科学材料站
文 章 信 息
通过自支撑凝胶形态凝胶态无阳离子基团的离子溶剂化膜实现高 KOH 浓度的高效耐用水电解
第一作者:黄泽权,朱丹依
通讯作者:黄菲*,薛立新*
单位:浙江工业大学,温州大学
科学材料站
研 究 背 景
水电解作为一种工业制氢技术,提供了一种碳中和的氢气生产过程,能够与风能、太阳能等可再生能源无缝集成。在众多电解技术中,阴离子交换膜水电解(AEMWE)因其能够使用非贵金属催化剂、降低资本成本以及提供更好的气体阻隔性能而脱颖而出。然而,大多数阴离子交换膜(AEMs)的长期稳定性仍是一个重大挑战,这主要是因为它们依赖于固定的阳离子基团进行OH⁻离子传导,而这些基团在高碱性环境下容易发生降解。为了推进高性能和耐用的碱性电解槽,开发具有高碱性稳定性和强离子传导性的聚合物电解质膜至关重要。
离子溶剂化膜 (ISM) 作为一种替代方法,为当前电解技术面临的局限性提供了潜在的解决方案。在各种ISMs中,以弱碱聚苯并咪唑(PBI)膜尤为引人注目,因为它们出色的化学稳定性和机械强度。传统上,基于 PBI 的膜是使用有机溶剂浇铸法制备的。然而,在铸造和溶剂蒸发过程中,由于强分子间相互作用(例如 π-π 堆叠和氢键),聚合物链往往会密集堆积,从而形成致密、无孔的结构。这种致密的结构严重限制了膜的自由体积,阻碍了离子化位点与碱性溶液之间的有效接触,最终导致 KOH 吸收降低和离子传导不足。
本篇工作提出了一种无阳离子基团的离子溶剂膜(ISM-PBI-FG),该膜以自支撑凝胶形态存在,通过溶胶-凝胶转变过程后经KOH吸收制备而成。这种方法产生了由纠缠的聚苯并咪唑(PBI)纳米纤维组成的3D多孔微观结构,实现了89%的孔隙率,使其能够吸收极高的碱液(在6 M KOH中为346%)并展现出卓越的离子传导性(在80°C时为763 mS cm⁻¹)。无阳离子基团的设计避免了OH⁻的攻击,从而确保了良好的碱性稳定性。经过3120小时的测试,其在6 M KOH中的传导性保持率为91.6%。所得到的膜在水电解中展现出卓越的性能,使用铂族金属(PGM)催化剂时电流密度可达5.5 A cm⁻²,使用无PGM催化剂时电流密度可达2.2 A cm⁻²,在2.0 V下。值得注意的是,基于ISM-PBI-FG的电解装置提供了从40–100°C的广泛操作灵活性,并在高浓碱性条件下展现出创纪录的耐久性,电压衰减率仅为23.5μV h⁻¹,超越了目前所报道的大多数AEMs和ISMs。
科学材料站
文 章 简 介
基于此,浙江工业大学的黄菲教授与温州大学的薛立新研究员,在国际知名的期刊 Small上发表题为“Highly Efficient and Durable Water Electrolysis at High KOH Concentration Enabled by Cationic Group-Free Ion Solvating Membranes in Free-standing Gel Form”的研究论文。该工作提出了一类新型的独立式凝胶形式的无阳离子基团的离子溶剂化膜 (ISM-PBI-FG) 用于高效和耐用的碱性水电解。该膜以凝胶形态存在,通过溶胶-凝胶转变过程后经KOH吸收制备而成。与传统的 AEM 和PBI基 ISM 相比,ISM-PBI-FG 膜具有多孔的内部结构和致密的外表面,为碱性电解质的吸收提供了更大的体积,并为离子传输创造了纳米级通道。ISM-PBI-FG膜是由纠缠的聚苯并咪唑(PBI)纳米纤维组成的3D多孔微观结构,实现了89%的孔隙率,使其能够吸收极高的碱液(在6 M KOH中为346%)并展现出卓越的离子传导性(在80°C时为763 mS cm⁻¹)。这一概念的可行性通过 AWE 测试得到了验证,其中使用 NiFe/Raney Ni(不含 PGM)和 NiFe/Pt/C (PGM) 催化剂组合,在 2.0V 下电流密度分别达 2.2 A cm-² 和 5.5 A cm-²,实现了优异的水电解性能。本研究工作得到国家自然科学基金委基金项目(22209147)和中国工程院院士咨询项目(2022-DZ-08)的资助完成。
TOC
科学材料站
本 文 要 点
