文 章 信 息
弹性导锂中间层用于高性能LATP基金属锂电池
第一作者:耿志松
通讯作者:史永正*
单位:华北电力大学
研 究 背 景
固态锂电池由于其增强的安全特性和高能量密度,有望成为传统基于液体电解液的锂离子电池的一种有前景的替代品。Li1+xAlxTi2-x(PO4)3 (LATP)电解质,因其宽广的电化学窗口、良好的空气稳定性以及易于大规模生产的特性而备受关注。然而,LATP与金属锂负极之间的界面存在界面化学腐蚀和界面接触不良等极大的挑战。为了解决上述问题,迫切需要开发一种理想的缓冲层来改善LATP和金属锂界面的机械、化学和电化学稳定性。
文 章 简 介
近日,华北电力大学的陈哲、史永正团队开发了一种以氟化氢化丁腈橡胶(F-HNBR)为基体的弹性导锂中间层,成功缓解了金属锂与LATP界面之间的界面阻抗和体积变化问题。经过高温硫化、气相氟化和增塑处理制得F-HNBR中间层,该中间层展现出了高的断裂伸长率、出色的抗疲劳性能和良好的粘弹性,以及高离子电导率(6.3×10−4 S cm−1)。F-HNBR中间层不仅充当屏障防止电子从锂负极注入LATP陶瓷片,还能适应金属锂负极在深度循环过程中的大体积变化,从而增强两者之间的稳定连接。这使得含有F-HNBR保护层的锂对称电池和固态全电池在循环稳定性方面表现出色。该研究有望加速高能量密度LATP基固态电池的实际应用。相关研究成果以“An Elastomeric Lithium-Conducting Interlayer for High-Performance LATP-Based Lithium Metal Batteries”为题发表在Small上,耿志松为本文第一作者。
本 文 要 点
要点一:Li与LATP界面稳定性的机制
图1. 弹性导锂层稳定Li/LATP界面机制的示意图和F-HNBR中间层的形貌、结构与机械性能表征
如图1a所示,弹性锂离子导体可以阻止电子注入LATP陶瓷片,并适应电化学循环过程中金属锂负极的体积变化。裸露的LATP和金属锂的界面之间存在许多间隙,并且在接触处发生界面反应,导致循环过程中LATP颗粒的断裂。进一步对中间层表征可知,其断裂伸长率可达423%和优异的抗疲劳性(10000次法向压缩)。以及显著的粘弹性行为。
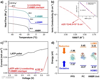
要点二:F-HNBR中间层电导率和热力学行为
图2. F-HNBR中间层的热力学行为和锂传输特性
DSC结果可以看出F-HNBR中间层的玻璃化转变温度大大降低至−57.2 °C,表明在25 °C时具有高的链段迁移率和锂离子传输能力,这与图2d的结果相符。LSV的结果表明,具有F-HNBR中间层保护的LATP电解质的电化学窗口大大扩展至4.52 V。DFT分析结果进一步验证了这一结论。
要点三:F-HNBR中间层保护的LATP界面相容性测试
图3. Li||Li对称电池的电化学性能及原位光学显微镜观察。
对称电池循环测试显示,具有F-HNBR中间层的LATP电解质在0.1mA cm-2 0.1mAh cm-2下,可以稳定循环1600小时以上。即使在0.1mA cm-2,0.5 mAh cm-2下,也可以循环1600小时。SEM和原位光学显微镜观察结果表明F-HNBR中间层可以有效地保护电解质,有助于诱导锂的均匀沉积。
要点四:锂金属负极和中间层的表面化学成分分析
图4. Li||Li对称电池循环后的界面成分分析
XPS结果表明,F-HNBR中间层和金属锂负极表面存在LiF,这些结果突出了F-HNBR中间层的双重功能,即防止电子向LATP转移,促进稳定的LiF间相的形成,从而确保基于LATP的固态锂金属电池的长期稳定性和效率。
图5. LFP||Li全电池的电化学性能研究
测试结果表明,LFP||Li全电池具有良好的长循环稳定性和倍率性能,电池在0.5C下循环500圈后仍具有高达98.3%的容量保持率,明显优于未使用F-HNBR保护层的全电池体系。同时它还具有良好的倍率性能。
文 章 链 接
An Elastomeric Lithium-Conducting Interlayer for High-Performance LATP-Based Lithium Metal Batteries
https://onlinelibrary.wiley.com/doi/10.1002/smll.202402041
通 讯 作 者 简 介
史永正简介:华北电力大学环境科学与工程学院教师,主要从事设计和开发能源存储材料,包括弹性电解质、凝胶电解质、锂/钠离子电池电极的研究。
添加官方微信 进群交流
SCI二氧化碳互助群
SCI催化材料交流群
SCI钠离子电池交流群
SCI离子交换膜经验交流群
SCI燃料电池交流群
SCI超级电容器交流群
SCI水系锌电池交流群
SCI水电解互助群
SCI气体扩散层经验交流群
备注【姓名-机构-研究方向】
投稿请联系contact@scimaterials.cn
点分享
点赞支持
点在看

