文 章 信 息
近日,阿卜杜拉国王科技大学Frédéric Laquai教授团队与中国科学院重庆绿色智能技术研究院肖泽云研究员团队合作提出了一种简单而有效的固体添加剂诱导的预聚集控制方法,采用2-氯-5-碘吡啶(PDCI)进一步释放Y系列非富勒烯受体潜力,以实现有机太阳能电池的效率突破。研究成果以题为“Insights into Pre-aggregation Control of Y-series Non-fullerene Acceptors in Liquid State for Highly Efficient Binary Organic Solar Cells”发表在国际著名期刊Advanced Materials上,DOI:10.1002/adma.202402833。
成 果 简 介
本工作报告了一种简单而有效的固体添加剂诱导预聚集控制方法,采用PDCI来进一步释放Y系列非富勒烯受体的潜力。具体而言,PDCI主要与Y系列非富勒烯受体相互作用,在溶液中实现增强且有序的相聚集。这种方法在薄膜形成过程中显著改善了受体相的吸收并红移,同时提高了结晶度。此外,PDCI诱导的NFA预聚集在溶液中通过精细的中间态转变,能够在薄膜形成过程中实现有序的分子排列。因此,PDCI诱导的预聚集将PM6:Y6 体系的效率从16.12%显著提高到18.12%,并在PM6:eC9系统中实现了19.02%的高效率值。此外,我们提供了详细的预聚集调控数据,如采用冷冻电镜(Cryo-TEM)和温度依赖的PL测量证明PDCI诱导的预聚集控制方法促进了Y系列非富勒烯受体在溶液中的有序相聚集,并通过原位紫外-可见吸收光谱证明在薄膜形成过程中受体相的吸收红移和结晶度的提高。此外,我们还通过快速光谱、形貌表征和计算模拟系统阐明了PDCI诱导预聚集控制方法的工作机制,从而为开发高效有机太阳能电池提供了新思路。
图 文 解 读
图1. (a) PM6, Y6和 PDCI的分子结构;(b) ITO, PEDOT:PSS, PM6, Y6, PNDIT-F3N, 和Ag的能级;控制器件和PDCI处理器件的(d) J-V, (c) EQE , 和 (e) 效率分布曲线;(f) 近几年,二元PM6:Y6体系的PCE与JSC和 FF 的发展图谱。
图2. (a) PM6, Y6, PDCI的静电势分布和PM6:Y6, PM6:Y6+PDCI的结合能;氯仿溶液中温度依赖的PL曲线:(b) Y6 和 (c) Y6+PDCI;冷冻电镜:(d) 控制和 (e) PDCI处理的混合膜;(f) PDCI处理对PM6:Y6共混物形貌的影响示意图。
图3.分子动力学模拟得到的最终分子状态图:(a) PM6:Y6,(b) PM6:Y6+PDCI 和(c) PM6:Y6 (去除PDCI);(d) 对照和(e) PDCI处理混合薄膜原位吸收;(f)对照组和PDCI处理混合薄膜的吸收系数;(g) 对照组和(h) PDCI处理混合薄膜的三维时间分辨荧光光谱;(i) 在峰值荧光位置跟踪Y6纯膜和对照及PDCI处理样品的混合薄膜的TRPL动力学。
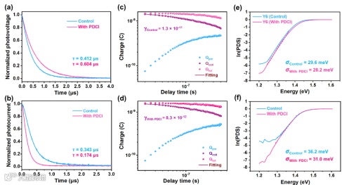
图4.对照和PDCI处理器件:(a)瞬态光电压和(b) 瞬态光电流;(c)和(d)分别展示了对照和PDCI处理器件的时间延迟电荷收集图谱;(e)和(f)展示了对照和PDCI处理混合薄膜的光热偏转光谱。
图5. (a) Y6,(b) PDCI处理的Y6纯膜,(e) 对照组和 (f) PDCI处理的混合薄膜的AFM高度图;(c) Y6,(d) PDCI处理的Y6纯膜,(g) 对照组和 (h) PDCI处理的混合薄膜的AFM相位图;(i) Y6,(j) PDCI处理的Y6纯膜,(k) 对照组和 (l) PDCI处理的混合薄膜的二维GIWAXS图;(m) 相应二维GIWAXS数据(混合薄膜)的面外线曲线和(n) GISAXS曲线。
图 6. (a) 聚合物给体的非富勒烯受体的结构图;(b) 对照和PDCI处理的器件效率分布图;对照和PDCI处理的PM6:eC9有机太阳能电池:(c) J-V 和 (d) EQE曲线。
