科学材料站
文 章 信 息
具有温度依赖聚集和优异批次重复性的非对称型聚合物受体实现高效全聚合物太阳电池
第一作者:吴宝奇,李悠乐
通讯作者:段春晖*
单位:华南理工大学
科学材料站
研 究 背 景
聚合化小分子受体(PSMAs)在推动全聚合物太阳电池(all-PSCs)光电转换效率(PCEs)提升方面发挥了重要作用。然而,当前主流的PSMAs数均分子量(Mn)普遍不高,在7–15 kDa的区间范围,相对应的聚合度仅为3–8,这就表明对于特定的PSMA,不同批次的聚合物即使其聚合度绝对值变化很小,但相对变化程度却非常大,导致聚合物性能上产生很大的差异,即存在着较大的批次差异性。而这种批次差异引起的后果很难通过器件手段去弥补,根本上解决这一挑战需要材料结构的创新。
科学材料站
文 章 简 介
近日,来自华南理工大学的段春晖教授,在国际知名期刊Nano Energy上发表题为“An asymmetric polymerized small molecular acceptor with temperature-dependent aggregation and superior batch-to-batch reproducibility for efficient all-polymer solar cells”的研究论文。在该工作中,作者选择骨架非对称的小分子受体作为结构单元,合成了新型聚合物受体PAY-IT。非对称单体使PAY-IT主链结构实现了无规的效果,从而呈现出理想的温度依赖性聚集行为,这是传统PSMAs中很难观察到的特性。这一特性有助于聚合过程中链的生长,从而获得高分子量和低批次敏感度。此外,非对称单体的“S”构型赋予了PAY-IT良好的平面性和优异的电荷传输性能。因此,基于PM6:PAY-IT的all-PSCs表现出约15%的PCE。更重要的是,三个批次的PAY-IT,其数均分子量在18.3至26.2 kDa之间,获得了几乎一致的PCE(14.4-14.9%),证明了该受体材料优异的批次间重复性。此工作为开发高分子量、低批次差异性的高性能聚合物受体提供了一种新的设计策略。
图1. PAY-IT的化学结构式及特点。
科学材料站
本 文 要 点
要点一:高分子量和温度依赖性聚集特性
通过控制反应时间,作者获得了三个不同批次的PAY-IT,其数均分子量分别为18.3、21.3和 26.2 kDa,相对应的聚合度分别为10、12和14,高于常见的骨架对称的PSMAs。而这种较高的分子量有利于聚合物获得更高的电子迁移率和批次重复性。为了深入理解聚合物的构效关系,作者选择骨架对称的聚合物受体PY-IT作为对照,在结构平面性、分子能级、吸收光谱以及光伏性能等方面进行比较研究。与骨架对称小分子单体的“V”构型相比,合成的骨架非对称小分子单体表现为“S”构型(图2a),由其构筑的聚合物受体PAY-IT拥有更好的平面性,这有利于电荷传输。
相比PY-IT,PAY-IT的最高占据分子轨道(HOMO)和最低未占据分子轨道(LUMO)能级略有降低,分别为–5.76/–3.81 eV(图2b),这主要是PAY-IT的D1A'D2单元比PY-IT结构中DA'D单元更缺电子,使主链骨架拥有更低的电子云密度。由图2c薄膜吸收光谱看出,PAY-IT比PY-IT表现出约35 nm的蓝移,这主要是因为中心核给电子能力下降,从而导致分子内电荷转移(ICT)效应减弱。值得注意的是,PAY-IY的A0-0/A0-1的比值要比PY-IT的小,这表明前者的聚集程度更低一些。通过变温吸收,进一步探究了两个聚合物的聚集倾向的差异(图2d和2e)。随着溶液温度的升高,PAY-IT吸收峰中的A0-0肩峰逐渐消失,表现出明显的解聚过程,这表明PAY-IT的聚集行为对温度变化具有响应性。而PY-IT的吸收峰在提高溶液温度时几乎没有变化。事实上,PAY-IT这种温度依赖聚集特性在常见的PSMAs中很少见。此外,高温下PAY-IT的解聚状态确保了在聚合过程中连续链生长的反应活性,最终使聚合物获得高的分子量。
图2. (a)骨架对称的PSMA(以PY-IT为代表)以及骨架非对称的PSMA(本工作的PAY-IT)的化学结构;PAY-IT、PY-IT以及给体PM6的(b)能级图;(c)薄膜状态下的吸收光谱;在不同温度(25 ℃~95 ℃)下,(d)PAY-IT和(e)PY-IT的溶液状态下的吸收光谱图。
要点二:优异的all-PSCs器件性能
