文 章 信 息
氟化电解质配方设计可实现高电压和长寿命锂金属电池
第一作者:饶玉鑫
通讯作者:方姗*,Stefano Passerini*
研 究 背 景
金属锂作为实现高能量密度“下一代”锂二次电池的关键负极材料,近年来受到广泛关注。然而,高活泼性的锂金属会不由自主地与电解液反应生成副产物,在锂金属表面形成不稳定的脆性SEI,电解液的持续消耗和循环过程中不断地锂沉积与剥离过程,从而使得SEI不断重组和增厚,引起较大的界面阻抗和低锂离子传输。另外,不稳定的SEI也会导致不均匀的锂沉积,形成大量锂枝晶,从而出现穿透隔膜,最终接触到正极,从而导致电池短路和相关的安全问题。有效地抑制锂枝晶的生长和形成稳定且坚固的电解质界面是研究人员试图解决的主要问题。
同时电解液中Li+的溶剂化结构影响着SEI和CEI的结构和组成。在常规电解液中,溶剂的强溶剂化特性导致Li+与溶剂分子的主要配位作用,从而形成许多溶剂分离离子对(SSIP)。这些SSIP有助于形成具有低离子电导率和机械强度的富有机SEI层,并不能有效抑制锂枝晶的形成。而为了建立一个薄而坚固的无机界面层,就需要增加溶剂化鞘内阴离子的参与,即提高阴离子与Li+的配位作用,抑制溶剂分子与Li+的配位。
在电解液中使用氟化溶剂在缓解通常与传统电解质相关的几个挑战方面显示出相当大的前景,即与锂金属的低相容性、高压下的快速容量衰减和高可燃性。溶剂分子的特定官能团被氟取代,由于氟原子的弱极性和强电负性,在溶剂的弱化溶剂化中有效地促进了阴离子和Li+之间的配位。
文 章 简 介
近日,来自南昌大学的方姗教授与德国亥姆霍兹乌尔姆研究所的Stefano Passerini教授在国际知名期刊Nano Energy上发表题为“Fluorinated electrolyte formulations design enabling high-voltage and long-life lithium metal batteries”的文章。该文章报道了一种新型氟化电解液,加入微量的LiNO3对Li+溶剂化结构产生实质性影响,诱导出富含阴离子的溶剂化结构,形成主要由Li3N和LiF组成的富含无机物的电解质界面层,有效抑制锂枝晶的形成,增强电极与电解液之间的界面稳定性,在锂金属电池中产生优异的循环性能。
本 文 要 点
要点一:微量LiNO3对溶剂化结构的影响
减少溶剂分子的存在和增加阴离子与Li+的配位是提高SEI组成中无机比例的关键方面。采用拉曼光谱分析电解液的溶剂化结构,将LiFSI和LiNO3与各种溶剂结合形成电解液后,游离FSI-阴离子的含量降低(图1b)。与FFD相比,较低浓度的FFL在Li+和阴离子之间的配位也较低,这可能是由于过量的溶剂分子在与Li+配位的竞争中获胜。这表明浓度的适当增加有利于Li+-FSI-配位,同时,微量LiNO3的参与可以调节溶剂化结构,可能促进富含LiF和Li3N组分的SEI的形成。如图1c,基于不同的化学位移,探讨了溶剂与电解质之间的相互作用。在引入LiNO3(FFL和FFD)后,由于溶剂分子和NO3-离子之间的竞争,峰经历了向高场的转变。采用密度泛函理论计算了HOMO和LUMO的能级,深入了解电解质的氧化还原性质(图1d)。LiNO3具有较高的HOMO能级,这意味着较低的氧化稳定性和氧化倾向,这有助于在正极表面形成无机钝化层。这种富含无机物的层有望增强CEI的韧性并表现出高离子电导率,从而促进CEI内的离子传输。同时,这同样适用于LiNO3 拥有最低的 LUMO 能级,进一步的证据支持LiNO3可以优先氧化和还原,使得在两个电极表面形成富含无机物且导电子性差的钝化层,可能抑制电解质分解并提高电池的循环寿命。
图1. a)680-950 cm−1 范围内的拉曼光谱;b)电解液及其溶剂分子分布的拉曼光谱;c)各种溶剂和电解液的1H NMR结果;d)电解液中每种组分的 HOMO 和 LUMO 能级;e)溶剂和两种锂盐与Li+之间的吸附能;正极和负极之间的溶剂化结构示意图:f)LP30,g)FFL,h)FFD。
要点二:锂金属负极优异兼容性
