文 章 信 息
高熵催化加速锂硫电池的逐步氧化还原反应
第一作者:徐韵涵
通讯作者:张旭*,杨春鹏*,杨全红
研 究 背 景
催化作用对于改善锂硫电池的氧化还原动力学至关重要。然而,由单一金属元素组成的传统催化剂无法加速涉及16电子转移和多个Li2Sn(n = 2-8)中间物种的逐步硫氧化还原反应。为了实现锂硫电池的快速动力学,本篇工作使用高熵合金(HEA)纳米催化剂,有效吸附多硫化物并加速硫物种的氧化还原动力学。HEA中多种元素(Co、Ni、Fe、Pd和V)可有效增强催化剂活性位点,提高电池的倍率性能及循环稳定性。锂硫电池的优异性能证明了HEA 催化剂在加速硫物种转化方面具有最大化的协同效应,这为催化提升分步电化学转换反应开辟了道路。
图 1. 有无HEA纳米催化剂吸附和催化LiPSs的锂硫电池中,硫逐步转化反应示意图。以 HEA吸附Li2S6的优化模型为例,说明HEA纳米催化剂吸附LiPSs和抑制穿梭效应的效果。
文 章 简 介
近日,来自天津大学的杨全红教授、杨春鹏教授与郑州大学的张旭教授合作,在国际知名期刊Advanced Science上发表题为“High-Entropy Catalysis Accelerating Stepwise Sulfur Redox Reactions for Lithium–Sulfur Batteries”的文章。
作者采用HEA纳米催化剂来加速锂硫电池的逐步硫氧化还原反应。他们在传统的过渡金属合金CoNiFe中加入了钒(V)和钯(Pd)元素,通过在碳纳米纤维(CNFs)上进行超快焦耳加热合成开发出了CoNiFePdV高熵合金。掺入V和Pd对HEA的结构特性和电化学活性有明显的协同效应。具体来说,HEA催化剂中的V能显著增加活性位点,且因V与Pd的协同作用,HEA对LiPSs的吸附和催化能力显著提高,从而减少了活性硫的损失。原位拉曼分析和密度泛函理论(DFT)计算表明,HEA与LiPSs之间的相互作用能有效抑制LiPSs 的溶解,从而抑制穿梭效应。因此,基于HEA催化的电池在0.1 C下的比容量高达1364 mAh g-1,同时具有出色的循环稳定性和倍率能力。将CoNiFePdV高熵合金用于改性锂硫电池验证了高熵催化的可行性,并提出了高熵催化剂的设计范例,从而彰显了其在推动高性能电池发展方面的潜力。
图 2. CoNiFePdV高熵合金的制备和结构表征。a) HEA制备示意图;b) HEA纳米粒子负载在CNFs上的TEM图像;c) HEA、CoNiFePd、CoNiFe和Co的XRD图谱;d) HEA纳米粒子的高分辨率TEM图像;e) STEM图像以及Co、Ni、Fe、Pd和V元素的相应EDS 图谱。
图 3. HEAs 的催化性能和多硫化物转化的研究。a) Li2S6与不同催化剂的吸附测试照片及相应的紫外可见光谱;b) Li2S6在HEA吸附前后的S 2p XPS;c) Li2S6在HEA、CoNiFe 和 Co表面的吸附能;d) 基于HEA的硫正极在不同电压状态下的原位拉曼光谱及相应的充放电曲线。e)不含HEA的硫正极在不同电压状态下的原位拉曼光谱以及相应的充放电曲线;f)锂硫电池中硫物种在HEA、CoNiFe和Co表面还原的能量图。
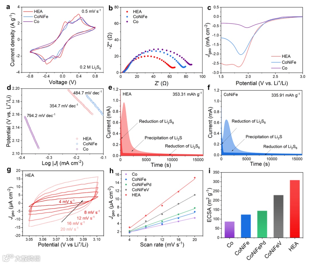
图 4. 高熵合金催化性能的电化学测试。a)不同催化剂修饰的对称电池CV曲线和b) EIS图;c)硫还原反应的LSV曲线和d)相应的Tafel图。e-f)HEA和CoNiFe电极的Li2S沉积曲线;g)在非法拉第范围内测试的HEA的CV曲线;h)从CV得出的各种催化剂的Cdl结果;i)各种催化剂的ECSA值。
图 5. 电化学性能。a) HEA-CNT/S、CoNiFe-CNT/S和Co-CNT/S在0.1 mV s-1时的CV 曲线;b)不同硫正极在0.1 C时的充放电曲线;c)不同电极在0.5 C时的循环性能;d)不同速率下的相应倍率性能;e)不同硫正极在1 C时的长循环性能;f) HEA-CNT/S和CNT/S 的循环性能(硫负载=4. 5 mg cm-1和E/S=5 μL mg-1);g) Li-S 软包电池俯视照片;h) 0.1 C时的循环性能与Li-S软包电池的关键电池性能参数。
主 要 结 论
