科学材料站
文 章 信 息
异质结构量子点界面工程助力高倍率长寿命锂硫全电池
第一作者:马飞
通讯作者:陈远富*,吴宇平*,李巍*
单位:电子科技大学,东南大学,武汉大学
科学材料站
研 究 背 景
锂硫电池(Li-S)的前景与挑战:锂硫电池因其高达1675 mAh g-1的理论比容量和2600 Wh kg-1的比能量,被视为下一代电化学储能装置的潜力之星。然而,硫正极导电性差、充放电体积变化大,以及多硫化物(LiPSs)的“穿梭效应”导致容量衰减和库伦效率低下等问题,严重制约了其商业化进程。此外,不可控的锂剥离-沉积过程及不均匀的锂离子浓度分布引发的锂枝晶生长,进一步加剧了安全隐患。因此,如何有效抑制LiPSs穿梭效应和锂枝晶生长,成为当前锂硫电池研究的前沿课题与焦点。
科学材料站
文 章 简 介
近日,电子科技大学陈远富教授团队、东南大学吴宇平教授团队以及武汉大学李巍副研究员团队联合提出了一种界面工程策略,成功开发出硫正极和锂负极的双功能宿主。该宿主材料由异质结构WC-WN0.67量子点均匀嵌入N掺杂石墨烯纳米片(WC-WN0.67@NG)构建而成。实验结果表明,即使在4 C高倍率下,Li-S全电池仍能提供高达704 mAh g-1的可逆容量,并且在2 C下也表现出长期循环稳定性,经过1200次循环后,容量衰减率仅为0.027%。项研究工作为利用双功能异质结构量子点主体的界面工程,推动Li-S电池的实际应用提供了重要思路。研究成果以“Interface Engineering of Heterostructural Quantum Dots Towards High-Rate and Long-Life Lithium Sulfur Full Batteries”为题发表在能源领域国际顶级期刊Nano Energy上。电子科技大学2020级博士研究生马飞为本文第一作者(现西南交通大学材料科学与工程学院助理教授)。
科学材料站
本 文 要 点
图1. (a)硫物种与NG、WN0.67、WC和WC-WN0.67之间的吸附能。(b)不同表面上硫还原的自由能图。(c) LiPSs在WC-WN0.67@NG表面上的锚定-扩散-转化过程示意图。(d)不同表面的锂原子的扩散途径。(e) WC-WN0.67@NG制备示意图。(f, g) WC-WN0.67@NG的TEM和HR-TEM图像。(h) FFT模式和对应的逆FFT模式。
为了深入探究催化剂在原子水平上与多硫化物(LiPSs)的相互作用机制,进行了一系列DFT计算,分析了NG,WN0.67(111),WC(100)和WC-WN0.67表面上的吸附行为。结果显示,WN0.67对各硫物种(S8、Li2S8、Li2S6、Li2S4、Li2S2和Li2S)表现出过量的吸附能值,而WC-WN0.67对LiPSs则表现出适中的吸附能力,这更有利于LiPSs的转化,并与Sabatier原理相符。WC-WN0.67上多个不同吸附位点的存在,确保了通过W-S和Li-N键有效捕获LiPSs,促进电荷转移并促进复杂的电催化反应。与NG(2.33 eV)、WN0.67(1.89 eV)和WC(1.67 eV)相比,在WC-WN0.67界面上的吉布斯自由能变化最低(1.06 eV),表明WC-WN0.67的存在有助于LiPSs还原转化过程。WC-WN0.67具有最小的氧化能垒(0.66 eV),反映WC-WN0.67有利于增强Li2S的解离并促进分解过程。在WC-WN0.67系统中,电场有助于将正电荷导向LiPSs存在的区域,从而增强这些物质的捕获和催化还原。研究还发现,WC-WN0.67的表面提供了最高的Li+迁移率,扩散仅需要0.43 eV的小能垒。相比之下,NG(0.57 eV)、WN0.67(0.52 eV)和WC(0.47 eV)具有更高的能垒。
采用微波水热法,在160°C下将WCl6分解为WO3,进一步形成WO3@GO。随后在800 °C的氩气气氛中,WO3@GO与双氰胺衍生的氮源和碳源反应,生成WC-WN0.67@NG异质结构,其中量子点均匀分布在N掺杂石墨烯表面。通过扫描电子显微镜(SEM)和透射电子显微镜(TEM)对WC-WN0.67@NG的微观形貌和结构进行了表征。结果显示,WC-WN0.67量子点均匀嵌入NG表面。这种独特结构不仅实现了高硫负载和充足的活性位点,以增强电化学反应,还作为导电支架,有效降低了电子转移电阻。基于快速傅里叶变换(FFT)图案和相应的快速傅里叶逆变换(IFFT)分析,确定了0.252 nm和0.238 nm的晶格条纹分别对应于WC和WN0.67的(100)和(111)平面。
