文 章 信 息
具有出色能量密度和循环性能的水性铵离子超级电容器的赝电容机理研究
第一作者:吴青峰
通讯作者:张振兴*,吴忠帅*
文 章 简 介
近日,来自兰州大学的张振兴教授和来自大连化物所的吴忠帅研究员合作,在国际知名期刊Energy Storage Materials上发表题为“Insights into Pseudocapacitive Mechanism of Aqueous Ammonium-Ion Supercapacitors with Exceptional Energy Density and Cyclability”的研究成果。该研究报道了一种具有赝电容特性的铵离子超级电容器(AASCs),同时这种超级电容器能量密度高,循环性能好,并利用第一性原理计算和非原位表征方法对高性能的铵离子赝电容器进行储能机制的分析与解释,并为高性能铵离子超级电容器的研究指引了方向。
研 究 背 景
NH4+因其资源丰富、可获得性广、生态友好、摩尔质量低(18 g mol-1)、扩散速度快、循环性能好等优点被认为是最有前途的电荷载体。同时,由于NH4+相对较小的水合离子半径(3.31 Å),因此NH4+在电极材料中表现出优异的(脱)插层动力学。此外,NH4+由于水合离子半径小,在调节层状材料层间空间方面具有明显优势。截至目前,大部分AASCs的能量存储主要依靠氢键化学,并且是典型的电双层机制,那么在一定程度上限制了AASCs的能量密度。因此,发现并应用具有赝电容效应的AASCs有望解决其能量密度问题。然而,关于铵离子赝电容器的研究和报道却少之又少。不过最近几年铵离子电池的相关报道逐渐增多,其电荷转移机制和能量储存机制也逐渐成熟,这为铵离子赝电容器提供了理论基础。
CuCo2S4尖晶石结构属于立方晶系,其中Cu+和Co3+以一定的比例分布在晶格中,形成了稳定的晶体结构。这种稳定的结构为CuCo2S4提供了多种氧化态,也为NH4+离子的插入/脱出过程提供了电化学反应路径,将显著提高AASCs的电容性能。此外,CuCo2S4材料良好的导电性赋予了电极材料表面较高的离子传导性,这有助于提高AASCs的容量和倍率性能。因此,CuCo2S4有望成为AASCs领域的重要推动力,为清洁能源储存领域做出更大的贡献。
本 文 要 点
要点一:不同电解质的性能对比
图1. CuCo2S4@CP电极在不同电解质中的电化学性能比较。(a)不同电解质在10mv s-1下的CV曲线;(b)不同电解质在1 A g-1时的GCD分布;(c, d) 1 M NH4Cl溶液的CV曲线和GCD曲线;(e, f)各种电解质的CV和GCD比容量;(g, f)不同电解质的Nyquist图和循环性质。
CV和GCD的结果表明NH4+具有优越的电荷存储能力,并且在NH4+电解质中得到的CV曲线有一对明显的氧化还原峰,说明了其NH4+的赝电容性。而NH4+电解质1 A g-1下的比容量为1512 C g-1,优于K+ (1215 C g-1)、Na+ (1172 C g-1)和Li+ (1099 C g-1)电解质。一般来说,载流子水合半径越小,离子扩散越快。在水溶液中,水合离子的半径满足NH4+≤K+≤Na+≤Li+的趋势。此外,从Nyquist图中可以看出CuCo2S4@CP电极在NH4+电解质中的内阻最低,并且NH4+在CuCo2S4@CP电极上离子扩散速率最快,最有利于电荷传输。另外,CuCo2S4@CP电极与NH4+之间的氢键有利于NH4+在电极材料上的吸附,从而使其具有出色的循环稳定性。总之,NH4+具有高离子迁移率、优异的电化学稳定性以及氢键作用,使得AASCs具有极高的比容量、卓越的速率性能和突出的循环稳定性。
要点二:反应动力学
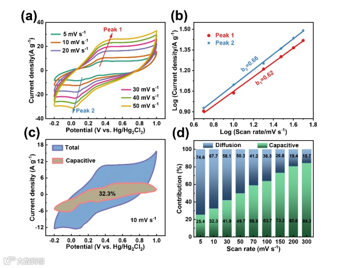
图2. CuCo2S4@CP电极在NH4+电解质中的电化学性能。(a) 5 ~ 50 mV s-1的CV曲线;(b)峰值电流密度与扫描速率的关系;(c) 10mv s-1电容控制比;(d)不同扫描速率下的电容控制和扩散控制。
