有机太阳能电池(OSCs)作为新兴的光伏技术,具有柔性、便携、半透明等优势,在可穿戴电子设备、光伏建筑一体化等领域的应用潜力巨大。近年来,随着新材料合成、器件结构优化等方面的不断创新,OSCs的光伏性能发展迅猛。但受限于有机半导体相对较低的电荷传输能力,有机光伏器件的光电转换效率(PCE)仍有很大的提升空间,而调控光活性层各组分的聚集行为是进一步提高OSCs性能的关键途径。已有研究证实在活性层中构建纳米纤维聚集体是实现高效激子解离和电荷传输的有效手段,但不合适的纤维尺寸会阻碍器件性能的提升。因此,通过结构设计或物理方法精确调控纳米纤维的形态和几何尺寸,如长度和宽度,仍需深入研究。
基于此,武汉理工大学王涛教授团队设计合成了一系列具有不同长度侧链的噻吩类分子添加剂(图1),T-2OBO,T-2OHD和T-2OOD,通过侧链相互作用成功调控聚合物给体PM6和D18纤维聚集体的生长,并通过不同长度侧链的体积效应实现了对纳米纤维几何尺寸(图2和图3),即宽度和长度,的精确调控。
图1 化学结构和分子添加剂影响的光吸收和荧光性能。
图2 不同分子添加剂处理的PM6纤维形貌演变。
图3 噻吩分子添加剂在D18中的普适性研究。
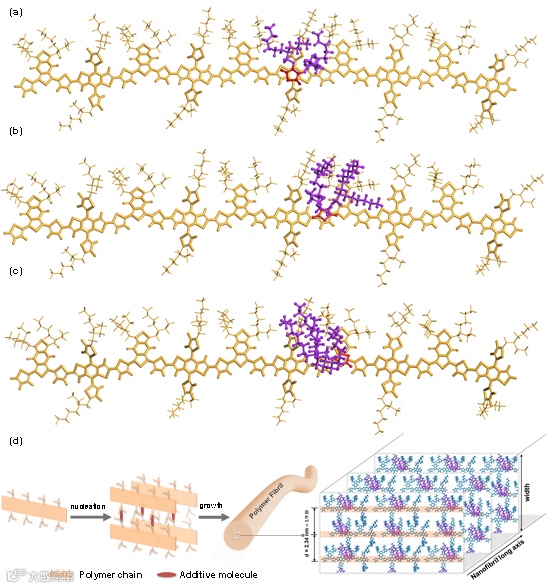
分子动力学模拟进一步表明,在成膜过程中,这些分子添加剂会优先定位在聚合物侧链附近,噻吩单元与共轭主链间产生-相互作用,同时长的烷基侧链会穿插在聚合物侧链间隙并与其缠结,增大共轭主链间相互作用,促进聚合物给体(PM6或D18等)分子链沿着(010)方向(对应纤维长度)和(100)方向(对应纤维直径)生长,最终形成长程有序的纤维结构。另外,添加剂的长侧链则产生体积效应,导致聚合物主链间的d-spacing增大,实现纳米纤维几何尺寸的调控。
图3 分子动力学模拟和纤维形成机理图。
采用上述添加剂处理的聚合物作为电子给体,L8-BO为电子受体,结合逐层涂膜方法制备赝本体异质结有机太阳能电池,发现器件的激子扩散和解离能力、电荷传输和收集效率均有显著提高,最终在T-2OOD处理的D18/L8-BO p-BHJ OSCs中获得了20.1%的光电转换效率。
综上,本工作设计了一系列具有不同烷基链长度的噻吩类分子添加剂,以调控聚合物给体纤维的几何形态。综合模拟和实验表征表明,这些添加剂与共轭聚合物的烷基侧链相互作用,可以调节它们的层间堆积,最终促使PM6和D18中纤维直径分别从12.6和15.4 nm逐渐增加到21.8和27.6 nm。在本工作中,更宽的纤维直径(小于30 nm)同时促进了激子解离和电荷传输,最终在PM6/L8-BO和D18/L8-BO二元p-BHJ OSCs中实现了最高19.8%和20.1%的PCE。
相关研究成果以“Tuning of the Polymeric Nanofibril Geometry via Side-Chain Interaction toward 20.1% Efficiency of Organic Solar Cells”为题发表在《Journal of the American Chemical Society》上,文章第一作者为武汉理工大学博士研究生周晶,通讯作者为王涛教授。该研究得到国家自然科学基金的支持。
添加官方微信 进群交流
SCI二氧化碳互助群
SCI催化材料交流群
SCI钠离子电池交流群
SCI离子交换膜经验交流群
SCI燃料电池交流群
SCI超级电容器交流群
SCI水系锌电池交流群
SCI水电解互助群
SCI气体扩散层经验交流群
备注【姓名-机构-研究方向】
投稿请联系contact@scimaterials.cn
点分享
点赞支持
点在看

