文 章 信 息
应用有机硼添加剂在高性能锂离子电池富镍阴极上动态构建坚固的阴极电解质界面
第一作者:张维佳
通讯作者:陶占良
单位:南开大学
研 究 背 景
高镍三元材料(NCM)具有高理论比容量和高放电中压的特点,是最有前景的锂离子电池正极材料之一。然而,充电过程中形成的高氧化性的Ni4+极易与电解液发生反应,带来安全问题。阴极-电解质界面(CEI)可以有效隔绝Ni4+与电解液的接触,抑制Ni4+的大量溶出。然而,不稳定、不均匀的CEI不能起到有效的阻隔作用。目前的电解液工程致力于构建不可变的CEI以保护正极材料,CEI的自修复能力往往被忽略。
文 章 简 介
本工作通过引入高HOMO能级的含硼添加剂——异丙醇频哪醇硼酸酯(ITD),调控了CEI的组分,原位构建了均匀且具有动态修复能力的含硼CEI。原位成形的含硼CEI致密均匀地覆盖在NCM811表面,很好的阻隔了NCM811与电解液的接触,减少了镍的溶解量。CEI在循环过程中的动态修复能力保护了NCM811阴极,Li|| NCM811电池在添加2% 体积分数ITD的电解液中以1C循环,200圈后容量保留率为93.0%,而空白电解液只有29.4%。此外,CEI中Li+的低活化能赋予了电池优异的倍率性能。通过构建自修复CEI,本工作成功实现了NCM811的稳定循环,为后续NCM811的保护提供了一种可行的思路。成果以“Dynamically constructing robust cathode-electrolyte-interphase on nickel-rich cathode by organic boron additive for high-performance lithium-ion batteries”为题,发表在Chemical Engineering Journal期刊上。
本 文 要 点
要点一:ITD氧化能力的探究
通过理论计算与实验的结合验证了ITD能够先于电解液溶剂参与形成薄而均匀的CEI。
图1. ITD成膜能力及成膜形貌。
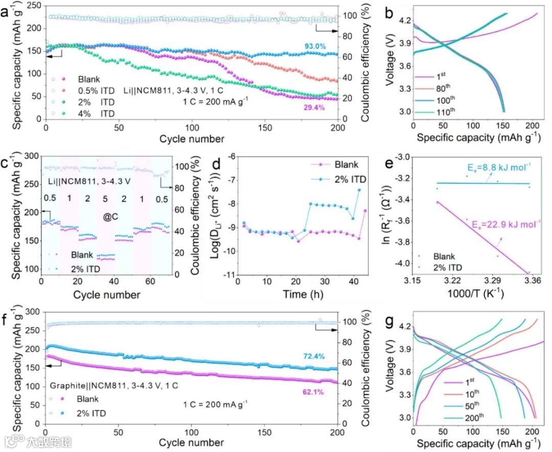
要点二:含ITD电解液提升NCM811的循环稳定性及倍率性能
含ITD添加剂的电解液具有优异的半电池及全电池循环表现。
图2. 含ITD添加剂电解液电池的电化学表现。
要点三:CEI作用
含硼CEI薄且均一、具有一定的自修复能力,能有效阻隔Ni4+与电解液接触,有效减少NCM811正极镍的溶出、自放电率以及颗粒表面和内部裂纹。
图3. CEI对材料及电解液的保护作用表征。
要点四:CEI组分及机理图
ITD的添加成功将硼引入CEI中,构建了含硼CEI,减少了CEI中镍的含量。
图4. CEI组分及修复机制。
文 章 链 接
Dynamically constructing robust cathode-electrolyte-interphase on nickel-rich cathode by organic boron additive for high-performance lithium-ion batteries
https://doi.org/10.1016/j.cej.2024.151946
添加官方微信 进群交流
SCI二氧化碳互助群
SCI催化材料交流群
SCI钠离子电池交流群
SCI离子交换膜经验交流群
SCI燃料电池交流群
SCI超级电容器交流群
SCI水系锌电池交流群
SCI水电解互助群
SCI气体扩散层经验交流群
备注【姓名-机构-研究方向】
投稿请联系contact@scimaterials.cn
点分享
点赞支持
点在看

