科学材料站
文 章 信 息
空间解耦策略促进碱性析氢用于高效太阳能驱动AEM电解槽
第一作者:崔明慧
通讯作者:区琼荣*,张树宇*
单位:复旦大学
科学材料站
研 究 背 景
利用可再生能源进行水分解是一种绿色氢气生产技术,被称为“绿氢”。阴离子交换膜(AEM)电解槽制氢能够实现高产量、高纯度和低能耗的氢气生产,具有广阔的应用前景,制氢效率主要取决于催化剂活性。对于析氢反应催化剂,贵金属铂具有最理想的氢吸附自由能,但在碱性环境中的活性不佳,这是因为反应需要水解离提供氢中间体,这通常成为限速步骤。为了最大程度发挥贵金属的活性,本研究将水解离步骤与氢气析出步骤在空间上进行解耦,设计并制备了专用基底,实现了在大电流密度条件下稳定高效析氢。在太阳能驱动的AEM电解槽(PV-EC)中,该催化剂的制氢电流密度高达1390 mA cm−2,太阳能制氢(STH)效率达到8.27%。本研究提出了一种提升贵金属催化剂活性与稳定性的策略,能够促进高效绿色制氢的发展。
科学材料站
文 章 简 介
近日,来自复旦大学的区琼荣和张树宇课题组,在国际知名期刊Journal of Materials Chemistry A上发表题为“Spatial decoupling strategy boosted alkaline hydrogen evolution for an efficient solar-driven an AEM electrolyzer”的文章。该文章提出了一种空间解耦策略,大幅提升贵金属催化剂在碱性环境中的析氢反应活性,创新地应用于太阳能驱动的AEM电解槽,实现高效绿色制氢。
图1 空间解耦策略机理示意图与催化剂的析氢反应性能
科学材料站
本 文 要 点
要点一:铂基催化剂在碱性环境中的HER活性受到H2O解离步骤的限制
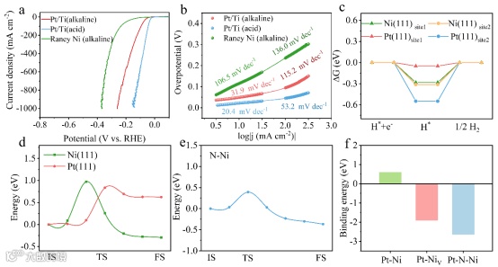
首先评估了Pt/Ti与商用雷尼镍在不同电解液中的HER活性,发现Pt/Ti在小电流密度下表现出优异的催化活性和低Tafel斜率,而大电流密度下在碱性电解液中的Tafel斜率显著增加,接近雷尼镍的值。计算结果显示Pt(111)表面的ΔGH*接近于0,但水的解离能达到0.84eV,说明Pt/Ti在大电流密度下受到水解离步骤的限制。为了最大程度发挥Pt的活性,本文提出将水解离过程和析氢过程在空间上解耦的策略,即由基底提供足量的H*以匹配Pt表面H2释放速率。进一步计算得到N掺杂Ni表面的水解离能仅为0.39 eV,并且与Pt有较强的结合,理论上能够提升催化剂在大电流密度下的催化活性和稳定性。
图2:催化剂在不同电解液的HER催化活性与DFT计算结果
要点二:等离子体结合分步电沉积制备低铂载量催化剂
基于理论指导,研究人员采用分步电沉积和等离子体改性技术,制备了负载在N掺杂Ni表面的铂纳米颗粒复合材料。电镜结果显示,在100 nm左右的球形纳米粒子表面,均匀分布着尺寸为2 nm左右的纳米颗粒。结合制备过程和元素映射图,可以确定较大的球形颗粒是Ni,表面的超细纳米粒子为Pt,Pt的质量分数仅为1.0 wt%。此外,Ni颗粒表面观察到了Ni3N,证明了表面N掺杂。XRD结果表明,第一步电沉积生成了Ni金属相,N2等离子体处理将部分Ni转化为Ni3N。N-Ni/NC的Ni 2p和N 1s XPS谱再次证明了N的掺杂以及Ni电子环境的变化。Pt-N-Ni/NC的Pt 2p XPS光谱对应于Pt的金属特性,N 1s XPS光谱观察到对应于Pt-N的峰,表明在电沉积过程中Pt与N成键。
图3:催化剂样品制备流程与形貌
图4:催化剂样品结构与元素价态