本篇工作成功设计了 CoNiFePdV HEA纳米催化剂,并将其应用于锂硫电池的正极侧。在CoNiFePdV中掺杂五种金属可有效加速电池中涉及多电子和多步骤的硫氧化还原反应。此外,V的掺入显著增加了HEA纳米催化剂的电化学活性表面积,从而提高其对多硫化物的吸附能力。得益于高熵合金协同优势,对电池进行改性后,其循环性和倍率性能都有了显著提高。HEA催化的锂硫电池在0.1 C时的容量高达1364 mAh g-1,在 2 C时循环 1000 次,每次容量衰减仅为0.054 %,远远优于不含催化剂的电池。更令人鼓舞的是,E/S 比为5 μL mg-1的HEA改性电池在循环100次后仍能保持较高的比容量(571.9 mAh g-1)。这项研究证明了高熵催化反应在推动高性能锂硫电池方面的潜力,并有助于开发可持续的高效储能技术。未来的高熵催化研究有望加深对协同效应的理论理解,减少对稀有元素的依赖,提高结构和循环稳定性。
文 章 链 接
High-Entropy Catalysis Accelerating Stepwise Sulfur Redox Reactions for Lithium–Sulfur Batteries
https://onlinelibrary.wiley.com/doi/full/10.1002/advs.202402497
通 讯 作 者 简 介
张旭:博士,直聘研究员。研究领域主要涉及:研究揭示了MXene等多种二维材料的物理化学特性和潜在应用,部分结果为实验验证;发展了层状和二维材料高通量筛选方法,筛选了钠离子电池材料和光解水催化剂;通过数据库与机器学习结合设计了多种单原子电催化剂。在Adv. Energy Mater.、Adv. Sci.和J. Mater. Chem. A等期刊发表第一/通讯作者论文30余篇。论文被引3700余次,主要研究方向为高通量计算与机器学习。
杨春鹏:天津大学化工学院教授,博士生导师,国家级青年人才。主要研究领域为清洁高效电化学储能材料与器件,聚焦高效储能材料、固态电池、以及用于电化学储能和电化学催化的纳米材料设计与合成。相关成果发表于Nature, PNAS, Nat. Commun., Sci. Adv., JACS, Angew Chem., Int. Edit., Adv. Mater. Energy Storage Mater.等期刊,获多项中国专利、美国专利及PCT国际专利授权,任J. Energy Chem., eScience等期刊青年编委。
杨全红:天津大学化工学院北洋讲席教授、博士生导师。第十四届全国政协委员、天津市欧美同学会副会长。国家杰青、长江学者、万人领军,“工程科学和综合交叉”国家重点研发计划首席科学家,天津市有突出贡献专家、天津市科普大使,“科睿唯安”全球高被引学者和“爱思唯尔”中国高被引学者。从事碳功能材料、先进电池、储能技术和双碳战略研究,在碳纳米材料设计制备、致密储能、锂硫催化、钠电池筛分型碳负极方面取得系列进展。获国家技术发明二等奖、天津市自然科学一等奖等奖项。指导的学生团队获全国先进储能技术创新挑战赛一等奖和全国博士后创新创业大赛金奖。担任《Energy Storage Materials》和《Industrial Chemistry & Materials》副主编,
《Advanced Energy Materials》、《Carbon》和《中国科学-材料》等10余份刊物编委。出版《石墨烯:化学剥离与组装》、《石墨烯电化学储能技术》、《动力电池技术创新及产业发展战略》等三本专著;发表SCI论文300余篇,他人引用40, 000余次,H因子110;拥有中国和国际授权发明专利40余件。担任多家电池头部企业技术委员会委员、中国超级电容器产业技术联盟副理事长等行业兼职。更多信息可关注课题组网站:http://nanoyang.tju.edu.cn.
第 一 作 者 简 介
徐韵涵简介:天津大学化工学院研究生,师从杨全红教授与杨春鹏教授。主要从事锂硫电池催化方向的相关研究。本科毕业于东北大学。
添加官方微信 进群交流
SCI二氧化碳互助群
SCI催化材料交流群
SCI钠离子电池交流群
SCI离子交换膜经验交流群
SCI燃料电池交流群
SCI超级电容器交流群
SCI水系锌电池交流群
SCI水电解互助群
SCI气体扩散层经验交流群
备注【姓名-机构-研究方向】
投稿请联系contact@scimaterials.cn
点分享
点赞支持
点在看

