文 章 信 息
多维度点击反应构建高熵固态聚合物电解质增强锂离子输运动力学
第一作者:叶方敏 王智兴 李梦成
通讯作者:叶方敏*,刘爱萍*,Hee-Tak Kim*,王健*
单位:浙江理工大学,韩国高等科技学院(KAIST),卡尔斯鲁厄理工学院(KIT)
研 究 背 景
当前,传统液体锂离子电池表现比能密度不足和液体电解液易燃而出现的安全隐患等问题,基于锂金属为负极的固态电池因具有高安全性和高比能密度等优点得到了广泛的研究。在前期研究中,研究团队发现构筑界面层或者调控离子传输动力学能够显著改善锂金属的沉积行为(Adv. Mater. 2023, 35, 2302828; Adv. Mater. 2024, 2402792; Angew 2023, 135, e202311693; Adv. Funct. Mater. 2023, 2302624; Adv. Funct. Mater. 2023, 2305674; Adv. Funct. Mater. 2023, 33, 2212499; ACS Nano 2023, 17, 1653; Adv. Funct. Mater. 2022, 31, 2110468; ACS Nano 2022, 16, 17729; Energy Storage Mater. 2022, 52, 210; Adv. Funct. Mater. 2021, 31, 2007434; Adv. Sci. 2022, 2202244; Nano Lett. 2022, 22, 8008; Nano Lett. 2021, 21, 3245; Energy. Environ. Mater. 2022, 5, 731)。
为构建高比能密度固态锂金属电池,聚合物电解质作为被推崇的电解质成员之一(另有无机氧化物及硫化物电解质等)具有力学性能优异,与电极兼容性高及阻燃性好而备受青睐。但是传统的聚合物基(比如PEO基、PVDF基及PAN基)固态电解质的热稳定性差和离子电导率低,仍阻碍着聚合物固态电池的商业化进程。为了解决这些不足,目前已报道三条主要解决途径如引进无机电解质导体、发展凝胶电解质及聚合物交联等。但是要同时解决电池界面稳定性、电解质机械性能好及电导率高仍然面临巨大挑战。为助推固态锂金属电池的发展,提出构建多组分体系的聚合物(混合或交联策略)是一条可行的策略。通过这种策略,可增加聚合物链的混乱度,减少锂离子跳跃式的传输,增加锂离子迁移数及离子电导率,同时交联亦可增强电解质膜的力学性能。但是多成分体系的设计面临成分的选择和溶剂的筛选等挑战。
文 章 简 介
近日,来自浙江理工大学的叶方敏博士和刘爱萍教授、韩国高等科技学院(KAIST)Kee-Tak Kim教授与德国卡尔斯鲁厄理工学院(KIT-HIU)王健博士(洪堡学者)合作,在国际知名期刊Nano Letters上发表题为“High-Entropy Polymer Electrolytes Derived from Multivalent Polymeric Ligands for Solid-State Lithium Metal Batteries with Accelerated Li+ Transport.”的观点文章。该文章提出了多维度点击的交联反应构建高熵固态聚合物电解质增强锂金属固态电池中锂离子的输运策略,可助力聚合物固态电解质的发展来构建高性能固态锂金属电池。
图1. 高熵聚合物电解质增固态锂金属电池性能
本 文 要 点
要点一:高熵聚合物固态电解质的合成
目前聚合物电解质主要包括PAN基,PEO基、PMMA基和PVDF-HFP基等体系,这些单一聚合物和单一锂盐混合形成的固态聚合物电解质通常表现聚合物的结晶度高,内部自由体积大,锂离子跳跃式传输占居主导而导致锂离子电导率低;锂离子解离能力弱,离子迁移数低,所构建的聚合物电解质通常表现出界面极化严重,倍率能力差及电池比容量低。解决传统固态聚合物电解质的方法有主要有三类:引进无机陶瓷粒子到聚合物体系增强锂离子电导率;添加离子液体形成聚合物凝胶电解质和聚合物交联或多种聚合物分子混合增强锂离子输运和电解质膜的性能。
图2.维度点击反应交联构建高熵聚合物的可能机理及其表征。
要点二:高熵聚合物电解质的物化特性
相比于两种聚合物分子间单一位点的交联形成网络结构或者多成分聚合物分子间的接枝增加混合熵,提出利用两种聚合物分子基团间多位点交联构建高熵聚合物电解质,有利于破坏聚合物分子链的有序排列,减少内部自由体积,既可以降低结晶度增强锂离子沿着聚合物分子链间传输,更复杂的交联网络更多增加了锂离子的传输通道,复杂无序的聚合物分子网络可以增加锂盐均匀分散性,提高锂离子迁移数。交联网络的复杂网络可提高聚合物膜的模量,有利于抑制锂枝晶的生长。高熵聚合物电解质表现出更优秀的综合性能。
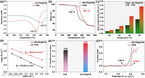
图3. 多维度交联形成的高熵聚合物电解质物理性能表征
要点三:高熵聚合物电解质全电池性能测试
利用多维度交联构建聚合物高熵聚合物固态电解质的策略,重点考虑加强聚合物分子链段的无序度而降低聚合物的结晶性;同时增加锂离子的输运路径并缩短锂离子的运输路程;另外,可以增加高熵电解质的功能性,比如引进极性集团加强对锂盐中阴离子的作用,提高锂离子的解离能力;引进能与锂金属表面形成桥键的功能性集团,改善电极和电解质的界面,同时综合改善电化学窗口和机械性能,实现具有高安全性高能量密度金属锂电池,以加速其在商业市场中的应用。
图4. 高熵电解质展现高性能固态锂金属电池的应用潜力
文 章 链 接
Title: High-Entropy Polymer Electrolytes Derived from Multivalent Polymeric Ligands for Solid-State Lithium Metal Batteries with Accelerated Li+ Transport.
