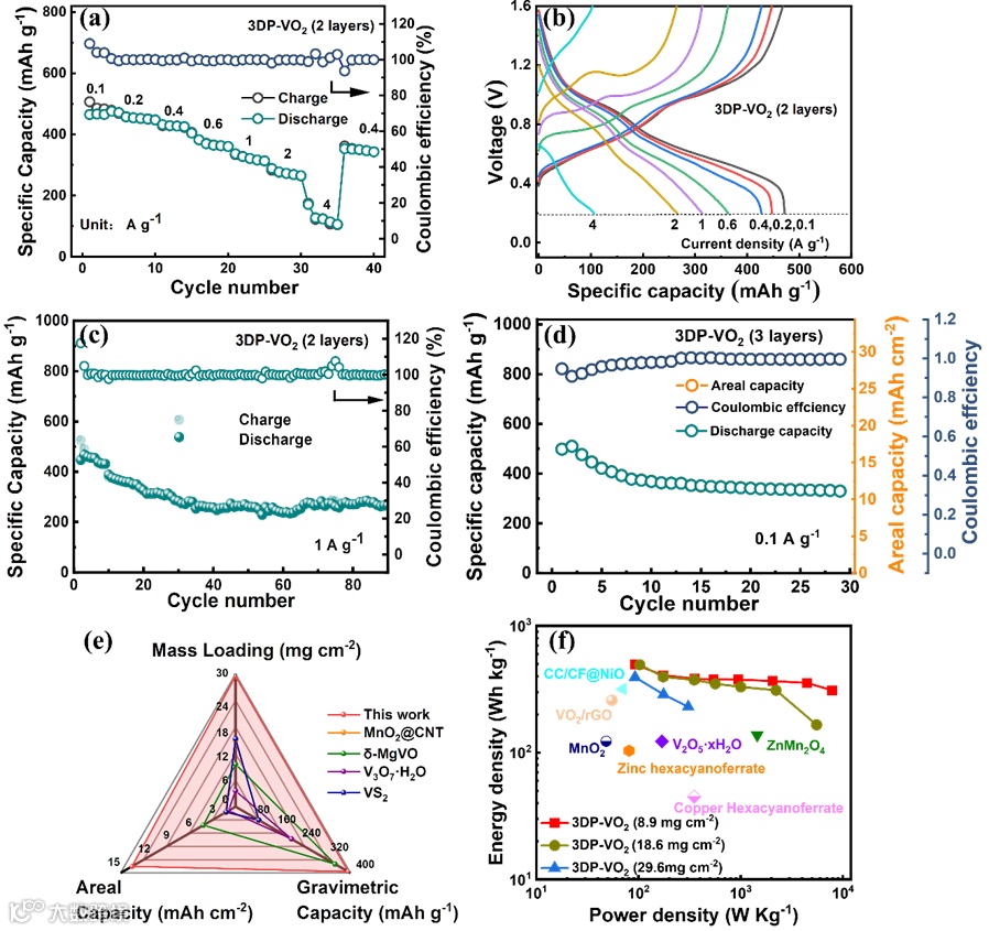
图7 (a)3D打印双层电极的倍率性能。(b)3D打印双层电极在不同电流密度下的充放电曲线。(c)3D打印双层电极在1 A g−1下的循环性能。(d)3D打印3层电极,在0.1 A g−1的循环性能。(e) 3D打印3层电极的面容量、质量负载、质量比容量同已报导的文献对比。(f)3D打印电极的Ragone及之前报道的锌离子电池正极。
本 文 要 点
要点一:分级多孔的VO2正极
利用3D打印技术制备网格电极结构,具有垂直电极方向的大孔,有益于电解液的快速渗透。其次,利用PVDF水相析出原理生成的亚微米孔,不仅有利于锌离子在电极内部的快速扩散,并且对于超高质量负载的厚电极,仍然可以实现快速的离子传输。
要点二:VO2向层状V5O12∙6H2O转变
通过调节充电电压,VO2发生相变,转化为层状V5O12∙6H2O,增加更多的Zn2+的存储位点,利于Zn2+的快速插入/脱嵌。
要点三:3D打印VO2正极的全电池性能
以3D打印VO2正极组装的锌离子电池展现出优异的倍率性能和循环稳定性。同时在循环数十圈后,电极仍能保持完整结构。
要点四:高面容量多层VO2正极的制备
在一层打印的基础上,通过调控打印参数,实现2-3层的高面容VO2网格电极的制备。多层电极同样表现出出色的循环及倍率特性,同时拥有超高质量负载及面容量。
文 章 链 接
Synergy of structural engineering and VO2self-transformation enables ultra-high areal capacity cathodes for zinc-ion batteries
https://doi.org/10.1016/j.carbon.2024.119241
通 讯 作 者 简 介
石会发教授简介:副教授,工学博士,2020年1月毕业清华大学,同年11月以加入青岛理工大学机械与汽车工程学院(第五层次A类人才),从事教学与科研工作。目前主要从事新能源电池电极与器件的3D微纳打印与制造方向。在Advanced Functional Materials、Journal of Materials Chemistry A等期刊发表十余篇高水平学术论文,授权发明专利4项。
第 一 作 者 简 介
孙伟议,青岛理工大学机械与汽车工程学院2021级硕士生,导师为石会发教授,本科毕业于青岛理工大学。主要研究方向为3D打印锌离子电池电极器件。
添加官方微信 进群交流
SCI二氧化碳互助群
SCI催化材料交流群
SCI钠离子电池交流群
SCI离子交换膜经验交流群
SCI燃料电池交流群
SCI超级电容器交流群
SCI水系锌电池交流群
SCI水电解互助群
SCI气体扩散层经验交流群
备注【姓名-机构-研究方向】
投稿请联系contact@scimaterials.cn
点分享
点赞支持
点在看