要点一:自支撑凝胶形态的无阳离子基团的 PBI 离子溶剂化膜 (ISM-PBI-FG)的制备和微观形貌
为开发具有互连多孔结构和优化离子通道的高性能 ISM,研究人员实施了一种简单的方法来制造自支撑凝胶形态的无阳离子基团的PBI 离子溶剂化膜 (ISM-PBI-FG)。该过程涉及使用 PPA 作为溶剂进行缩聚,将对位PBI/PPA 溶液直接铸造,以及通过热 PPA 水解为冷 PA的过程来诱导溶液到凝胶膜的转变。冷冻 SEM 横截面图像显示平均孔径为 37 nm。这种独特的内部结构具有多种优势,包括为 KOH 电解质储存提供充足的空间、增强可电离苯并咪唑位点的利用率以及建立高效离子传输的连续途径。2D SAXS 图像表明 H₂O 掺杂 ISM-PBI-FG 膜的各向异性较弱,该图像在in-plane和through-plane方向上都显示出较小的取向性。
图1.自支撑凝胶形态的无阳离子基团的 PBI 离子溶剂化膜的制备与微观形貌
为了进一步阐明其微观形态,研究人员对有机溶剂和 PPA 溶液浇铸的 PBI ISM 进行了 WAXS 测量。2D WAXS 图像的差异揭示了 ISM-PBI-D 膜中聚合物链的各向异性行为和取向,这是由有机溶剂浇铸的PBI 膜的共同特征,其中苯并咪唑环往往紧密堆叠并平行于膜表面排列。相反,ISM-PBI-FG 膜表现出相对较低的各向异性程度,表明聚合物链排列中的取向性不太明显。相比ISM-PBI-D膜,ISM-PBI-FG 膜表现出更强的晶体特征,在 24°-25° (3.51-3.54 Å) 处有序相域的比例增加,在 18°-19° (4.58-4.83 Å) 处无定相减少。ISM-PBI-FG 膜的独特微观结构在离子传导和水电解应用中具有潜在优势。
图2.ISM-PBI-D膜与ISM-PBI-FG膜的WAXS对比及ISM-PBI-FG膜的TEM图
要点二:KOH 掺杂和物理特性
接触碱性溶液后,PBI-ISM的苯并咪唑基团发生去质子化,形成由 PBI、H2O 和 KOH 组成的三元系统,有助于 OH-离子在膜内的运输。得益于其高度多孔的结构,ISM-PBI-FG 膜吸收的 KOH 是 ISM-PBI-D 膜的 6 至 12 倍。随着 KOH 浓度从 2 M 增加到 6 M,ISM-PBI-FG 膜的 KOH 吸收从 173% 显著上升到 346%,远超市售 FAA-3-50 膜(6 M KOH 时为 11.0%)和 ISM-PBI-D 膜(6 M KOH 时为 53.5%)。这种 KOH 掺杂膜还显示出能够承受 500 g 的负载,同时保持柔韧性,其可折叠性和可扭曲性证明了这一点。
图3. 不同膜在不同KOH浓度下的KOH吸收、尺寸变化与机械性能完整性
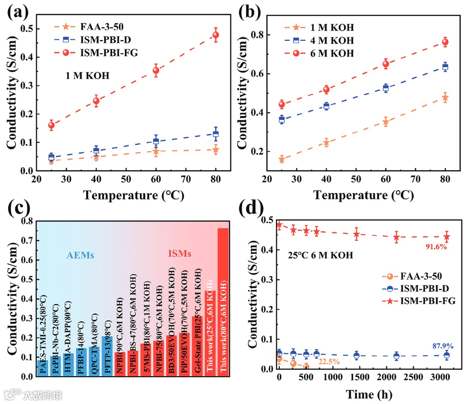
要点三:离子传导率和碱稳定性
离子传导率是 ISM 材料的关键性能指标,因为它直接影响电解槽的效率。在评估的 KOH 掺杂膜中,ISM-PBI-FG 膜具有多孔结构以及大大增加的 KOH 和水吸收率,表现出最高的离子电导率。正如预期的那样,由于离子传输位点的可用性更高,KOH 浓度的增加导致更高的电导率。此外,温度的升高进一步促进了离子迁移,从而产生了更高的电导率水平。值得注意的是,当 ISM-PBI-FG 膜在 80°C 下掺杂 6M KOH 时,达到了 763 mS cm-1 的出色电导率。ISM-PBI-FG膜的 3D 多孔网络及其互连的纳米通道确保了 OH- 离子能够平稳自由地迁移,与它们在 KOH 溶液中的行为非常相似。
令人印象深刻的是,缺乏醚键和阳离子官能团的 ISM-PBI-FG 膜在浓缩的 6M KOH 环境中表现出强大的碱性稳定性。即使在 3,000 小时的长时间测试期间,该膜仍保留了 91.6% 的初始电导率,超过了 ISM-PBI-D 的 87.9%。在 6M KOH 中浸泡 4 个月的 ISM-PBI-FG 样品保持完整、机械坚固和柔韧性,KOH 溶液仅轻微变色。ISM-PBI-FG 膜即使在恶劣的操作条件下也具有令人印象深刻的离子电导率和合理的碱性稳定性,在以前的研究中较少同时达到这样兼顾的性能。