要点三:N掺杂Ni作为Pt的负载基底大幅提升催化剂性能与稳定性
在1 M KOH中测试了样品的HER催化活性性能,以Ni作为负载基底的样品(Pt-Ni/NC)作为对比。可以看到Pt-Ni/NC和Pt-N-Ni/NC只需23和15 mV的过电位即可达到10 mA cm-2的电流密度。随着电流密度增加,Pt-N-Ni/NC的过电位增长速率明显小于Pt-Ni/NC,达到1000 mA cm-2仅需149 mV过电位,而Pt-Ni/NC需249 mV。此外,催化剂长期稳定性表明Pt-N-Ni/NC的稳定性显著高于Pt-Ni/NC。与近年来报道的贵金属基HER催化剂性能相比,Pt-N-Ni/NC在小电流和大电流密度下均表现出极佳的性能。等离子体处理得到的N-Ni/NC基底具有双重作用:一方面,提供了快速水解离表面,确保足量H*供应;另一方面,与Pt形成稳定结合,保证催化剂的稳定性。
图5:催化剂样品在1 M KOH中催化析氢反应性能
要点四:高性能太阳能驱动AEM电解槽应用
为了评估催化剂在商业应用中的潜力,研究人员用AEM电解槽进行测试,催化剂有效面积分别为4 cm2和25 cm2。Pt-N-Ni/NC(-)||NiFeOOH(+)达到500、1000和2000 mA cm-2电流密度的电压分别为1.63、1.75 V和1.92 V。进一步测试了太阳能电池驱动的AEM电解槽(PV-EC)在自然光下的性能,电压和电流分别为1.99 V和5.57 A,计算得到太阳能制氢(STH)效率为8.27%。与近年来报道的太阳能驱动水分解系统相比,运行电流密度远高于其他报道值,具有最高的单位面积产氢量,表现出了巨大的应用潜力。
图6:催化剂样品在太阳能驱动AEM电解槽中的应用
科学材料站
文 章 链 接
Spatial decoupling strategy boosted alkaline hydrogen evolution for an efficient solar-driven an AEM electrolyzer
https://pubs.rsc.org/en/content/articlelanding/2024/ta/d4ta03872j
科学材料站
通 讯 作 者 简 介
区琼荣,复旦大学信息科学与工程学院教授、博士生导师,信息科学与工程学院光源与照明工程系副系主任,中国力学学会等离子体专业技术委员会委员,中国宇航学会电推进专业委员会委员。研究领域包括材料合成与表面功能化改性研究,以及空气净化技术孵化,主攻电解水制氢催化剂和超级电容器电极材料的合成、功能化改性及其量产技术,承担了多项相关的国家级项目;在空气净化技术方面与企业界有广泛合作,有多项技术成果在企业推广应用。
张树宇,复旦大学信息科学与工程学院、复旦大学光伏科学与技术全国重点实验室副研究员、硕士生导师。在功能材料合成及改性领域有丰富科研和工程经验,主持多项国家级、省部级科研项目,编写教材2部,在Chemical Society Reviews等国际顶级期刊发表SCI论文60余篇,包括多篇封面论文、邀请论文和ESI 1%高被引论文,研究成果被国内外多家科研机构和专业媒体报道。国家发明专利授权7项,绿氢催化剂成果于2022和2023年连续两年获中国国际高新技术成果交易会优秀产品奖。
添加官方微信 进群交流
SCI二氧化碳互助群
SCI催化材料交流群
SCI钠离子电池交流群
SCI离子交换膜经验交流群
SCI燃料电池交流群
SCI超级电容器交流群
SCI水系锌电池交流群
SCI水电解互助群
SCI气体扩散层经验交流群
备注【姓名-机构-研究方向】
投稿请联系contact@scimaterials.cn
点分享
点赞支持
点在看

