科学材料站
文 章 信 息
一步磷化自组装技术构建纳米FeP@C分散锚定MXene片层结构
第一作者:李兆麟,张宇
通讯作者:赵海雷*
单位:北京科技大学
科学材料站
研 究 背 景
磷化铁(FeP)材料因具有高理论比容量、适中工作电压和丰富自然资源等优点,被认为极具竞争力的下一代锂/钠离子电池候选负极材料之一。然而,作为转换型反应机理的负极材料,FeP在电池充放电过程中伴随着较大的体积膨胀,容易导致材料粉化和电极失效,因此材料的循环性能较差;此外,当前FeP/C材料大多通过磷化氢(PH3)气体与Fe(Fe2O3)/C复合材料发生磷化反应获得,磷化过程中Fe(Fe2O3)颗粒产生100~200%的体积膨胀,不仅容易使FeP颗粒发生团聚,还容易导致FeP/C界面产生结构应力,甚至碳包覆层破裂进而使FeP失去电接触,循环性能衰减。近年来,通过纳米化、结构设计、碳复合等策略提高FeP材料结构稳定性上取得一定进展,但材料的长效循环特性仍有待提高。
科学材料站
文 章 简 介
近日,来自北京科技大学的赵海雷教授,在国际知名期刊Carbon上发表题为“Well-dispersed FeP@C nanoparticles anchored on MXene conductive network as outstanding cyclic performance anode for Li/Na-ion batteries”的观点文章。该观点文章报道了一种一步磷化自组装技术构建高分散纳米FeP@C锚定二维MXene片层结构,以获得具有长循环特性的高比容量FeP负极材料。以二茂铁、红磷和MXene为原料,利用二茂铁和红磷的升华和分解反应分别产生纳米Fe颗粒和气态P4,二者在原子尺度的磷化反应获得粒径为15~20 nm的纳米FeP,随后与裂解碳进行自组装,形成纳米FeP@C二次颗粒并均匀锚定在二维Ti3C2-MXene片层上,最终获得FeP@C/Ti3C2复合材料。该材料的多层级化纳米结构以及紧密碳层包覆结构,赋予材料优秀的结构稳定性和电极反应动力学特性;材料在2 A/g电流密度下循环1500圈后,可逆比容量为809.6 mAh/g,容量保持率高达93.1%(每圈衰减率仅为0.0047%)。该研究不仅为过渡金属磷化物的材料结构设计提供了新思路,还为其它高比容量负极材料的开发和高性能锂/钠离子电池的应用提供了重要的技术指导和理论支持。
图1. FeP@C/Ti3C2的制备流程及材料结构示意图
科学材料站
本 文 要 点
要点一:一步磷化自组装技术制备FeP@C/Ti3C2材料
本研究通过一步磷化自组装技术制备高性能FeP基负极材料,利用二茂铁和红磷的升华、分解反应分别产生纳米Fe颗粒和气态P4,二者在一定温度下发生磷化反应生成尺寸15~20 nm的FeP颗粒;随后FeP纳米颗粒与二茂铁的裂解碳自组装形成约200 nm的FeP@C二次颗粒,并均匀锚定分散在Ti3C2-MXene片层上(图2)。区别于目前普遍的先碳包覆后PH3磷化的“两步法”,本研究为先磷化后碳包覆的一步制备,不仅工艺更为简单,而且有效避免因磷化反应产生的较大膨胀导致FeP与碳层的分离,有助于提高材料结构稳定性。
图2. (a)FeP@C和(b)FeP@C/Ti3C2(b,c)的SEM图;(d-f)FeP@C/Ti3C2的TEM图以及(g-k)元素分布图
要点二:优异的结构稳定性和长循环特性
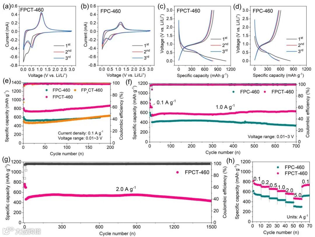