peak 1和peak 2的b值分别为b1 = 0.62, b2 = 0.66,揭示了CuCo2S4@CP电极在NH4+电解质中的赝电容性质。这一观察结果说明了CuCo2S4@CP电极具有显著的电化学性能。在10mv s-1时,电容控制率仅占32.3%(橙色阴影区域突出显示)。然而,随着扫描速率增加到300 mV s-1,电容控制比将上升到84.3%。NH4+离子在较低扫描速率下迁移速度较慢,在电极材料表面的停留时间较长,有利于NH4+离子在CuCo2S4@CP电极表面的吸附和反应。相反,高扫描速率下NH4+离子的快速迁移导致CuCo2S4@CP电极表面离子的吸附和解吸过程加快,从而影响NH4+与CuCo2S4之间的电荷转移。因此,CuCo2S4@CP电极的反应机制在低扫描速率下表现为赝电容行为,而在高扫描速率下表现为电容行为。
要点三:机理分析
图3. CuCo2S4在(0 0 4)晶格平面上的DFT计算。(a)各种离子的吸附能;(b) NH4+在晶格面上的电荷分布;(c-d) CuCo2S4吸附NH4+前后的态密度。
图4. CuCo2S4@CP电极的非原位表征。(a) CV曲线;(b, c) XRD图谱和FTIR光谱;(d, e) Cu 2p和Co 2p的XPS谱;(f, g) SEM和TEM图像;(h, i) Charge 1.0 V和Dis -0.2 V时的HR-TEM图像;(j) Dis. -0.2 V的元素映射图像。
图5. NH4+在CuCo2S4中的电子传输机理。(a) CuCo2S4的晶体结构示意图及Co和Cu原子的电子态;(b) NH4+在CuCo2S4中的储存示意图;(c) CuCo2S4中NH4+的电荷分布;(d, e) Co原子在初始和插入NH4+后的态密度。
(0 0 4)晶面的吸附能(Eads)说明CuCo2S4对NH4+具有最好的亲和力,证实了NH4+具有超快的离子迁移速率以及具有优越的电化学性能。此外,电荷密度差(CDD)显示当NH4+吸附到CuCo2S4表面时,电子将通过H和S原子之间的氢键在CuCo2S4上转移。S原子和NH4+之间建立的氢键为电子传输提供了电荷转移通道,有助于NH4+与电极材料发生迅速的电子转移,从而实现优越的电化学储能性能。(0 0 4)晶面上每个离子的DOS计算显示表面吸附对CuCo2S4的影响很小,暗示了NH4+在充放电过程中的嵌入/脱出行为。后续的非原位测试和DFT理论计算共同阐明了NH4+与CuCo2S4之间的电荷存储机制:在放电状态下,NH4+插入到CuCo2S4晶体结构中并与附近S原子形成氢键;然后这个氢键充当电子传输通道,促进了电子从N原子上转移到Co原子上。相应的电化学反应机理描述如下:
要点四:总结与展望
将赝电容电极材料CuCo2S4和NH4+电解质相结合的方式制备了CuCo2S4@CP//AC AASC器件,这个AASC器件不同于先前报道的氢键储能,而是会表现出赝电容储能,从而显著提高能量密度。DFT理论计算和非原位表征阐明了CuCo2S4在NH4+电解质中的储能机制:NH4+在放电过程中插入CuCo2S4的晶格间隙中并与附近S原子形成氢键,并将Co3+还原成Co2+。因此,CuCo2S4@CP电极在1 A g-1时表现出了1512.91 C g-1的比容量,且保持了50.39%的倍率性能。此外,归因于NH4+与S原子之间氢键的协同作用,经过10,000次循环后,其循环稳定性达到了87.74%,库仑效率为99.76%。另外,制备的AASC器件呈现出74.17 Wh kg-1的超高能量密度和优异的循环稳定性,展现了良好的实际应用前景。本研究不仅为AASCs的发展提供了新的方向,而且有望显著提高超级电容器的能量密度,从而促进其商业化的进展。
文 章 链 接
Insights into Pseudocapacitive Mechanism of Aqueous Ammonium-Ion Supercapacitors with Exceptional Energy Density and Cyclability
