科学材料站
文 章 信 息
“法拉第笼”诱导阴离子限域界面助力产业兼容的微米硅负极
第一作者:赵子云,张景硕,时家伟
通讯作者:田芸*,吴士超*,杨全红*
科学材料站
研 究 背 景
阴离子衍生的富无机固体电解质界面相(SEI)为阳极提供了非常理想的保护,然而,由于在充电电场下自由阴离子从阳极上电迁移,在商业电解质中很难形成这种保护。高浓度电解质能够解决这一问题,但在经济上不切实际。在这里,我们开创了一种工业兼容的方法,即通过设计一个表面“法拉第笼”,集成聚合物基体与弱解离盐,从而屏蔽电场。在微米硅颗粒表面产生阴离子限域界面,该界面提供了一个可持续的富含阴离子的微环境,促进阴离子参与Li+溶剂化鞘,保证更多的阴离子还原到富含无机的SEI,这种方法为商用电池的SEI创新提供了一种简单而实用的解决方案。
科学材料站
文 章 简 介
近日,来自天津大学的杨全红、吴士超教授与郑州大学的田芸副教授合作,在国际知名期刊ACS Energy Letters上发表题为“Faraday Cage” Induced Anion-Confined Interface Enables Industrially Compatible Microsized Silicon Anodes”的文章。该文章分析了锂离子电池的商用碳酸酯类电解液中的阴离子在外加电场驱动下的电迁移现象,并发展了与工业兼容的“法拉第笼”来屏蔽电迁移现象,成功在微米硅负极表面构筑了无机物为主的SEI层,有效改善了微米硅负极的极片完整性和电化学性能。该阴离子限域策略将为目前商用电池装配提供新范例。
科学材料站
本 文 要 点
要点一:常规电解液的电迁移现象和表面“法拉第笼”设计
坚固的SEI在实现微米硅负极的长期电化学可逆性方面起着至关重要的作用。致密的无机物成分作为SEI中的重要组成,一般由电极/电解质界面的阴离子分解产生。高浓(或局部高浓)电解液通过直接增加盐浓度进而提高了盐阴离子参与溶剂化鞘层和界面反应的机会,进而有利于产生无机为主的SEI。然而,粘度增加和离子电导率降低的高浓电解液对倍率性能不利,高昂的成本也不利于商业化生产。而在常规商业电解质中,在充电过程中,Li+溶剂化团簇沿着外加电场的方向迁移,自由的PF6-阴离子远离Si负极,导致无阴离子的负极/电解质界面(Si@AFI),导致溶剂主要分解产生有机为主的SEI层,增加界面电阻。在商业电解质中实现阴离子衍生的SEI是非常令人垂涎的。
受法拉第笼的启发,我们提出了一种由商业可得的聚合物基体和弱解离的四氟硼酸钙(Ca(BF4)2)盐组成的表面“法拉第笼”。多价Ca2+阳离子通过Ca2+┈COO-交联固定在聚合物基体上,并通过静电相互作用转向BF4-阴离子捕集器,在Si阳极上产生阴离子限制界面(Si@ACI),以克服阴离子的电迁移行为。当溶剂化的Li+接近“法拉第笼”时,受限的BF4-阴离子参与Li+第一溶剂化鞘层,弱解离盐解离平衡内部电场,有效抵消外加电场。因此,形成了一个富含无机的弹性SEI层,其强度足以减轻电解质的持续消耗。