图2. (a-c)不同Li-S半电池的循环稳定性测试。(d, e) NG和WC-WN0.67正极在不同电位下的原位拉曼光谱。
对WC-WN0.67@NG/S正极在0.2 C倍率下的循环性能进行了测试,结果显示,经过200次循环后,其容量衰减率仅为0.046%,放电容量高达1228 mAh g-1,明显优于NG/S正极(575 mAh g-1,0.22%)、WN0.67@NG/S正极(961 mAh g-1,0.091%)和WC@NG/S正极(1129 mAh g-1,0.052%)。倍率性能测试进一步验证了WC-WN0.67@NG/S正极出色的可逆性和有效的LiPSs转化动力学。WC-WN0.67@NG/S基电池在2 C倍率下展现出卓越的耐久性,可逆容量高达1016 mAh g-1,经过1000次循环后,容量衰减几乎可以忽略不计,每次循环的衰减率仅为0.031%。这一出色的循环稳定性得益于WC-WN0.67@NG对LiPSs的有效固定和转化。
进一步的原位拉曼光谱分析揭示了不同正极材料在放电/充电过程中的LiPSs转化行为:对于NG/S正极,观察到尖锐的拉曼信号,其对应于在放电过程的早期阶段在155、220和474 cm-1处检测到的长链Li2S8。放电后Li2S8峰的强度逐渐降低,当放电至第二平台2.10 V时出现不溶性Li2S4峰(461 cm-1)。另一方面,在WC-WN0.67@NG/S正极的原位拉曼光谱中没有清楚地观察到LiPSs的拉曼信号,证实了WC-WN0.67@NG的有效LiPSs固定。
图3. (a)不同材料捕获的Li2S6溶液的UV-vis吸附光谱(插图:Li2S6吸附试验的数码照片)。(b) Li2S6对称电池的CV曲线,(c) EIS谱。(d)不同Li-S半电池的Li+扩散系数。(e)在2.02 V下各种电极的恒电位放电曲线。(f) Li2S的成核速率(插图:Li2S沉积的SEM图像)。
为了探究WC-WN0.67@NG对LiPSs的穿梭效应的抑制作用,在Li2S6溶液中对NG、WN0.67@NG、WC@NG和WC-WN0.67@NG进行了静态吸附实验。结果显示,吸附3 h后,WN0.67@NG和WC-WN0.67@NG均表现出优异的脱色效果,使电解液变得透明,而WC@NG的脱色效果稍逊,WC@NG的脱色效果稍差。在Li2S6对称电池中,WC-WN0.67@NG电极展现出明显高于NG、WN0.67@NG和WC@NG电极的电流响应,体现出更高的电催化活性。电化学阻抗谱(EIS)进一步证实了这一点,与NG(42.44 Ω)、WN0.67@NG(38.48 Ω)和WC@NG(30.64 Ω)相比,WN0.67@NG的电荷转移电阻最低,仅为26.06 Ω。在放电过程中,溶解的LiPSs转化为短链Li2S是一个涉及12个电子的反应,占Li-S电池总容量的75%。
测试结果表明,NG、WN0.67@NG和WC@NG电极的成核容量分别为124.4、209.4和224.3 mAh g-1。而WC-WN0.67@NG可以将成核容量增加到295.3 mAh g-1,并且在最早的响应时间(712 s)内具有更尖锐的峰值电流,这归因于亲硫WC-WN0.67界面与导电NG的协同多重相互作用。与其它电极表面相比,WC-WN0.67@NG电极表面呈现出平坦且均匀的Li2S沉积形貌,表现为3D粒状结构,且无显著的大颗粒聚集。这种均匀沉积形态主要归因于2D NG骨架中丰富的WC-WN0.67催化位点,促进了LiPSs的平稳扩散和有效的电荷转移。而在NG电极表面,由于活性位点数量有限,Li2S沉积则呈现出粗糙和不均匀的生长形态。
图4. (a)在1 mA cm-2下不同电极的初始Li成核过电位。(b)不同Li-Cu电池的库仑效率。(c)锂锂对称离子电池的循环性能,(d)倍率性能。(e)具有WC-WN0.67@NG电极的电压曲线(插图:在Li电镀和剥离期间WC-WN0.67@NG电极的SEM形态演变)。