https://doi.org/10.1016/j.ensm.2024.103474
通 讯 作 者 简 介
张振兴,博士,兰州大学物理科学与技术学院教授、博士生导师。2004年7月毕业于兰州大学物理、电子材料与器件工程专业;先后在美国加州大学伯克利分校、葡萄牙波尔图大学和比利时根特大学访问学习;2009年12月获兰州大学理学博士学位。自2017年起任兰州大学物理科学与技术学院教授,主要从事纳米材料的能源存储研究和应用,在国际知名学术刊物如Energy Storage Materials、ACS Nano、Advanced Functional Materials、Small等上发表论文130余篇。主持国家自然科学基金2项、甘肃省自然科学基金2项等项目。
吴忠帅,中国科学院大连化学物理研究所首席研究员(长聘),二维材料化学与能源应用研究组(508组)组长(508组),博士生导师,国家杰出青年科学基金获得者,英国皇家化学会会士。2018-2023年连续六年科睿唯安全球高被引科学家、爱思唯尔“中国高被引学者”、中组部引进海外高层次青年人才、超级电容产业联盟青年工作委员会副主任。主要从事二维材料化学与微纳电化学能源应用的基础研究,包括是石墨烯与二维材料、微型储能器件与微能源系统、超级电容器、先进电池(锂/钠/锌离子、锂金属/硫/空、固态电池)和能源催化。
迄今为止,已在Nature、Nat. Commun.(4篇)、Energy Environ. Sci.(10篇)、Adv. Mater.(16篇)、Adv. Energy. Mater.(17篇)、J. Am. Chem. Soc.(8篇)、Angew. Chem. Int. Ed.(6篇)、Natl. Sci. Rev.(5篇)、Energy Storage Mater.(18篇)、J. Energy Chem.(19篇)等期刊发表学术论文290余篇,被SCI引用36000余次(Google学术引用44000余次);单篇他引超过200次的39篇,单篇他引超过1000次的12篇,单篇他引最高2243次。申请发明专利120余项,授权28项。获国家自然科学奖二等奖(第四完成人,2017)、辽宁省自然科学奖一等奖2次(第四完成人,2017;第一完成人,2022)、第十三届辽宁青年科技奖、Nano Research新锐青年科学家奖(2020)、Energy Storage Materials青年科学家奖(2019)、中国科学院优秀导师奖(2021)、卢嘉锡优秀导师奖(2020)、中国科学院大学领雁银奖-振翅奖(2022)、中科院“百人计划”终期评估优秀(2018)等。
获批国际标准1项、国家标准2项。兼任Applied Surface Science副主编,J. Energy Chem.执行编委,Natl Sci. Rev.编辑工作组成员, Energy Storage Mater.、Science Bulletin、科学通报、Nanomaterials、Carbon Futures、Mater. Res.Express、Physics编委,Interdisciplinary Materials学术编辑,Chin.Chem. Lett.、eScience、Materials Futures、物理化学学报青年编委、Engineering通讯专家。
课题组网页:http://www.zswu.dicp.ac.cn
第 一 作 者 简 介
吴青峰,男,汉族,四川巴中人。2021年6月毕业于西华大学材料科学与工程学院,获工学学士学位。2021年9月进入兰州大学物理科学与技术学院攻读凝聚态物理专业,师从张振兴教授。目前的研究方向是微型储能器件。
添加官方微信 进群交流
SCI二氧化碳互助群
SCI催化材料交流群
SCI钠离子电池交流群
SCI离子交换膜经验交流群
SCI燃料电池交流群
SCI超级电容器交流群
SCI水系锌电池交流群
SCI水电解互助群
SCI气体扩散层经验交流群
备注【姓名-机构-研究方向】
投稿请联系contact@scimaterials.cn
点分享
点赞支持
点在看

