文 章 信 息
高熵O3型正极赋予钠离子电池低温性能
第一作者:曾志勇, Aierxiding Abulikemu
通讯作者:Yoshiharu Uchimoto*,韩杰*,王钦超*
单位:扬州大学,京都大学
研 究 背 景
能源储存系统对于利用可再生能源和减少碳排放至关重要。钠离子电池(SIBs)以其低成本和丰富的资源而被视为大规模能源储存中锂离子电池(LIBs)的一个重要替代品,特别是在太阳能/风能发电和智能电网中。但是因为Na+的尺寸和重量更大,导致能量密度低,动力学速度缓慢,其实际应用面临挑战。本研究旨在开发优异性能的钠离子电池正极材料,以提供高性能和增强的循环耐久性。最近的研究表明,人们对高熵氧化物(HEO)正极越来越感兴趣。高熵正极材料具有独特的拓扑结构,优异的电化学性能。通常情况下, TMO6八面体的无序排列通过“熵稳定效应”以固溶体的形式稳定了晶格。“熵稳定效应”可以延缓和缓解复杂的相变,实现从O3到P3的高度可逆相变,从而获得优异的循环性能和快速循环能力,并有望在低温环境下实现高容量和延长循环寿命。
文 章 简 介
近日,扬州大学的王钦超博士、韩杰教授与京都大学的Yoshiharu Uchimoto教授合作,在国际知名期刊Nano Energy上发表题为“High-Entropy O3-Type Cathode Enabling Low-Temperature Performance for Sodium-Ion Batteries”文章。在这项工作中,他们重点研究了如何合理设计HEO正极材料以实现优异钠嵌入/脱出性能。HEO O3型正极的设计和合成围绕两个关键标准展开:高容量和高稳定性。增强活性过渡金属的氧化还原反应对提高容量至关重要,这是由它们的理论态密度(DOS)电子能级决定的。另一方面,提高O3结构在循环过程中的稳定性需要对TMO6八面体的化学环境进行微调。
将阳离子大小的差异减小到15%以内可以促进TMO6八面体的无序排列。在这两个标准的指导下,他们合成了一系列HEO O3正极材料,其中O3-Na[FeCoNiTi]1/6Mn1/4Zn1/12O2 (FCNTMZ1/12)表现出最优异的电化学性能,值得注意的是,合成的FCNTMZ1/12正极表现出优异的低温性能,在0.1C和1C下分别提供109.6 mAh g-1和91.1 mAh g-1的容量。这项工作提出了一种设计和合成HEO正极的新策略,为实现高性能钠离子电池提供了有价值的见解。
本 文 要 点
要点一:高熵 O3正极材料的设计
高熵 O3型正极材料由五种或五种以上金属元素以几乎相等的比例组成,由于其独特的储能性能而引起了人们的极大兴趣。在设计和合成HEO O3型正极时,必须关注两个关键标准:高容量和高稳定结构。为了获得高可逆容量,活性过渡金属(TMs)氧化还原对的能级选择是匹配储钠电压窗口的关键。利用实验电压曲线分布和DOS,构建TMs的能级示意图。在相同的层状结构框架内,TMs的电子能级顺序为:Mn4+/3+>Ni3+/2+>Ni4+/3+>Fe4+/3+> Co4+/3+。此外,相对于活性TMs,阳离子尺寸差应小于15%。通常选择阴影区域中的过渡金属离子调节TMO6八面体的化学环境,从而形成TMO2层内的无序排列。此外,Mn3+表现出强烈的Jahn-Teller效应,导致晶格畸变和反复循环退化。加入非活性和低价金属,如Zn2+、Li+和Mg2+,有助于稳定Mn4+状态。HEO正极中的不同元素增强了“熵稳定效应”。同时掺杂惰性Ti4+和Zn2+进一步细化了局域电子结构。基于上述标准,合成的Na[FeCoNiTi]1/6Mn1/4Zn1/12O2 (FCNTMZ)正极表现出优异的储钠性能,值得进一步研究。
图1. HEO正极设计准则
要点二:HEO O3 FCNTMZ正极储钠性能