WC-WN0.67@NG@Cu基电池展现出较低的过电位(20.8 mV),这一结果充分体现了WC-WN0.67@NG优异的亲锂性,有效降低了Li成核阻力,并确保了均匀的Li沉积。相比之下,Cu电极在经历50次循环后由于不可控的Li沉积而表现出剧烈的电压波动。引入NG部分改善了Cu电极的性能,NG@Cu基电池在150次循环后库伦效率(CE)下降至90%。而WC-WN0.67@NG@Cu基电池则在300次循环中始终保持接近99%的高CE,显示出其对Li沉积行为的优越调控能力。WC-WN0.67@NG/Li基对称电池展现出卓越的循环稳定性,在1500 h测试期内电压波动最小,并且在5 mA cm-2的高电流密度下仍保持20.1 mV的低过电位。此外,WC-WN0.67@NG/Li负极在不同电流密度下均展现出低电压滞后和平滑的电压响应,进一步证实了其在高电流条件下实现均匀Li沉积的能力。非原位SEM观察揭示了WC-WN0.67@NG对Li电镀/剥离过程的调控机制:由于WC-WN0.67@NG的亲锂性,Li首先倾向于沉积在石墨烯表面,沉积容量为4 mAh cm-2。随着Li沉积容量增加到8 mAh cm-2,WC-WN0.67@NG表面逐渐被沉积的Li覆盖。即使在进一步沉积至12 mAh cm-2,WC-WN0.67@NG表面保持光滑层,仍保持光滑,未出现明显的Li枝晶。这些结果表明,WC-WN0.67@NG具备丰富的亲锂位点,能够有效调节Li的成核和生长,从而实现均匀且稳定的Li沉积,提升电池的循环性能和安全性。
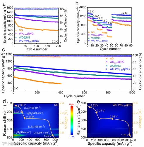
图5. (a-d)不同组装的全电池的循环性能。(e)软包全电池的循环稳定性(插图:为LED供电的软包全电池的数码照片)。(f) WC-WN0.67@NG基全电池与其他已报道的Li-S全电池的循环性能比较。(g) WC-WN0.67@NG型全电池的电化学机理。
NG、WN0.67@NG、WC@NG和WC-WN0.67@NG四种全电池在0.2 C下的初始放电容量,分别为804、936、1020和1110 mAh g-1。其中,基于WC-WN0.67@NG的全电池展现出卓越的循环稳定性,在200次循环后仍保持1023 mAh g-1的高可逆容量,每循环容量衰减率仅为0.039%,显著优于NG(0.2%)、WN0.67@NG(0.087%)和WC@NG(0.046%)基全电池。即使在2 C倍率下,WC-WN0.67@NG基全电池在1200次循环中仍能保持每循环0.027%的低容量衰减率。进一步的倍率性能测试表明,基于WC-WN0.67@NG的全电池在0.2 C倍率下放电容量高达1163 mAh g-1,显示出WC-WN0.67@NG优异的快速反应动力学和高度可逆的电化学行为。此外,组装的Li-S软包电池在0.1 C倍率下50次循环后实现了5.79 mAh cm-2(相当于934 mAh g-1)的高可逆容量,与其他报道的软包电池相比显示出强大的竞争力。WC-WN0.67@NG对LiPSs的适度吸附与其出色的双向催化能力相结合,有效阻止了穿梭的LiPSs穿透隔膜,从而抑制了活性物质损失和多硫化物穿梭效应。精心设计的异质结构不仅为离子扩散创造了丰富的通道和内部空间,还提供了充足的暴露活性位点,促进LiPSs的锚定、扩散和转化。WC-WN0.67@NG表现出显著的化学亲和力,诱导离子在Li负极表面均匀分布,从而促进Li的均匀生长,减少枝晶形成。WC-WN0.67@NG的稳定层状结构作为物理屏蔽,能够有效缓解S和Li电极在整个连续循环过程中经历的显著体积波动,从而提升电池的循环稳定性。因此,基于WC-WN0.67@NG的全电池通过其优异的LiPSs抑制能力、催化活性、结构优势以及化学亲和力,实现了卓越的电化学性能和循环稳定性,为其在锂硫电池领域的实际应用提供了坚实的基础。
科学材料站
文 章 链 接
Fei Ma, Xiaosong Xiong, Ziheng Zhang, Yu Wu, Daiqian Chen, Hesheng Yu, Yue Wang, Xinsheng Li, Wei Li*, Jiarui He, Yuanfu Chen*, and Yuping Wu*, Interface Engineering of Heterostructural Quantum Dots Towards High-Rate and Long-Life Lithium-Sulfur Full Batteries.
https://doi.org/10.1016/j.nanoen.2024.110445
添加官方微信 进群交流
SCI二氧化碳互助群
SCI催化材料交流群
SCI钠离子电池交流群
SCI离子交换膜经验交流群
SCI燃料电池交流群
SCI超级电容器交流群
SCI水系锌电池交流群
SCI水电解互助群
SCI气体扩散层经验交流群
备注【姓名-机构-研究方向】
投稿请联系contact@scimaterials.cn
点分享
点赞支持
点在看

