第一作者:Kun Li(李锟)
通讯作者:Anjun Hu(胡安俊), Jianping Long(龙剑平)
通讯单位:成都理工大学
科学材料站
研 究 背 景
高能量密度锂金属电池作为能源绿色低碳转型的核心技术之一,有望推动全球能源体系向更加清洁、高效方向迈进。然而,锂金属负极(LMA)在实际应用中的核心挑战在于脆弱的固体电解质界面相(SEI)的不稳定形成与锂枝晶的无序生长。这些问题不仅导致了电池的库仑效率(CE)显著下降,限制了电池的循环寿命,还潜藏着高安全隐患,严重阻碍了锂金属电池技术的商业化应用。
科学材料站
文 章 简 介
基于此,成都理工大学胡安俊研究员&龙剑平教授课题组在国际期刊Chemical Engineering Journal上发表题为“Elucidating the role of polar functional groups in fluorinated polymer artificial interphase for stable lithium anodes”的研究工作。该研究聚焦于氟化聚合物人工固态电解质界面(FPASEI)的开发,旨在为锂金属电池的稳定运行提供解决方案。该工作采用热自由基聚合技术,构建了一个由2,2,2-三氟乙基丙烯酸酯(TFEA)、聚乙二醇二丙烯酸酯(PEGDA)、三氟甲磺酰亚胺(LiTFSI)组成的交联网络状FPASEI膜,实现了稳定的锂金属负极,并揭示了SEI中极性官能团稳定锂负极的作用机制。
图1. FPASEI制备过程及原理示意图
科学材料站
本 文 要 点
要点1:FPASEI的制备和特性分析
首先,前驱体溶液在60°C下进行热聚合反应,形成固体聚合物FPASEI。傅里叶变换红外光谱(FTIR)没有明显的C=C峰,表明其聚合反应已经完成。通过纳米压痕和AFM测试发现FPASEI具有良好的力学性能和表面平整性。其次,FPASEI显示出较高的离子电导率(0.87 × 10−3 S cm−1)和电子电阻率(2.17 × 104 Ω cm)。Tafel和Arrhenius曲线表明引入FPASEI后加快了电极的反应动力学,实现了增强的离子迁移数。
图2. (a)PEGDA、TFEA、前驱体溶液和FPASEI的傅立叶变换红外光谱。(b) bare-Cu和FPASEI-Cu的纳米压痕测试。(c) FPASEI-Li的AFM图像。(d) FPASEI的离子电导率。(e) NSEI-Li和FPASEI-Li在5 mA电流的电压响应。(f) bare-Li和FPASEI-Li对称电池CV测试和相应拟合塔菲尔曲线。(g) bare-Li和FPASEI-Li对应的阿伦尼乌斯曲线和活化能比较。(h、i) bare-Li和FPASEI-Li对称电池的电流-时间曲线。插图显示了直流极化前后的奈奎斯特图
要点2:锂金属沉积/剥离行为研究
通过半电池评估FPASEI-Li和bare-Li的电化学性能,研究富LiF的SEI对界面稳定性的影响。同时,利用原位光学显微镜和扫描电镜证明了FPASEI的均匀锂金属沉积/剥离行为。
图3. (a) bare-Li和 FPASEI-Li的对称电池的循环稳定性。(b) 对称锂电池在不同电流密度下的电压曲线。原位光学显微镜观察在 1 mA cm-2电流密度下放电 0、2、4、6、8 分钟后,bare-Li(c)和 FPASEI-Li(d)负极上的锂沉积。(e-h) bare-Li (e、g)和FPASEI-Li负极(f、h)上锂沉积的俯视图(e、f)和横截面(g、h) SEM 图像。(i) 裸锂电池和FPASEI-Li上的锂沉积示意图
要点3:FPASEI 的模拟计算