作者选择PM6作为给体,制备了all-PSCs。通过溶剂添加剂(CN)和热退火(TA)的协同作用,基于PM6:PAY-IT的all-PSCs获得了14.9%的PCE,略高于PY-IT。电学性能测试结果表明(图3),相比未处理(as cast)和CN处理的器件,经过CN+TA协同处理的PM6:PAY-IT体系中具有更高的电荷转移效率、更高且更平衡的空穴/电子迁移率以及更低的电荷复合,这也与其更高的短路电流密度(Jsc)和填充因子(FF)相一致。GIWAXS、TEM和AFM测试结果表明,随着CN+TA的协同处理,共混薄膜表现出更紧密的有序的长程堆积、更大的相干长度以及合适的相分离尺寸,这有利于实现高效的激子解离和电荷传输,进一步验证了其优异的器件性能。
图3. 基于PM6:PAY-IT的all-PSCs的器件结构、光伏特性以及电学性能。
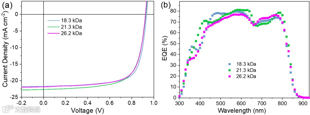
要点三:出色的批次间重复性
为了研究骨架非对称对聚合物批次差异性的影响,作者将三个不同分子量批次的PAY-IT分别用于all-PSCs器件表征,结果如图4所示。基于PAY-IT三个批次的all-PSCs获得了几乎一致的PCE(14.4–14.9%),这证明了PAY-IT具有良好的批次重复性。而这种结果是得益于骨架非对称引起的聚合物主链无规。进一步地,作者通过SCLC测试发现,基于不同批次的PAY-IT,不管是纯膜还是共混薄膜,均表现出几乎一致的电荷传输性能。GIWAXs和TEM测试表明分子量的差异基本不会对PAY-IT纯膜和共混薄膜形貌产生影响。
之后,作者分别从混合热力学和成膜动力学两个角度对BHJ形貌进行探究。通过接触角测试发现,不同分子量的PAY-IT拥有相似的表面能,与PM6的相容性几乎一致。此外,三个批次的PAY-IT在溶液和薄膜状态下均表现出几乎相同的吸收特征峰,表明分子量的变化不会影响聚合物的聚集行为。这种相似的溶解度、适当的聚集度以及与PM6几乎一致的相容性均有助于不同批次的PM6:PAY-IT共混薄膜获得相似的BHJ形貌,从而实现器件性能的可重复性。
图4. 基于不同批次的PAY-IT的all-PSCs的J−V曲线和EQE曲线。
科学材料站
文 章 链 接
An asymmetric polymerized small molecular acceptor with temperature-dependent aggregation and superior batch-to-batch reproducibility for efficient all-polymer solar cells
https://doi.org/10.1016/j.nanoen.2024.109874
科学材料站
通 讯 作 者 简 介
段春晖教授简介:华南理工大学教授,博士生导师。2008年本科毕业于大连理工大学高分子材料与工程专业,2013年12月博士毕业于华南理工大学材料学专业,2014年3月至2017年6月在荷兰埃因霍温理工大学从事博士后研究工作,2017年7月起任华南理工大学教授,入选国家级高层次青年人才项目和广东省“青年珠江学者”。长期致力于有机/高分子光电材料与器件的研究,在有机光伏电池、光探测器的材料设计与器件研究等方面取得了系列创新成果,入选“2023年度全球前2%顶尖科学家榜单”。
至今在Chem、Joule、J. Am. Chem. Soc.、Angew. Chem. Int. Ed.、Adv. Mater. 等顶级学术期刊发表SCI论文130多篇;论文获他人引用7000多次,h因子45,入选ESI高被引论文19篇;共同主编中文专著 1 部、参与撰写英文专著5部;授权发明专利9项。曾获首届教育部学术新人奖、第八届中国青少年科技创新奖,参与获得教育部高等学校科学研究优秀成果一等奖。目前担任中国感光学会光电材料与器件专业委员会副主任委员、国际期刊Energy Materials副主编,是Chinese Chemical Letters(中国化学快报)、Journal of Semiconductors(半导体学报)、Journal of Functional Polymers(功能高分子学报)、Chinese Journal of Lasers(中国激光)等多个学术期刊的青年编委。
添加官方微信 进群交流
SCI二氧化碳互助群
SCI催化材料交流群
SCI钠离子电池交流群
SCI离子交换膜经验交流群
SCI燃料电池交流群
SCI超级电容器交流群
SCI水系锌电池交流群
SCI水电解互助群
SCI气体扩散层经验交流群
备注【姓名-机构-研究方向】
投稿请联系contact@scimaterials.cn
点分享
点赞支持
点在看