在25 ℃下,FCNTMZ1/12正极的可逆比容量为127.3 m Ah g-1,首次库伦效率约为83.0 %。-20 ℃时,FCNTMZ1/12正极在0.1 C下仍能提供109.6 mAh g-1的容量,约为其在25 ℃时容量的86.1%。FCNTMZ1/12正极在25 ℃和-20 ℃下0.1C经过100次循环后分别能保持其容量的80%和92%。即使在5C的大电流倍率下,FCNTMZ1/12正极在25 °C下1000次循环后,容量保持为69%。在-20 ℃下, 1C 循环600和1000次后分别保持初始容量的90.2%和87.8%,表明其在低温下具有优异的稳定性。
图2. HEO O3 FCNTMZ正极储钠性能
要点三:HEO O3 FCNTMZ正极充放电过程结构演变
为了详细研究结构演变,在0.1C倍率下进行了原位XRD实验。充电时O3相的(003)和(006)峰向较低角度移动,O3相的强度减小,在15.8°处出现一个新的峰值,表明P3相的出现。在3.6 V时,初始的O3相衍射峰完全消失,P3相占主导地位。在第一次放电中,结构演变与第一次充电相反。晶格参数a(b)和c的恢复到初始状态,表明FCNTMZ1/12结构转变是高度可逆的。在第二次充电中,结构变化与首次充电时观察到的完全一致。在整个充放电过程中都没有涉及到O3'、O3"和P'3相恶化结构的可逆性,影响循环稳定性。钠离子嵌入/脱出前后的晶胞体积变化仅为3%,确保了出色的电化学性能。
图3. FCNTMZ正极结构演变。
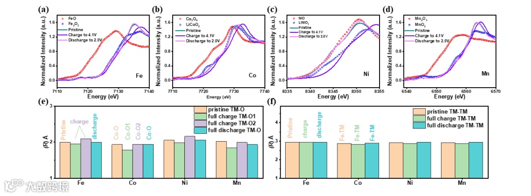
要点四:HEO O3 FCNTMZ正极电荷补偿机理
为了研究FCNTMZ1/12正极中活性元素的电荷补偿,分别在原始态、完全充电( 4.1 V )和完全放电( 2.0 V )状态下进行了非原位XAS测量。在首次充电/放电过程中,Ni2+/Ni4+,Fe3+/ Fe3.6+和Co3+/Co3.6+氧化还原电对的总可逆容量为127 mAh g-1。此时,P3结构中TM-O1和TM-O2键的长度分别减少了约2.5-9.9 %和0.5-5.4 %。同时,TM - TM距离减少约0.3 - 2.1 %。与TM - O2距离相比,TM-O1距离的减小更为显著,表明P3结构中O1引起了强烈的应力变化。此外,即使没有活性的Mn4+在Mn-O和Mn-TM键中也会发生收缩,这表明它参与了整体结构的重排。在放电到2.0 V,P3结构恢复为O3结构,TM-O和TM-TM键之间的距离恢复到原来的长度。这与原位XRD观察到的可逆结构转变和较小体积变化是一致的。所选阳离子的尺寸差异小于15 %,容易导致TM-O和TM-TM键长变化减小,进而增强短程局域环境下的结构稳定性。
图4. FCNTMZ正极电荷补偿机理
要点五:HEO O3 FCNTMZ正极全电池及动力学性能
在25 ℃和- 20 ℃下,通过循环伏安法和恒电流间歇滴定技术测量Na+的扩散系数来表征FCNTMZ1/12正极材料的动力学性能。计算得到的DNa+值从25 ℃时的10-11 cm2 s-1降低到-20 ℃时的10-12 cm2 s-1。NFCMTZ1/12正极的高熵结构不仅保持了O3相的稳定性,而且最大限度地减少了Na+脱出/嵌入过程中的O3-P3结构转变,从而促进了更有效的Na+传输。为进一步探究其应用前景,以FCNTMZ1/12为正极,硬碳为负极构建全电池。在30 mA g-1的电流密度下,全电池提供约112 mAh g-1的容量,循环50次后仍保留其初始放电容量的79%。这些优异的电化学性能进一步验证了O3-FCNTMZ1/12作为钠离子电池正极材料的潜力。
图5:HEO O3 FCNTMZ正极全电池及动力学性能
总 结 与 展 望