比较采用三种电解液的Li||Li对称电池的循环稳定性。与使用LP30和FFL相比,使用FFD的电池表现出更好的可逆性和更低的极化。为了评估Li电镀/剥离过程的可逆性,如图2d,进行Li||Cu电池。基于FFD的电池的初始库仑效率(ICE)达到95.2%的高值,超过了基于FFL-(94.6%)、free-N(92.7%)和LP30(94.5%)的电池的值。在随后的循环中,基于FFD的电池表现出稳定的行为,这是由于形成了稳定的SEI,并导致库仑效率不断增加。平均库仑效率(CE)在150次循环中达到96.0%。然而,与仅在80次循环后失败的free-N相比,FFD显示出显著的改善。这也表明,添加微量的LiNO3可以大大提高循环稳定性,有可能促进富含Li3N组分的SEI的形成。相反,LP30中锂枝晶的生长导致死锂的产生,导致CE的持续降低,使电池无法支持长期循环。图2g显示了电解液的Tafel曲线表明,FFD和FFL产生更高的交换电流密度J0,表明FFD/FFL提供了更快的Li+转移动力学。活化能曲线显示,FFD具有较低的Ea值,表明溶剂化壳中阴离子对Li+的配位显著影响SEI的结构和组成,增强了Li+的转移动力学。
图2. a) Li||Li对称电池在2mA cm-2,1mAh cm-2和b) 3mA cm-2,1mAh cm-2的不同电解液中的时间-电压曲线;c) 电解液在电流密度为0.5至8.0 mA cm-2时的倍率性能;d) 1mA cm-2和1mAh cm-2工作的Li||Cu电池的库仑效率;在1mA cm-2,1mAh cm-2下用 FFD e)和 LP30 f)测量的Li||Li对称电池的EIS谱。g)对称Li||Li电池在不同电解液中的Tafel曲线。h)和i)来自具有不同电解液的循环Li||Li对称电池的Nyquist图的RSEI和Rct的活化能。
SEM形貌观察结果进一步凸显了与LP30相比,FFD电解液的锂沉积性能有所改善,包括可逆性和稳定性。
通过对Li表面进行XPS成分分析,可以清楚地看到,在循环过程中,FFD主要产生无机成分,即LiF、Li3N、LixSy和Li2O。这些无机成分共同形成稳定的SEI,显著提高了电池的循环稳定性和寿命。
图3.锂沉积形态和表面组成的表征。a-c)和d-f)显示了Li在FFD和LP30中的初始沉积形态的SEM图像;g-i)显示了在具有两种电解质的Li||Li对称电池中循环10次后,在Li金属表面上的F1s、N1s和S2p的XPS光谱。
要点三:正极优异兼容性
用不同电解液对Li||NCM811电池的性能进行了测试。图4a显示了电池在3.0-4.3V的电压范围内在1C下循环500圈的性能。采用FFD的电池表现出优异的循环稳定性和长的循环寿命,在500次循环后实现了141.1 mAh g-1的高放电容量,具有80%的容量保持率。
图4.Li||NCM811电池电化学性能。a)在0.1C下进行第一次形成循环,在0.5C下进行10次循环,然后在1C下进行500次循环;b)和c)在1C和4.3V的长循环期间的选择性充放电曲线;d)以及e)在选定的循环之后用不同电解液对电池的EIS测量。
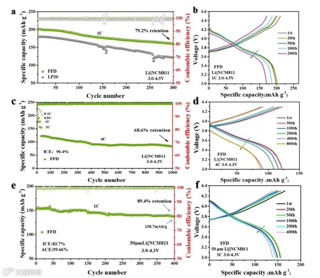
提高截止电压是提高放电容量和能量密度的直接方法。然而,在电解液中包含DME会降低其氧化稳定性。当用free-N电解液对Li||NCM811电池充电时,电压在4.2V达到上限,表明其氧化电位不足以满足高压应用的标准。幸运的是,添加微量的LiNO3显著提高了氧化电位,提高了电化学稳定性,使其能够在高压区工作。图5a描述了Li||NCM811电池的循环性能,在4.5V的截止电压下,FFD电池表现出217.1 mAh g-1的放电容量(在0.1C下)和在1C下300次循环后79.2%的良好容量保持率。值得注意的是,即使在4C的测试中,该电池也表现出优异的循环性能,ICE为90.4%,1000次循环后的高平均CE为99.88%,容量保持率高达68.6%。这突出了源自电解质的FFD电池的优异循环稳定性。此外,当用于将Li||NCM811电池与薄(50μm)Li金属箔组装时,它表现出令人难以置信的性能(图5e,5f)。这些电池的平均库仑效率达到了99.66%的令人印象深刻的值,而在1C速率下400次循环后,容量保持率保持在89.4%。这些结果突出了FFD在与正极和负极相容性方面的优势。
图5. a、b)Li||NCM811电池在4.5V的高截止电压下以1C循环,并具有相应的充放电曲线;c)以4C进行的长期循环和d)在长期循环期间选择的充放电曲线;e)Li||NCM811全电池的循环性能,采用50μm厚的锂极片,在4.3V下与FFD组装;f)在1C下的长期循环期间选择充放电曲线。
