科学材料站
文 章 信 息
第一作者:许铁柱
通讯作者:申来法*
单位:南京航空航天大学
科学材料站
研 究 背 景
人类的生存环境复杂多变,包括极地、高海拔、极寒地区等极端环境,发展适用于极端环境的低温电化学储能系统对于人类活动和相关科学研究是极其重要的。尽管锂离子电池已广泛应用于电动汽车和便携式电子产品,但目前的商用电池在−40 ℃以下低温发生严重的容量衰减。研究人员从电极材料结构设计、电解质成分控制、电极/电解质界面优化等方面改进了低温下储能设备的电化学性能,但电极和电解质中缓慢的本征动力学过程限制了当前储能技术在低于−60 ℃超低温下的应用。在新一代的储能技术中,水系质子电池/赝电容器具有高安全性、高成本效益和环境友好性在电化学储能方面具有显著优势。目前,对质子嵌入型赝电容材料的低温性能研究不足,易燃有机溶剂的引入和电解质粘度的增加导致了严重的安全问题和降低的离子电导率,使得构建低温的质子赝电容器极具挑战性。设计发展具有本征低温特性的电极材料和电解质可以增强低温电化学储能器件性能,推动极寒地区、深海、航空航天等极端环境的深入探索。
科学材料站
文 章 简 介
近日,来自南京航空航天大学的申来法教授在国际期刊Advanced Functional Materials上发表题为“Ultralow-Temperature (≤ −80 ºC) Proton Pseudocapacitor with High Power-Energy Density Enabled by Tailored Proton-Rich Electrolyte and Electrode”的研究文章。该文设计了具有超低冰点(低于−80 ºC)和高电导率(−80 ºC下7.89 mS cm−1)的抗冻富质子电解液,并耦合具有富质子结合位点的框架结构普鲁士蓝电极(VHCF),构建了一种极具前景的超低温质子赝电容器。通过综合表征技术和计算模拟,阐明了氢键诱导的溶剂化结构和物理化学性质。揭示了低温条件下VHCF电极的温度依赖性结构和价态变化,多电子转移反应受到温度控制从而抑制了容量输出。质子赝电容器(VHCF//6 M H2SO4//MoO3-x)在−80~25 ℃的温度范围内具有优异的电化学性能,在−80 ℃的超低温度下具有0~2.8 V的电压窗口和74.9 Wh kg−1的高能量密度。这种富质子电解液-电极设计原理为下一代极端条件电化学储能技术的发展提供了有效策略。
科学材料站
本 文 要 点
要点一:富质子电解液的设计及溶剂化结构和物化性质
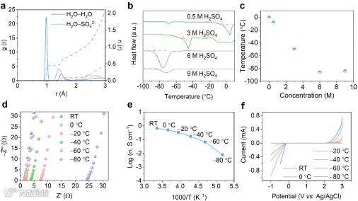
在纯水中,H2O分子间O和H原子的静电作用形成了高强度的氢键网络,导致异常的高凝固点。与盐溶液类似,硫酸溶液中的离子充分电离,并与水分子形成新氢键。随着电解质浓度的增加(富质子电解液),电离的H+和SO42−的浓度急剧增加,促使大量水分子与SO42−形成氢键,降低了水分子的活性。低的凝固点和高的离子电导率理论上可以在富质子电解液中实现。Raman和FTIR测试表明O−H特征峰随着电解液浓度增大发生蓝移,大量水分子和SO42−配位,相应的水分子间的相互作用减弱,即强氢键数量减少,冰晶结构形成更加困难。其中具有富质子溶剂化结构的6 M H2SO4电解液在−40 ºC和−80 ºC下离子电导率分别达到172 mS cm−1和7.89 mS cm−1,实现了低凝固点(低于−80 ºC)和宽电化学窗口(−80 ºC下为−1~3 V)。
图1. 富质子电解液的设计原理和溶剂化结构
图2. 富质子电解液的物理化学表征。
要点二:低温电化学性能
VHCF电极在6 M H2SO4电解液中表现出最高比电容(在2 mV s−1达到470 F g−1)和超高的倍率性能(100 mV s−1下保持2 mV s−1比电容的73%)。工作电位从室温下的0.4 V~1.2 V拓宽至−80 ºC 下的0.4 V~1.8 V,VHCF可以在扩大的电位区间中稳定工作。VHCF在6 MH2SO4电解液中具有卓越的低温性能,在−40 ºC和−80 ºC下仍保持室温容量的77.2%和59.6%,可在−80 °C超低温下稳定循环5000次。
图3. 富质子电解液的低温电化学性能
要点三:低温反应机理
XRD和XPS测试技术分析了室温/低温下的晶体结构和价态变化。低温条件下嵌入电极材料的质子数量减少,对应的晶格体积变化减小,保证了电极材料在低温下的高效稳定运行。Fe2+/Fe3+和V3+/V4+的氧化还原反应在低温下受限,V4+/V5+的可逆转换是低温下的主要反应。结果表明选择适用于低温环境的电极材料具有重要意义,其中多电子反应的电极材料中关键的电子转移过程可能受到限制。
图4. VHCF在6 M H2SO4中的低温反应机理研究
要点四:质子赝电容器的电化学性能
构建了超低温全质子赝电容器(VHCF//6 M H2SO4//MoO3-x),器件电压在−80 ºC下达到了2.8 V。质子赝电容器在−40 ºC和−80 ºC超低温环境中容量分别达到室温下的71%和60%,最大能量密度分别为91.52 Wh kg−1(1.36 kW kg−1和74.9 Wh kg−1(1.41 kW kg−1)。本征低温特性的赝电容电极材料与快速质子传输的电解液的高效协同实现了质子赝电容器在超低温下的优异性能。
图5. VHCF//6 M H2SO4//MoO3-x质子赝电容器的电化学性能
科学材料站
文 章 链 接
Ultralow-Temperature (≤ −80 ºC) Proton Pseudocapacitor with High Power-Energy Density Enabled by Tailored Proton-Rich Electrolyte and Electrode
https://onlinelibrary.wiley.com/doi/epdf/10.1002/adfm.202408465
科学材料站
通 讯 作 者 简 介
申来法、教授/博导,江苏省高效储能材料与技术重点实验室副主任。南京航空航天大学和美国华盛顿大学联合培养博士,德国马克斯·普朗克固体研究所(Max Planck Institute for Solid State Research) 博士后、洪堡学者研究员。入选国家高层次青年人才,江苏省特聘教授;从事高功率电源材料与器件及在航空航天领域应用的研究,包括储能材料的设计制备,极端环境下离子输运与存储机理、极端环境下化学电源的特性。主持国家自然科学基金、某领域重点基金、江苏省创新支撑计划项目、航空科学基金等;以第一/通讯作者在Nature Energy、Nature Communications、Advanced Materials、Angew. Chem. Int. Ed.、Advanced Energy Materials、Advanced Functional Materials、Nano Letters等国际著名期刊发表多篇论文,多篇论文入选ESI高被引论文,H-index 64。
添加官方微信 进群交流
SCI二氧化碳互助群
SCI催化材料交流群
SCI钠离子电池交流群
SCI离子交换膜经验交流群
SCI燃料电池交流群
SCI超级电容器交流群
SCI水系锌电池交流群
SCI水电解互助群
SCI气体扩散层经验交流群
备注【姓名-机构-研究方向】
投稿请联系contact@scimaterials.cn
点分享
点赞支持
点在看

