科学材料站
文 章 信 息
埋底界面工程的靶向修复助力实现效率为25 %的反式钙钛矿太阳能电池
第一作者:周贤勇
通讯作者:刘畅*,王行柱*,徐保民*
单位:南华大学,南方科技大学
科学材料站
研 究 背 景
埋底界面对于实现高效稳定的钙钛矿太阳能电池(PSC)至关重要。然而,由于其非暴露特性,研究和优化埋底界面仍然是一个具有挑战性的问题。在这个工作中,作者提出了一种简单有效的分子靶向策略,通过多功能分子(DTD)来调节NiOx/钙钛矿埋底界面,从而有效钝化钙钛矿中的埋底缺陷以及调节钙钛矿晶体的生长。DTD具有多功能靶向基团,使其能够同时与钙钛矿和NiOx发生强烈相互作用,从而在NiOx/钙钛矿埋底界面上建立分子桥,实现高质量的上层钙钛矿薄膜、优异的界面接触和钙钛矿与NiOx之间更匹配的能级。最终,DTD的修饰显著提高了钙钛矿器件的效率,从22.19 %提高到25.00 %(认证值为24.12%),修饰器件同时具有优异的长期和操作稳定性。该策略为钙钛矿太阳能电池中的埋底界面提供了一种简单有效的靶向修复,实现了高效率和稳定性。
科学材料站
文 章 简 介
近日,南华大学刘畅教授、王行柱教授与南方科技大学徐保民教授合作,通过多功能分子对NiOx/钙钛矿埋底界面进行修复,实现效率为25.00 %的反式钙钛矿太阳能电池。相关工作以“Target therapy on buried interface engineering enables stable inverted perovskite solar cells with 25 % power conversion efficiency” 为题发表在国际知名期刊Nano Energy上。
科学材料站
本 文 要 点
要点一:经DTD修饰的NiOx薄膜表征
图1 (a) 器件结构;(b) 钙钛矿与经DTD修饰的NiOx之间能级分布;(c) and (d) NiOx修饰前后的UPS表征;(e) DTD分子的静电势;(f) DTD分子与钙钛矿之间电荷密度分布
图2 XPS (a) Ni2p; (b) S2p;(c) N1s;(d) I3d;(e) Pb4f; (f) FT-IR
作者使用了一种多功能分子(DTD),将其应用到NiOx空穴传输层表面修饰,以改善NiOx形貌和功函数,并促进了NiOx和钙钛矿之间的相互作用,如图1所示。此外,理论计算结果表明DTD不仅可以可有效钝化钙钛矿中的埋底缺陷并调节钙钛矿晶体的生长。DTD分子中的多功能靶基团(多个氨基和亚砜基团)可以同时与NiOx中的镍离子和钙钛矿中的铅离子相互作用,如图2所示。这种双重效应促进了DTD分子在NiOx和钙钛矿之间的有序垂直排列,提高了空穴传输层中的空穴提取效率,并为钙钛矿的均匀成核提供了新的活性位点,这有利于抑制钙钛矿中的埋底缺陷和调节NiOx的能级。
要点二:基于DTD修饰的NiOx上的钙钛矿薄膜表征
作者对比了DTD修饰NiOx前后的钙钛矿薄膜结晶质量,如图3所示。沉积于纯NiOx上的标准钙钛矿薄膜的晶粒尺寸较小,易产生大量缺陷,而沉积于DTD修饰NiOx上的钙钛矿薄膜拥有更大的晶粒尺寸,其结晶质量明显得到改善。钙钛矿晶粒尺寸的增大以及晶界数的减小意味着钙钛矿薄膜缺陷减少,这将有效抑制钙钛矿器件中电荷载流子复合。
图3 钙钛矿薄膜的扫描电镜图:(a) Perovskite/NiOx;(b) Perovskite/DTD/NiOx;(c) XRD;(d) and (e) GIWAXS; (f)PL
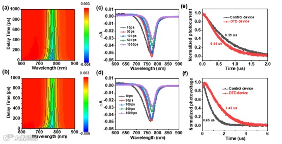
飞秒瞬态吸收(fs-TA)光谱和TPC/TPV结果都表明沉积在DTD修饰的NiOx上的钙钛矿层中光生空穴的电荷提取速率增加,如图4所示。因此,快速有效的空穴提取有助于抑制电荷复合,最终提高器件的光电转换效率。