图1. 商用电解液中离子的电迁移现象及表面“法拉第笼”设计
图2 分子动力学模拟揭示常规电解液中的电迁移现象及表面“法拉第笼”的阴离子限域作用
要点二:钝化良好且高电导的SEI
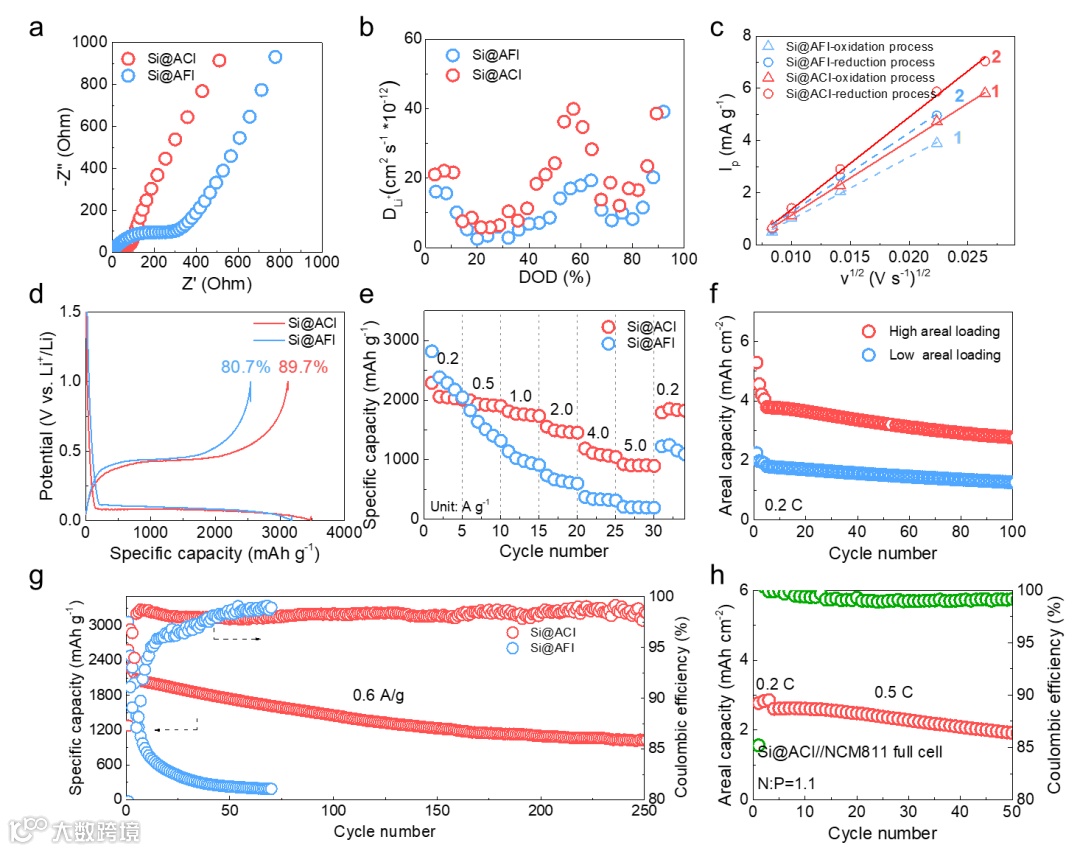
“法拉第笼”诱导的SEI仍呈无机/有机杂化结构,另有CaF2, B-O,B-F等无机组分,其中,致密、较薄的CaF2组分能保护硅颗粒免于电解液的侵蚀,有利于硅颗粒保持形貌完整;结晶度较差的无机B-O物质赋予SEI良好的柔韧性和电导性。因此“法拉第笼”显著抑制了SEI的过度生长,并促进了负极的结构完整和电子传导。
钝化良好且高电导的SEI层显著改善了微米硅负极的电化学性能。可逆性容量为3119 mAh g-1,首次库伦效率达到89.7%,比Si@AFI高近10%。Si@ACI阳极中的CE快速上升(4个循环后达到99%)意味着SEI形成稳定,电解质的副反应受到抑制。此外,在0.2、0.5、1.0、2.0、4.0和5.0 A g-1的速率下,Si@ACI的容量更高且更稳定。在0.6 A g-1下进行250次循环后,可逆容量超过1000 mAh g-1。优异的循环稳定性不仅可以在低面积负载下实现,也可以在高面积负载下实现(激活后3次循环,4 mAh cm-2), Si@ACI阳极在100次循环后的可逆面积容量为2.78 mAh cm-2。
图3. 钝化良好且高电导的无机为主的SEI成分与形貌分析
图4. 无机SEI助力微米硅负极良好的电化学性能
科学材料站
文 章 链 接
“Faraday Cage” Induced Anion-Confined Interface Enables Industrially Compatible Microsized Silicon Anodes
https://pubs.acs.org/doi/10.1021/acsenergylett.4c01517
科学材料站
通 讯 作 者 简 介
田芸副教授简介:郑州大学化工学院副教授,主要从事密度泛函理论,分子动力学模拟,蒙特卡洛模拟和机器学习等方法进行针对吸附、扩散、分离、催化等化工过程的多尺度建模和计算,主持多项科研项目。