https://pubs.acs.org/doi/epdf/10.1021/acs.nanolett.4c00154
通 讯 作 者 简 介
叶方敏,博士,硕士导师。2013年3月浙江大学攻读博士学位,从事纳米材料制备和储能器件研究;2013年7月在中科院苏州纳米所做博士后研究,从事新型锂离子电池材料的研究;2016年4月开始在韩国高等科技学院(KAIST)从事博士后,从事锂电池正极材料的开发。2018年9月进入浙江理工大学理学院,并组建能源材料及锂电池研究团队,从事科研和教学工作。截止目前已在Adv. Mater., Adv. Sci., Nano Lett., Adv. Funct. Small, JMCA等国际著名期刊发表SCI 论文43篇,获得授权专利4项。同时担任Small, Adv. Sci., Sci. Report, Adv. Mater. Techno. Langmiur等期刊的独立审稿人。
刘爱萍, 教授,博士生导师,浙江省杰出青年基金获得者,入选浙江省“万人计划”青年拔尖人才,省高校“领军人才培养计划”高层次拔尖人才;新加坡南洋理工大学博士后,美国德克萨斯大学奥斯汀分校访问学者。分别获哈尔滨工业大学材料学专业学士、硕士和博士学位(师从韩杰才院士),2008年进入浙江理工大学理学院工作,主要从事多模态柔性传感器及智能触觉感知器件研究,传感驱动一体化材料及紫外光电探测器件的研究。主持国家自然科学基金项目4项、省部级科研项目8项。至今已发表SCI收录论文100多篇,其中高被引论文8篇,被国内外同行引用3000余次,H因子33,授权中国发明专利40余项。获中国商业联合会科技进步奖一等奖、中国纺织工业联合会纺织高等教育教学成果三等奖、浙江省第三届高校教师教学创新大赛三等奖。
Hee-Tak Kim, 博士&教授,博士生导师,在韩国高等科技学院KAIST取得博士学位,先后作为首席科学家在NESS和Samsung SDI等从事锂电池研发,2013年加盟KAIST化工学院从事教学和科研工作。截至目前,已在Nat. Energy, Nat. Commun., Adv. Mater. 等国际期刊发表SCI论文近200篇。
王健 博士,洪堡学者,现工作于德国KIT-HIU电化学能源研究所,曾主持德国洪堡研究项目,参与国家自然科学基金原位表征重点项目、科技部重点研发项目。研究方向为高催化性能二次电池构筑及原位表征手段。发表论文80余篇,其中以第一/通讯作者在Adv. Mater.(2)、Angew. Chem.、Energy Environ. Sci.、Nano Lett.(3)、ACS Nano(3)、Adv. Energy Mater.、Adv. Funct. Mater. (6)、Adv. Sci.(2)、Energy Storage Mater. (5)、Nano Energy、InfoMat、Energy Environ. Mater.、ACS Energy Lett.等期刊发表论文50余篇,担任Nat. Commun.、Adv. Mater.、Angew.、Adv. Energy Mater.、Adv. Sci.、Adv. Funt. Mater.、Energy Storage Mater.等高水平期刊独立审稿人。授权13项国家发明专利,在国际会议多次汇报研究进展,多次受邀在国际会议电化学 ECS meeting、欧洲材料大会(EMRS)、ChinaNano 2017和ChinaNano 2019报告。
E-mail: jian.wang@kit.edu、wangjian2014@sinano.ac.cn
添加官方微信 进群交流
SCI二氧化碳互助群
SCI催化材料交流群
SCI钠离子电池交流群
SCI离子交换膜经验交流群
SCI燃料电池交流群
SCI超级电容器交流群
SCI水系锌电池交流群
SCI水电解互助群
SCI气体扩散层经验交流群
备注【姓名-机构-研究方向】
投稿请联系contact@scimaterials.cn
点分享
点赞支持
点在看