为了研究采用FFD作为电解质的Li||NCM811具有优异电化学性能的原因,进一步表征了在1C下100次循环后正极材料的结构演变和组成。TEM结果表明,在回收的NCM811颗粒上形成了厚度为4.21nm的均匀CEI层,相反,LP30的使用导致形成厚度为11.27nm的不均匀CEI层(图6b)。500次循环后从Li||NCM811电池中提取的正极材料的SEM图像显示,使用FFD电解液,NCM811颗粒保持完整,显示出被致密CEI层覆盖的致密表面,表明其电解液有着优异的正极兼容性。
图6. NCM811正极材料的表面形貌和化学成分表征。a)和b)分别是用FFD和LP30电解液在1C下100次循环后NCM811正极的TEM图像;NCM811阴极在循环之前c)和500次循环后分别使用FFD d)、FFL e)和LP30 f)电解液的SEM图像;NCM811阴极在0-120s深度蚀刻下与不同电解质进行100次循环后的XPS光谱,来自FFD g)和LP30 h)的F1s光谱;来自FFD i)和LP30 j)的O1s光谱。
【总结】
通过广泛的研究工作,证明了FFD电解质与锂金属阳极相比表现出显著的性能和稳定性。此外,用该电解质组装的Li||NCM811电池在3.0-4.3V的电压窗口内进行了多次倍率性能测试,表现出优异的循环稳定性和高能效。在1C倍率下500次循环后,电池保持高容量、80.0%的保留率和99.76%的平均库仑效率。类似地,在4C的倍率下进行1000次循环后,电池保持了68.6%的容量和99.88%的平均库仑效率。值得注意的是,即使在高压充电条件下,电池也表现出对电压不稳定性的恢复力,在1C倍率下300次循环后保持高容量保持率(79.2%)。这些结果强调了FFD电解质与阴极和锂金属负极的优异兼容性,能够形成具有高离子导电性和机械强度的坚固的富含无机物的SEI,从而增强界面稳定性。这项研究为开发用于高性能锂金属电池的新型电解液提供了宝贵的见解。
文 章 链 接
Fluorinated electrolyte formulations design enabling high-voltage and long-life lithium metal batteries
https://doi.org/10.1016/j.nanoen.2024.109362
通 讯 作 者 简 介
方姗博士,南昌大学特聘教授,江西省高比能高安全固态电池关键材料与器件工程研究中心主任,江西省“双千计划”青年领军人才,德国卡尔斯鲁厄理工学院博士后,南京航空航天大学博士,先后在国际顶级研究机构美国劳伦斯伯克利国家实验室(2015.10-2017.7)及德国卡尔斯鲁厄理工学院亥姆霍兹研究所(2018.10-2020.10)从事科研交流及研究工作,致力于电化学储能材料的新理论、新方法和新技术,及锂离子电池,锂金属电池,固态电池等能量转化与储存器件中功能结构材料的设计制备、体系构建和性能提升等方面的基础科学研究。目前在Advanced Energy Materials,ACS Nano,Nano Energy,Energy Storage Materials,等顶级期刊以第一作者及通讯身份发表SCI论21篇,1篇为高被引热点论文。主持国家自然科学基金2项,江西省自然科学基金2项及中德国际交流项目1项。目前是《eScience》青年编委,《Frontiers in Energy Research》客座编辑,多个专业期刊审稿人。
Stefano Passerini是罗马Sapienza大学化学系教授,卡尔斯鲁厄理工学院杰出高级研究员,主要为二次电池体系的开发及应用,如离子液体、聚合物电解质和电极材料。主持由欧盟、BMBF(德国联邦教育和研究部)、亥姆霍兹学会和工业界资助的多项研究工作,被授予了电化学学会电池部的研究奖。目前已在Nature Materials, Nature reviews materials, Angewandte Chemie, Advanced Materials, Energy & Environmental Science等国际顶级学术期刊发表文章,论文引用超过62000余次,h指数132。
第 一 作 者 简 介
饶玉鑫于2021年获得江西科技大学学士学位,目前正在南昌大学物理与材料科学学院攻读硕士学位。研究主要集中在锂金属电池中使用的有机电解质的制备和改性。
添加官方微信 进群交流
SCI二氧化碳互助群
SCI催化材料交流群
SCI钠离子电池交流群
SCI离子交换膜经验交流群
SCI燃料电池交流群
SCI超级电容器交流群
SCI水系锌电池交流群
SCI水电解互助群
SCI气体扩散层经验交流群
备注【姓名-机构-研究方向】
投稿请联系contact@scimaterials.cn
点分享
点赞支持
点在看

