文 章 信 息
用于高温质子交换膜燃料电池和全钒氧化还原液流电池的酸掺杂支化聚(联苯-吡啶)膜
第一作者:石宁、王国瑞
通讯作者:杨景帅*,李庆峰*
单位:中国东北大学,丹麦科技大学
研 究 背 景
可持续的能源,如太阳能和风能,是间歇性的。而能源存储和转换设备需要满足对电力系统持续供应的需求。燃料电池是一种以水电解产生的氢作为能量载体的能量转换装置,具有高效、零空气排放的特点。液流电池是一种可以储存风能和太阳能的能源设备。在许多不同类型的电池中,全钒氧化还原液流电池(VRFBs)因其使用周期寿命长、价格低、电极动力学快、安全性高、设计灵活等优势而最为发达。高温质子交换膜燃料电池(HT-PEMFCs)是一种通常在120 ℃到200 ℃下运行的技术。在这个温度范围内,该技术没有强制性的水管理系统,可以使用不纯的氢气进行操作,例如含有1% CO的甲醇转化炉。HT-PEMFC和VRFB都配备了酸掺杂形式的质子导电聚合物膜。HT-PEMFCs需要使用磷酸(PA)作为掺杂剂,而VRFB中需要硫酸(SA)液体电解质。
在这两种情况下,含有碱性官能团的聚合物膜可以选择在PA或SA掺杂过程中形成酸碱配合物。本文通过Friedel-Crafts反应合成了新型三苯基苯(TPB)支化聚(联苯-4-乙酰基吡啶)聚合物膜(x%TPB-PBAP),讨论了分支结构对聚合物膜材料性能的影响,并验证了该膜材料在HT-PEMFC和VRFB中的应用。
文 章 简 介
近日,东北大学的杨景帅副教授与丹麦科技大学的李庆峰教授合作,在国际知名期刊Chemical Engineering Journal上发表题为“Acid doped branched poly(biphenyl pyridine) membranes for high temperature proton exchange membrane fuel cells and vanadium redox flow batteries”的研究文章。
该研究文章使用三苯基苯(TPB)作为支化试剂设计了支化聚(联苯-4-乙酰基吡啶)(PBAP)。本文通过4-乙酰基吡啶、联苯和TPB 在室温下超强酸催化聚合反应合成了TPB 支化PBAP 聚合物(x%TPB-PBAP)。由于碱性吡啶基团,x%TPB-PBAP 膜表现出良好的 PA 和 SA 吸收能力,这使得这些膜能够应用于 HT-PEMFC 和 VRFB。同时,支链结构的构建,即一种共价交联网络,有望提高x%TPB-PBAP膜的机械稳定性。此外,还研究了支化度对聚合物膜的物理化学性质的影响。基于酸掺杂 x%TPB-PBAP膜的 HT-PEMFC 和 VRFB 的技术灵活性也得到了证实。
图1. x%TPB-PBAP聚合物膜的制备以及在HT-PEMFC和VRFB的应用。
本 文 要 点
要点一:聚合物的热稳定性和化学稳定性
热稳定性是HT-PEMFC等高温应用的重要参数之一。分支结构的构建并未影响聚合物的稳定结构,PBAP和x%TPB-PBAP聚合物在480℃下保持明显的热稳定。除了热稳定性外,化学稳定性对膜电解质的实际应用也至关重要。在此,通过Fenton试验评价了PBAP和x%TPB-PBAP膜的氧化稳定性。从插入的照片和数据中可以看出,由于分支结构的构建和高分子量,所有的x%TPB-PBAP膜均表现出良好的氧化稳定性。在500 h后的Fenton试验中的质量保留率均高于70%。为了评价在VRFB中对高价钒离子的化学稳定性,将四种膜浸入含有1.5 M VO2+和3 M SA的溶液中。在300 h测试后,四种膜的原始形状保持不变。结果表明,x%TPB-PBAP膜在强氧化和酸性条件下具有良好的化学稳定性。
图2. 聚合物膜的1H NMR(A);TGA曲线(B);Fenton测试曲线(C); VO2+稳定性曲线(D)
要点二:在HT-PEMFC中的应用
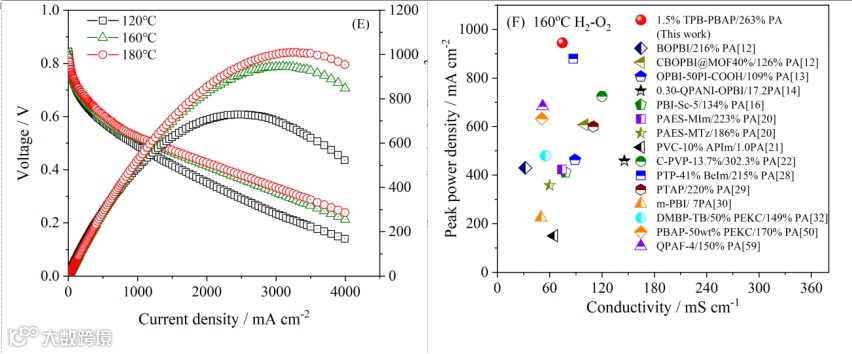