总 结
我们成功展示了一种简单但高效的PDCI诱导预聚集方法,用于控制溶液中Y系列受体的预聚集。该方法显著提高了有机太阳能电池的光电转换效率,将PM6:Y6体系效率从16.12%提升到18.12%,在PM6:eC9体系中实现了19.02%的高效率值。我们的研究表明,PDCI诱导的预聚集导致以下结果:i)Y系列NFA在液态中的更强相聚集,在薄膜形成过程中增强了受体相的吸收和结晶性,提升了短路电流密度;ii)Y系列NFA在溶液中的更有序相聚集,导致分子排列更有序和相分离更适宜,减少了能量无序和双分子复合,从而提高了填充因子。这些发现表明基于Y系列非富勒烯受体的有机太阳能电池预聚集调控的重要性,提供了一条进一步提升器件效率的途径。
作 者 简 介
胡定琴博士简介:2015年本科毕业于四川大学材料学院,博士师从重庆大学中科大重庆学院陆仕荣研究员,期间就职于中国科学院重庆绿色智能技术研究院,目前在香港城市大学机械工程学系开展博士后工作(合作导师:LEE-Duu Jong)。长期从事有机光电器件及物理机制的研究,至今已发表论文30余篇,以(共同)一作/通讯作者在国际权威期刊Joule,Adv. Mater.,Energy Environ. Sci.等发表论文多篇,其中包括3篇高被引论文和1篇热点论文,主持国家和重庆市科研项目各一项。
唐骅博士简介:沙特阿卜杜拉国王科技大学博士后研究员,德国洪堡学者,DeCarbon Young Scholar。2014年毕业于美国斯蒂文斯理工学院,获得理学硕士学位;2021年毕业于中国科学院大学(培养单位:中国科学院重庆绿色智能技术研究院和香港理工大学),获得工学博士学位。长期从事基于有机太阳能电池的高通量制备配方研发、器件物理机制及衰减机制的研究,拥有超过3年的战略咨询和产业化经验,至今已发表学术论文近40篇,其中以(共同)第一作者或通讯作者身份在国际顶级权威期刊如Mater. Today, Energy Environ. Sci., Adv. Mater., Adv.Energy Mater., Adv.Funct.Mater., InfoMat, Matter和Adv. Sci.等发表论文10余篇,H因子21。
Frédéric Laquai教授简介:沙特阿卜杜拉国王科技大学应用物理学教授兼KAUST太阳能中心临时主任,先后在德国美因茨马克斯·普朗克高分子研究所和英国剑桥大学卡文迪许实验室开展研究工作,曾获德国总理颁发的杰出科学成就奖,美因茨科学院和文学学院颁发的Walter Kalkhof-Rose科学奖等。长期从事基于第三代光伏电池的器件物理/光物理机制研究,至今已发表学术论文300余篇,包括国际顶级权威期刊如Science, Nature, Nat. Mater., Nat. Energy, Energy Environ. Sci., Adv. Mater.等,H因子65。
肖泽云研究员简介:肖泽云,博士,中国科学院重庆绿色智能技术研究院薄膜太阳能中心主任。先后在浙江大学,中国科学院上海有机化学研究所,瑞典隆德大学,澳大利亚墨尔本大学学习和开展研究工作。长期从事有机/高分子/超分子功能材料及光电器件的研究,发表论文100篇,包括Joule,Nature Commun.,Sci. Adv., Energy Environ. Sci., Adv. Mater.等,主持中国科学院人才项目,重庆市人才项目,国家自然科学基金,重庆市基金,重庆留学人员回国创新创业,澳大利亚墨尔本大学Early Career Researcher Grant等项目。
添加官方微信 进群交流
SCI二氧化碳互助群
SCI催化材料交流群
SCI钠离子电池交流群
SCI离子交换膜经验交流群
SCI燃料电池交流群
SCI超级电容器交流群
SCI水系锌电池交流群
SCI水电解互助群
SCI气体扩散层经验交流群
备注【姓名-机构-研究方向】
投稿请联系contact@scimaterials.cn
点分享
点赞支持
点在看