图4 钙钛矿薄膜和器件表征:(a)、 (b) 、(c)、 (d) fs-TA;(e) TPC;(f) TPV
要点三:器件光伏性能与稳定性
作者基于上述不同空穴传输层制备钙钛矿器件,并对其光电性能进行分析,如图5所示。基于纯NiOx的钙钛矿器件的最高光电转换效率为22.19 %,其对应的短路电流密度为24.25 mA/cm2,开路电压为1.124 V,填充因子为81.40 %。而经DTD修饰的NiOx的钙钛矿电池效率达到25.00 %,其对应的短路电流密度为24.81 mA/cm2,开路电压为1.176V,填充因子为85.69 %。
图5 器件的光伏性能:(a) 器件结构;(b) 不同器件J-V效率;(c) 器件的正反扫J-V曲线;(d) 器件稳态输出电流和效率;(e) EQE;(f) 效率统计分布;(g)器件的环境稳定性;(h)器件的长期运行稳定性
此外,作者对比了标准器件与DTD修饰器件的环境稳定性, 如图5所示。作者将未封装的钙钛矿器件在空气中放置(室温,相对湿度为30-40 %)1000 小时后, 标准器件性能变为初始值的64 %,而DTD修饰器件在同等条件下,其性能依然维持了初始值的94%。DTD修饰器件环境稳定性的提高主要是因为通过DTD修复了NiOx/钙钛矿之间埋底缺陷,实现了更大晶粒尺寸,进而改善了钙钛矿薄膜的结晶质量,大幅度减少了钙钛矿晶界缺陷,有助于阻止氧和水扩散到钙钛矿薄膜中。另外,作者追踪了DTD修饰器件在最大功率点的长期光照稳定性,在充满氮气的试验箱中,室温下使用白色LED灯(100 mW cm−2)连续照明2000小时后,未封装的修饰器件仍保持了初始效率的90%。这项工作对钙钛矿太阳能电池的效率和稳定性同时提升提供了一项有效策略。
科学材料站
文 章 链 接
“Target therapy on buried interface engineering enables stable inverted perovskite solar cells with 25 % power conversion efficiency”
https://doi.org/10.1016/j.nanoen.2024.110170
科学材料站
作 者 简 介
周贤勇,南华大学电气工程学院校聘教授,硕士生导师,博士毕业于南方科技大学(导师:徐保民教授),主要研究方向为钙钛矿太阳能电池材料和器件结构及制备方法优化,目前已在国际高水平期刊发表SCI论文30余篇,被引1450余次,H-Index 22,其中以第一作者和共同第一作者在影响因子>10的国际高水平学术期刊发表论文13篇,包括Energy & Environmental Science,Advanced Materials(2篇),Nano Energy (4篇),ACS Nano, Journal of Materials Chemistry A (3篇),Energy & Environmental Materials,Chemical Engineering Journal等。主持国家自然科学基金项目1项,参与国家自然科学基金面上项目、广东省联合基金重点项目及湖南省教育厅重点项目各1项。已申请发明专利7项。
刘畅,南华大学教授,博导,创新创业教育与实践学院院长,长期致力于钙钛矿太阳能电池的柔性化制备及表界面调控研究。2022年获湖南省湖湘青年科技创新人才称号,担任 “碳中和新能源光伏与光储一体化技术” 湖南省工程研究中心副主任,南华大学 “清洁能源高效利用和可持续发展” 实验室主任。近5年主持包括国家科技部重点研发计划政府间国际科技创新合作课题1项、国家自然科学基金面上项目和青年项目在内的6项国家级及省部级项目。在Energy & Environmental Science、Advanced Materials、Advanced Energy Materials, Advanced Functional Materials, Science Bulletin等领域高水平期刊发表SCI论文70余篇,被引3600余次,h指数33。已申请/授权专利15项,专利作价入股1项159.44万,转让专利20万,获深圳市自然科学二等奖(2/5)。已创立了湖南畅睿新能源有限公司,主要从事柔性钙钛矿太阳能薄膜电池的研发和生产,正在建设100MW规模的中试线。