吴士超教授简介:天津大学化工学院英才教授,博士生导师,国家高层次海外青年人才计划项目入选者,天津大学北洋青年学者。主要从事锂离子电池、金属空气电池和固态电池的研究和应用开发,聚焦“多场耦合催化”和“界面自修复”取得系列进展。在Nat. Commun.、Energy Environ. Sci.、Angew. Chem. Int. Ed.、Adv. Mater.、Adv. Energy Mater.等国际著名期刊发表论文50余篇。研究成果被Nature Energy等专文报道,被 Science、Nature、Chemical Reviews 等高水平期刊引用 4000 余次。承担国家自然科学基金联合重点项目、中国工程科技发展重大咨询研究和国家科技部重点研发子课题等项目。
杨全红教授简介:天津大学化工学院北洋讲席教授、博士生导师。第十四届全国政协委员、天津市欧美同学会副会长、天津市五一劳动奖章获得者。国家杰青、长江学者、万人领军,国家重点研发计划首席科学家、天津市有突出贡献专家、天津市科普大使,“科睿唯安”全球高被引学者和“爱思唯尔” 中国高被引学者。从事碳功能材料、先进电池、储能技术和双碳战略研究,获国家技术发明二等奖、天津市自然科学一等奖等奖项。担任《Energy Storage Materials》、《Industrial Chemistry & Materials》和《Energy Materials & Devices》等多份期刊副主编,《Advanced Energy Materials》、《National Science Review》、《Carbon》和《中国科学-材料》、《新型炭材料》、《电化学》、《储能科学与技术》等10余份刊物编辑组成员或编委。出版《石墨烯:化学剥离与组装》、《石墨烯电化学储能技术》、《动力电池技术创新及产业发展战略》等三本专著;发表SCI论文300余篇,他人引用43,000余次,H因子112;拥有中国和国际授权发明专利60余件。担任多家电池头部企业技术委员会委员、中国超级电容器产业技术联盟副理事长等行业兼职。
课题组网页:先进碳与能源材料实验室 (tju.edu.cn)
科学材料站
第 一 作 者 简 介
赵子云博士简介:2018年本科毕业于四川大学,2024年博士毕业于天津大学,主要从事锂离子电池硅基负极结构、界面设计和粘结剂改性。以第一作者在国际著名期刊ACS Energy Letters, Advanced Energy Materials发表论文4篇,授权国家发明专利1件,与华为科技有限公司合作申请1项国家发明专利。参与出版《动力电池技术创新及产业发展战略》专著。获得天津大学优博基金项目资助、国家奖学金、全国大学生化工设计竞赛全国特等奖、优秀毕业生等荣誉30余项。
添加官方微信 进群交流
SCI二氧化碳互助群
SCI催化材料交流群
SCI钠离子电池交流群
SCI离子交换膜经验交流群
SCI燃料电池交流群
SCI超级电容器交流群
SCI水系锌电池交流群
SCI水电解互助群
SCI气体扩散层经验交流群
备注【姓名-机构-研究方向】
投稿请联系contact@scimaterials.cn
点分享
点赞支持
点在看