为了进一步探索分解机制,通过一系列模拟来研究功能单体与锂盐之间的相互作用。第一步是通过密度泛函理论(DFT)分析能量变化。比较了几个相关分子的最低未占据分子轨道(LUMO)和最高占据分子轨道(HOMO)能级。与碳酸乙烯酯(EC)和碳酸二乙酯(DEC)等溶剂分子的LUMO能级相比,LiTFSI的LUMO能级明显较低,因此成为所需SEI成分的关键来源。这一发现意味着两个关键点:首先,LiTFSI在电池循环过程中很容易发生还原(即电子受体)。其次,与溶剂分子相比,LiTFSI表现出更高的还原敏感性,这使得LiTFSI成为SEI形成的主要驱动力,而不是溶剂分子对SEI起主导作用。在原子分子动力学(ab initio molecular dynamics,AIMD)450 fs的平衡过程中,基底中形成了LiF。利用AIMD模拟时间,我们监测了LiTFSI分解的每个步骤。Bader电荷分析表明,在100 ps时,+0.98e的电荷从C=O基团转移到TFSI-,导致N-S键断裂。随后,在250 ps时,由于电子增益(e-),CF3-基团和SO2CF3-片段之间发生解离。到450 ps左右时,CF3-基团进一步分解为C-F和F-,最终与Li+结合生成LiF。对吸附能和过渡态计算的分析得出,TFEA的致密配位基团促进了Li+的吸收/分散,并通过均匀的FPASEI层加速了Li+从SEI向锂金属表面的链间迁移。这些发现证实,亲锂聚合物SEI层能有效地使Li+均匀而快速地迁移。
图4. (a) 不同成分的HOMO/LUMO能级和电子云密度分布的DFT分析。(b) 电子密度FPASEI处LiTFSI和衬底的静电位分布。(c至f) AIMD模拟瞬时Bader电荷的快照:(c) 0 fs、(d) 50 fs、(e) 200 fs和 (f) 450 fs。(g) Li+迁移能量的理论计算。(h) 链间和 (i) 链内的Li+迁移行为模型
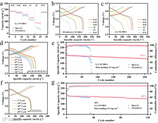
要点4:全电池的电化学性能
通过Li负极和NCM811正极组装全电池进一步评估FPASEI-Li和bare-Li的电化学性能,研究富LiF的SEI对界面稳定性的影响。与Li||NCM811相比,FPASEI-Li||NCM811具有更高的循环寿命、倍率性能以及高温热稳定性。
图5. (a) Li||NCM811和FPASEI-Li||NCM811电池的倍率性能。(b) Li||NCM811和 (c) FPASEI-Li||NCM811电池在不同电流密度下的充放电电压曲线。(d) FPASEI-Li||NCM811电池在不同循环圈数的电压曲线。(e) 两类电池的长循环性能。(f)FPASEI-Li||NCM811全电池在70℃下不同循环圈数的电压曲线。(g) Li||NCM811全电池在70°C下的循环性能
科学材料站
结 论
本研究通过构筑氟化聚合物交联网络状FPASEI膜,实现了稳定的锂金属负极,并阐明了极性官能团在含氟聚合物人工SEI中的作用机制。
科学材料站
文 章 链 接
Kun Li, Zhen Wang, Borui Yang, Ting Li, Bin Li, Jiahao Chen, Zhongfu Yan, Miao He, Anjun Hu, Jianping Long
Elucidating the role of polar functional groups in fluorinated polymer artificial interphase for stable lithium anodes
https://doi.org/10.1016/j.cej.2024.152527
添加官方微信 进群交流
SCI二氧化碳互助群
SCI催化材料交流群
SCI钠离子电池交流群
SCI离子交换膜经验交流群
SCI燃料电池交流群
SCI超级电容器交流群
SCI水系锌电池交流群
SCI水电解互助群
SCI气体扩散层经验交流群
备注【姓名-机构-研究方向】
投稿请联系contact@scimaterials.cn
点分享
点赞支持
点在看