本研究报道的FeP@C/Ti3C2材料具有以下的结构优势:(1)得益于一步磷化自组装反应机制,FeP@C/Ti3C2材料中FeP与碳包覆层的结合紧密,有利于均化FeP颗粒表面电流密度和嵌脱锂/钠反应程度,实现FeP由外至内的均匀膨胀/收缩,减少结构内应力,提高材料结构稳定性;(2)FeP一次颗粒尺寸仅为15~20 nm且均匀分散在无定形碳基质中,较小的颗粒尺寸有利于结构应力的快速耗散,提高材料结构稳定性;(3)无定形碳基质和二维MXene片层共同构成三维碳导电网络,提高材料的电极反应动力学特性。得益于以上结构优势,FeP@C/Ti3C2材料表现出优异的循环特性。在1 A/g电流密度循环700圈后,可逆比容量基本不衰减;在2 A/g下循环1500圈,仍表现出809.6 mAh/g的比容量,容量保持率高达93.1%,每圈衰减率仅为0.0047%(图3)。钠离子电池性能方面,FeP@C/Ti3C2材料在0.5 A/g下循环700圈后可逆比容量仍高于300 mAh/g,容量保持率为99.1%(图4),表现出优异的长循环特性。循环-伏安测试结果表明,引入MXene后,FeP@C/Ti3C2材料的锂离子扩散系数大幅提升,结合电镜结果分析表明,MXene有利于FeP@C颗粒的高度分散并减小二次颗粒粒径,缩短锂离子扩散路径,从而提高材料的电极反应动力学特性(图5)。
图3 作为锂电负极材料电化学性能:(a)FeP@C/Ti3C2和(b)FeP@C的CV曲线;(c)FeP@C/Ti3C2和(d)FeP@C的充放电曲线;FeP@C/Ti3C2和FeP@C在(e)0.1 A/g和(f)1 A/g电流密度下的循环容量图;(g)FeP@C/Ti3C2在2 A/g下的循环性能;(h)倍率性能图;
图4 作为钠电负极材料电化学性能:FeP@C/Ti3C2电极的(a)充放电曲线和(b,c)循环性能
图5 (a)FeP@C/Ti3C2和(b)FeP@C电极在不同扫速下的循环伏安曲线;(c)不同氧化还原峰的I-v曲线拟合结果;(d)不同循环圈数下的EIS结果;
科学材料站
文 章 链 接
Well-dispersed FeP@C nanoparticles anchored on MXene conductive network as outstanding cyclic performance anode for Li/Na-ion batteries
https://www.sciencedirect.com/science/article/pii/S0008622325000247?dgcid=author
科学材料站
通 讯 作 者 简 介
赵海雷教授简介:北京科技大学材料科学与工程学院教授,博士生导师。2007年入选教育部新世纪人才计划。北京市新能源材料与技术重点实验室常务副主任,北京硅酸盐学会副理事长,中国硅酸盐学会固态离子学理事。一直从事新型能源存储与转换材料的研究。主要开展锂(钠)离子电池、液态金属电池、固体氧化物燃料电池等研究。曾主持国家自然科学基金面上和重点项目、国家863、973项目、国家重点研发、国际合作、北京市自然科学基金等。申请和授权国际和国内专利78项。在Adv. Energy Mater.,Adv. Funct. Mater.,ACS Nano,Energy Storage Mater.,Appl. Catal. B-Environ. Energy等国际著名期刊已发表SCI收录论文260余篇。2014-2023年连续10年入选Elsevier中国高被引学者。
科学材料站
第 一 作 者 简 介
李兆麟博士简介:北京科技大学材料学院讲师,入选北京市青年人才托举工程和嘉兴市精英·引领人才计划。主要研究领域为高比容量锂/钠离子电池负极材料(硅基、磷基材料)的设计、合成、电荷传输机制与电化学性能的研究。主持国家自然科学基金青年项目、小米揭榜挂帅青年学者科研专项、中央高校基本科研业务费等项目。在Adv. Funct. Mater.、ACS Nano、J. Mater, Chem. A等国际知名期刊发表SCI论文30余篇,申请国家发明专利10余项。
添加官方微信 进群交流
SCI二氧化碳互助群
SCI催化材料交流群
SCI钠离子电池交流群
SCI离子交换膜经验交流群
SCI燃料电池交流群
SCI超级电容器交流群
SCI水系锌电池交流群
SCI水电解互助群
SCI气体扩散层经验交流群
备注【姓名-机构-研究方向】
投稿请联系contact@scimaterials.cn
点分享
点赞支持
点在看