图4.不同膜及不同KOH浓度的离子传导率、与其他文献离子传导率的对比以及离子传导率稳定性
要点四:AWE 性能和耐久性
ISM-PBI-FG膜具有出色的 AWE 性能,2.0V 下使用铂族金属 (PGM) 催化剂的电流密度为 5.5 A cm-2,使用不含 PGM 的催化剂的电流密度为 2.2 A cm-2。值得注意的是,基于 ISM-PBI-FG 的碱性电解槽装置提供了 40-100oC 的广泛操作灵活性,并在浓碱性条件(6M KOH)下表现出创纪录的耐用性,电压衰减率仅为 23.5 μV h-1,优于大多数报道的 AEM 和 ISM膜。
图5.自支撑凝胶形态的ISM-PBI-FG膜在碱性电解槽输出性能与长期稳定性
科学材料站
文 章 链 接
Highly Efficient and Durable Water Electrolysis at High KOH Concentration Enabled by Cationic Group-Free Ion Solvating Membranes in Free-standing Gel Form
https://doi.org/10.1002/smll.202408159
科学材料站
通 讯 作 者 简 介
黄菲教授简介:浙江工业大学,浙江工业大学化学工程学院教授。2015年获美国康涅狄格大学博士学位,2017年至2020年为美国南卡罗莱纳大学博士后研究员,2019年入选浙江省海外高层次人才,2020年8月回国工作。长期专注于质子/离子交换膜材料在清洁能源领域的前沿研究和产业化,聚焦在中高温燃料电池、电解水制氢、液流电池等方面,拥有十年海外科研工作和应用器件开发经验, 主持多项国家和省级项目,取得了一系列成果。在Nat. Communications、Adv Energy Mater、Small、Energy Stor. Mater.、J. Mem Sci.、ACS Sustain. Chem. Eng.等国际期刊上发表SCI学术论文30余篇,美国发明专利4件。
薛立新研究员简介:国家特聘专家、中国科学院特聘研究员、浙江省膜分离与水处理协同创新中心副主任、温州大学化学与材料工程学院瓯江领军人才,温州大学新材料与产业技术研究院副院长,博士生导师。曾经在美国Honeywell、 Philip Morris、Celanese等公司和中国科学院担任高级科研管理人员二十多年,主持高性能高分子膜合成和高分子加工新技术研发等科研项目,发表SCI论文130多篇,申请美国和PCT国际授权发明专利58项,中国专利277项(授权164项)。曾获得中国科技大学亿利达实验科学奖(1986年),中国科学院科技进步三等奖(1989年),AlliedSignal公司专利发明人奖(1999年)和两次菲律普莫里斯技术杰出贡献奖(2003年和2006年)。1999年入选国际专业名人录(International “Who is Who”of Professionals),2010年入选浙江省级人才计划,2015年获得中科院宁波材料所最佳论文奖、入选国家级人才引进和中国科学院特聘研究员, 被提名国际ENI奖;2018年获得中国膜工业协会科技进步一等奖,同年获《Journal of Membrane Science》编委会杰出审稿奖和浙江工业大学海洋学院科研优秀奖,2019年获得中国国家专利优秀奖(2019),2021获得国际先进材料学会科学金奖(IAAM Science Metal)。
科学材料站
第 一 作 者 简 介
黄泽权:浙江工业大学化学工程学院2021级硕士研究生。主要研究方向为离子溶剂膜用于碱性水电解、酸碱两性水电解研究与应用。
朱丹依:浙江工业大学化学工程学院2022级硕士研究生。主要研究方向为离子溶剂膜用于宽温域燃料电池和碱性水电解的研究与应用。
添加官方微信 进群交流
SCI二氧化碳互助群
SCI催化材料交流群
SCI钠离子电池交流群
SCI离子交换膜经验交流群
SCI燃料电池交流群
SCI超级电容器交流群
SCI水系锌电池交流群
SCI水电解互助群
SCI气体扩散层经验交流群
备注【姓名-机构-研究方向】
投稿请联系contact@scimaterials.cn
点分享
点赞支持
点在看

