科学材料站
文 章 信 息
打破金属硫族催化剂的析氧限制,实现可见光驱动的光催化全解水
第一作者:赵而玲
通讯作者:凌涛,彭振,Chia-Hsin Wang
通讯单位:天津大学
科学材料站
研 究 背 景
金属硫族化合物是一种有前景的可见光吸收半导体,具有优异的光电性能和可调的能带结构,有望提高光催化全解水效率。然而,它们在光催化中的应用受到析氧反应(OER)动力学缓慢和严重光腐蚀的阻碍。这些关键问题与光生空穴的行为有关,难以参与OER反应的光生空穴会氧化催化剂本身,加重催化剂的光腐蚀问题。本工作通过微观动力学分析表明高反应势垒和光催化剂表面的低浓度空穴是造成OER动力学瓶颈的关键。本工作通过在ZnSe催化剂上创建p型表面态,打破了其在全解水方面的光催化OER限制。这项工作中获得的理论和实验结果为金属硫族化合物的OER提供了突破性的见解,并为未来设计用于全解水的光催化剂提供了明确的指导。
科学材料站
文 章 简 介
近日,天津大学凌涛、江苏大学彭振和中国台湾同步辐射研究中心Chia-Hsin Wang教授合作,在国际知名期刊ACS Catalysis上发表题为“Breaking Oxygen Evolution Limits on Metal Chalcogenide Photocatalysts for Visible-Light-Driven Overall Water-Splitting”的观点文章。该观点文章通过详尽的实验和微观动力学分析了限制光催化OER反应速率的关键因素,同时系统的讨论了催化剂表面的光生空穴的浓度与OER反应速率及催化剂的光腐蚀性之间的关系。
图1. 微观动力学模拟及理论和实验分析光生空穴浓度对OER反应速率及产物影响
科学材料站
本 文 要 点
要点一:光催化OER理论研究
首先通过密度泛函理论计算和微观动力学研究了ZnSe催化剂表面上OER机制,并确定其速率决定步骤(O-O耦合),结果表明高反应能垒(Ea)和催化剂表面的低空穴浓度(Ch+)是限制OER反应动力学两大关键因素。这一发现解决了之前实验观察中的谜团,即单独引入OER助催化剂来降低Ea并不能显著促进金属硫族化合物光催化剂上的OER过程。此外,金属空位已被确定为半导体中空穴的捕获位点。因此,构造Znv有望同时降低Ea并增加Ch+,以促进ZnSe上的OER。
图2. ZnSe光催化OER机理的理论研究。
要点二:p型表面态的ZnSe催化剂的合成与表征。
受上述理论发现的启发,通过离子交换法制备了ZnSe纳米线,并在NaOH中处理不同时间以产生Znv。通过电子顺磁共振(EPR)光谱、紫外-可见(UV-Vis)、球差电镜和光致发光(PL)光谱证实了表面Znv的存在。此外,进一步通过模特-肖特基曲线、霍尔效应和场效应晶体管证实了Znv的表面层从n型转变为p型。EPR测试证实了p型表面态有利于提高光生空穴的浓度。
图3. ZnSe-Znv纳米线的空穴数和电子性能的测量
要点三:p型层显著提高ZnSe光催化全解水性能
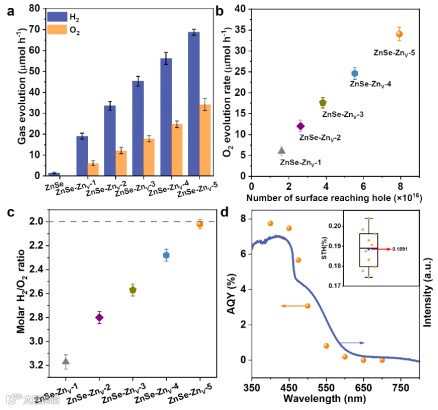
我们评估了ZnSe纳米线在无任何助催化剂的纯水中的全解水性能。最佳催化剂ZnSe-Znv-5纳米线的H2和O2产率分别为68.7 mol h-1和34.1 mol h-1,优于最近报道的大多数金属硫族化物光催化剂。此外发现ZnSe-Znv纳米线上产生的O2量随着到达光催化剂表面的空穴数的增加而增加。这些实验结果与计算结果吻合,即高Ea和低Ch+确实是ZnSe上OER反应的瓶颈。此外,ZnSe-Znv纳米线上的H2/O2摩尔比随着Znv浓度的增加而降低,最佳催化剂ZnSe-Znv-5纳米线的H2/O2摩尔比~2。
图4. ZnSe和ZnSe-Znv纳米线光催化全解水性能
要点四:ZnSe-Znv纳米线的稳定性评估
金属硫族化物光催化剂在全解水中面临的另一个关键挑战是空穴介导的光腐蚀问题。在本工作中,空穴在OER中的有利参与有望从根本上抑制关键的空穴介导光腐蚀。原位XPS测试结果表明,原始ZnSe光催化剂的Se 3d光谱随着反应的进行,逐渐出现了Se0氧化峰,而ZnSe-Znv-5纳米线的Se 3d XPS光谱几乎没有变化,证实了其有效的抑制了光腐蚀问题。
图5. ZnSe和ZnSe-Znv纳米线光催化全解水过程中的稳定性测试
科学材料站
文 章 链 接
Breaking Oxygen Evolution Limits on Metal Chalcogenide Photocatalysts for Visible-Light-Driven Overall Water-Splitting
https://doi.org/10.1021/acscatal.4c04444
科学材料站
通 讯 作 者 简 介
凌涛教授简介:天津大学材料学院教授。2009年于清华大学材料科学与工程系获得博士学位,2009年10月起就职于天津大学。2017年入选国家自然科学基金优秀青年基金,2019年入选天津市自然科学基金杰出青年基金。开发气相离子交换、热力学控制和外延生长等方法,解决高活性过渡族金属、负载型贵金属及氧化物催化剂三维表面原子结构;利用理论计算结合实验的方法揭示催化剂表面原子结构与性能的关系,获得多种稳定高效的能源新材料。以第一/通讯作者在Nature Energy、PNAS、Nature Communications (3篇)、Science Advances、Advanced Materials (7篇)、Angewandte International Edition、Nano Letters、Advanced Functional Materials、Advanced Science、Nano Energy等期刊发表论文50多篇。
课题组主页:http://mse.tju.edu.cn/info/1144/1499.htm
科学材料站
第 一 作 者 简 介
赵而玲简介:天津大学材料科学与工程学院博士研究生。从事半导体纳米材料的合成及其光/电催化特性研究。以第一作者在Advanced Science、Green Chemistry、Nano research等发表SCI学术论文5篇;参与发表SCI论文10余篇。
添加官方微信 进群交流
SCI二氧化碳互助群
SCI催化材料交流群
SCI钠离子电池交流群
SCI离子交换膜经验交流群
SCI燃料电池交流群
SCI超级电容器交流群
SCI水系锌电池交流群
SCI水电解互助群
SCI气体扩散层经验交流群
备注【姓名-机构-研究方向】
投稿请联系contact@scimaterials.cn
点分享
点赞支持
点在看