对于x%TPB-PBAP膜,由于分支结构发展了三维网络,因此聚合物链的密集堆积,这可能会抵抗酸的吸收。因此x%TPB-PBAP均表现出低于线性PBAP膜的磷酸吸附能力和溶胀。当分支度低于1.5%时,增加的分支结构增强了机械强度,但降低了质子电导率。从图中可以看出,1.5%TPB-PBAP/263%PA的拉伸强度比线性PBAP/374%PA高3.8 MPa,180 ℃时的电导率降低27.9 mS cm-1。配备有1.5%TPB-PBAP/263%PA(70 μm)膜的H2-O2燃料电池在120℃下开路电压约为0.85V,峰值功率密度达到了729 mW cm-2。当温度升高到180℃时,电导率升至74.5 mS cm-1,峰值功率密度也达到了1010 mW cm-2。
图3. PBAP和x%TPB-PBAP膜的酸吸收含量(A);溶胀性(B);掺酸后的机械性能(C);电导率随时间的变化(D);1.5%TPB-PBAP/263%PA膜无背压下的H2-O2电池表现(E);文献电池性能对比(F)
要点三:在VRFB中的应用
PBAP和x%TPB-PBAP膜在3 M SA溶液中浸泡、烘箱干燥后,对纯SA的摄取率在31%~48%之间,其中0.5%的TPB-PBAP获得了最高的SA摄取(48%)。此外,x%TPB-PBAP膜在3 M SA溶液中表现出高度各向异性的溶胀,这种有趣的现象可能与聚合物分枝有关,它形成了一个三维结构,从而抑制了平面膨胀。质子化的吡啶阳离子不仅由于唐南排斥作用而使x%TPB-PBAP膜具有较低的钒离子渗透性,而且构建了有效的质子传导通道来实现较低的面电阻 。因此1.5%TPB-PABP膜的表现出最高的离子选择性,为10.2×104 S min cm-2,为Nafion212(2.8×104 S min cm-2)的3.6倍。以上结果表明,TPB分支可以有效地提高PBAP膜的离子选择性。在组装VRFB后,1.5%TPB-PBAP在100 mA cm-2下的能量效率达到了86.4%,高于Nafion 212的84.5%。此外在经过了300个循环后,能量效率仅降低了2.8%,相比线性PBAP稳定性得到了大幅提升。
图 4. PBAP和x%TPB-PBAP的SA吸附含量(A);溶胀测试(B);SA掺杂膜的机械性能(C);离子选择性(D);1.5%TPB-PBAP和Nafion 212各个电流密度下的能量效率(E);基于各个膜的VRFBs的长期运行表现
文 章 链 接
“Acid doped branched poly(biphenyl pyridine) membranes for high temperature proton exchange membrane fuel cells and vanadium redox flow batteries”
https://doi.org/10.1016/j.cej.2024.151121
通 讯 作 者 简 介
杨景帅:东北大学理学院化学系,副教授(研究员)。研究方向为:燃料电池、液流电池、水电解池等新能源器件用高性能膜材料的研制。作为项目负责人主持各类科研项目8项,以第一作者和通讯作者发表SCI收录论文60余篇,H指数31,总被引2600余次;编写英文专著1章,获批国家发明专利6项。担任中文核心期刊《电化学》青年编委、SCI期刊《Batteries》专刊主编,获得第十七届冯新德高分子奖。Email: yjs@mail.neu.edu.cn。
李庆峰:丹麦科技大学能源系教授。1990年获得东北大学博士。从事能源材料和技术的研究,包括质子导体、电催化剂等在燃料电池、水电解技术上的应用。主持的丹麦4M研究中心,专门在高温质子膜方面开展系统的基础研究。
第 一 作 者 简 介
石宁:东北大学理学院应用化学专业2020级本科生,研究方向包括燃料电池、液流电池、水系锌离子电池用高性能膜材料等。
王国瑞:东北大学理学院应用化学专业2020级本科生,主要从事燃料电池、液流电池及高性能膜材料的研究。
添加官方微信 进群交流
SCI二氧化碳互助群
SCI催化材料交流群
SCI钠离子电池交流群
SCI离子交换膜经验交流群
SCI燃料电池交流群
SCI超级电容器交流群
SCI水系锌电池交流群
SCI水电解互助群
SCI气体扩散层经验交流群
备注【姓名-机构-研究方向】
投稿请联系contact@scimaterials.cn
点分享
点赞支持
点在看