综上所述,确定了HEO O3正极设计和合成的两个关键标准:高性能和稳定的正极结构。增加电化学窗口内具有电子能级的活性TMs的含量可以提高容量。同时,保持阳离子尺寸差异在15%以下,可以保证结构的稳定性。他们合成了多种HEO O3相正极材料。其中,O3-FCNTMZ1/12正极材料在0.1 C下表现出127.3 mAh g-1的可逆容量,具有优异的长循环稳定性(在5C下循环1000次后保持69 %)和出色的倍率性能。由于其HEO构型,O3-FCNTMZ1/12正极在低温下表现出优异的性能。在-20 ℃下,其在1C下保持稳定的91.1 mAh g-1可逆容量,1000次循环后仍保留约88 %的容量。此外,DNa+仅从25℃时的14.4 × 10-12 cm2 s-1降低到- 20 ℃时的3.06 × 10-12 cm2 s-1。原位XRD测量证实FCNTMZ1/12经历了从O3到P3的可逆结构转变,体积变化小于3%。非原位XAS结果表明,电荷补偿由Ni2+/Ni4+、Fe3+/Fe3.6+和Co3+/Co3.6+提供。此外,TM-O距离收缩小于9.9 %,TM-TM距离收缩2.1%,这有效地抑制了结构重排,缓解了体积膨胀。这些标准为设计和开发高性能钠离子电池的HEO正极,特别是低温应用提供了一种战略方法。
文 章 链 接
High-Entropy O3-Type Cathode Enabling Low-Temperature Performance for Sodium-Ion Batteries
https://www.sciencedirect.com/science/article/pii/S2211285524005615?via%3Dihub#fig0010
通 讯 作 者 简 介
王钦超博士,2018年毕业于复旦大学材料科学系材料物理与化学专业,获博士学位,继续在复旦大学从事博士后研究工作,2019年赴美国Brookhaven National Laboratory访问。2021年回国,以校特聘教授引进扬州大学化学化工学院。2022年获得江苏省双创博士,2023年江苏省科技副总。主要从事锂离子电池和钠离子电池正极材料,固态电解质研究,利用同步辐射技术研究二次电池正极材料的物理和化学问题。主持完成国家自然科学基金青年项目,中国博士后面上基金。以第一作者或通讯作者在J. Am. Chem. Soc.,Nat. Commun.、Adv. Energy Mater.、Adv. Sci.、Nano Energy等期刊发表多篇论文,获授权中国发明专利3项。
韩杰教授,博士生导师,国家优青获得者,扬州大学副校长。2008年毕业于扬州大学化学化工学院,获理学博士学位,博士毕业后留校任教;2012年美国加州大学河滨分校访问学者。长期从事导电高分子功能材料的组装与催化,刺激响应性功能两亲分子的合成、组装及应用,功能复合材料催化剂的结构设计、合成及应用等方面的研究。先后主持国家自然科学基金4项,在J. Am. Chem. Soc.、Adv. Mater. 、Prog. Polym. Sci.、Chem. Commun.等杂志发表SCI收录论文100余篇。2010年获全国百篇优秀博士论文提名奖,2012年获教育部自然科学二等奖(排名第二),2013年获第一届“东方胶化”杯全国胶体与界面年化学优秀青年教师一等奖;2016年获江苏省高校“青蓝工程”中青年学术带头人培养对象,2017年入选江苏省第十四批“六大人才高峰”高层次人才计划,同年获扬州市有突出贡献的中青年专家称号,2020年获第三届江苏省化学化工学会-戴安邦青年创新奖。
课 题 组 介 绍
扬州大学电化学储能课题组由韩杰教授领导,团队成员包括王钦超博士、王超博士、薛攀博士和李小阁博士。扬州大学电化学储能课题组致力于新能源储能材料与器件及相关基础科学问题研究,主要包括锂离子电池和钠离子电池电极材料的开发和研究,锂离子固态电解质、同步辐射 X 射线技术研究电极材料储能机理、开发原位光学显微与荧光技术。本课题组将进一步推进和加强新能源储能材料和器件的开发与研究,推动了新能源储能领域的发展。
添加官方微信 进群交流
SCI二氧化碳互助群
SCI催化材料交流群
SCI钠离子电池交流群
SCI离子交换膜经验交流群
SCI燃料电池交流群
SCI超级电容器交流群
SCI水系锌电池交流群
SCI水电解互助群
SCI气体扩散层经验交流群
备注【姓名-机构-研究方向】
投稿请联系contact@scimaterials.cn
点分享
点赞支持
点在看