王行柱,南华大学教授,博导,国家特聘专家,湖南省科技创新领军人才,湖南省杰出青年基金获得者,香港浸会大学博士,剑桥大学博士后。2011-2017年,新加坡国立大学研究员/高级研究员,2018年回南方科技大学工作,2023年作为高层次领军类人才引进南华大学。长期从事光电子材料与器件方面的研究工作,在太阳能电池材料和电子器件领域做出一系列原创新性质的工作,研究成果曾获国家自然科学二等奖和教育部优秀成果自然科学一等奖。作为项目负责人主持科技部重点研发计划项目1项,国家自然科学基金项目4项,广东省和深圳市科技项目5项。作为核心成员参与香港科技局、英国和新加坡政府科技重大科技项目十余项,经费超1亿人民币;在国际专业类著名期刊Science, Nature Materials, J. Am. Chem.Soc., Adv. Mater., Chem. Sci., ACS Energy Letters, Adv. Eng. Mater., Adv. Fun. Mater., 等杂志发表学术论文150余篇,被同行引用4000多次;申请发明和实用新型专利 50 余项,并获得授权15项国家专利,多次在国际、国内学术会议上做口头报告。任南华大学学报,国外学术期刊, 国际刊物Nano-Micro Letters, DeCarbon, Model Chemisry, Journal of Material Science and Technology Research等杂志编委。
徐保民,南方科技大学讲席教授,博导,国家特聘专家。1986年获清华大学学士学位,1991年在中国科学院上海硅酸盐研究所获博士学位,1994年至1996年在美国宾州州立大学材料研究所做博士后,之后任助理研究教授,2000年11月至2014年3月在位于美国硅谷的施乐公司PARC研究中心(Palo Alto Research Center)担任高级科学家和项目主管,2014年3月被南方科技大学聘为全职讲席教授,之后并入选为深圳市引进海外高层次人才“孔雀计划”A类人才。徐保民教授长期致力于新型清洁能源材料和器件,功能材料及微机电系统用材料和器件,新型材料制备技术等方面的研究;在国际顶级期刊Science, Nature, Energy & Environmental Science, Adv. Mater., ACS Energy Letters, Adv. Eng. Mater., Adv. Fun. Mater., 等杂志发表学术论文 200余篇,获得授权美国发明专利32项,其中23项专利为第一或唯一发明人,3项专利获施乐公司最佳专利奖;获授权中国发明专利11项,实用新型专利2项。主要承担项目:作为项目主持人获批国家科技部 “十四五” 重点研发计划项目1项、国家科技部 “十三五” 重点研发计划课题1项、国家自然科学基金联合基金重点项目1项、广东省自然科学基金重点项目1项、深圳市科创委孔雀团队项目1项、深圳市科创委基础研究重点项目2项、深圳市发改委工程中心项目1项;科研成果曾获得深圳市自然科学二等奖。
添加官方微信 进群交流
SCI二氧化碳互助群
SCI催化材料交流群
SCI钠离子电池交流群
SCI离子交换膜经验交流群
SCI燃料电池交流群
SCI超级电容器交流群
SCI水系锌电池交流群
SCI水电解互助群
SCI气体扩散层经验交流群
备注【姓名-机构-研究方向】
投稿请联系contact@scimaterials.cn
点分享
点赞支持
点在看

