科学材料站
文 章 信 息
具有氢氟酸清除功能的功能硅复合聚合物电解质用于准固态锂金属电池
第一作者:赵历
通讯作者:徐林*
单位:武汉理工大学
科学材料站
研 究 背 景
随着新能源产业的快速发展,对高能量密度电池的需求愈发迫切。锂金属具有最高的质量能量密度(3860 mAh g-1)和最低的电化学电位(-3.04 V vs标准氢电极),被认为是最有前途的高能量密度电池负极材料之一。然而,锂金属表面会形成锂枝晶,从而损害锂金属电池(LMBs)的安全性。锂枝晶的形成是由于不稳定的固体电解质界面(SEI)导致锂离子溶解和沉积不均匀。SEI的腐蚀被认为是SEI不稳定的主要原因之一。因此,SEI的腐蚀阻碍了锂金属作为负极的实际应用。氢氟酸(HF)是导致SEI降解的主要因素,六氟磷酸锂(LiPF6)水解会产生HF,而电池中的H2O既来自原材料,也来自制备环境,几乎不可能完全清除,另外H2O也会对SEI造成损伤。因此,SEI的完整性被破坏,增加了其内部对锂离子传输的阻力,导致电池循环不良。此外,HF还会加剧过渡金属离子的溶解,导致正极的结构崩溃。同时,过渡金属物质会沉积在负极表面,使SEI降解。因此,寻找一种能够稳定清除 HF 和 H2O 并将副产物转化为对电池有益的成分的策略仍然是一个持续的挑战。
科学材料站
文 章 简 介
近日,来自武汉理工大学徐林教授等人在《Journal of Materials Chemistry A》上发表题为“A functional silicon composite polymer electrolyte with hydrofluoric acid scavenging for quasi-solid-state lithium metal batteries”的研究文章。该文章提出了一种由聚偏氟乙烯-六氟丙烯 (PVDF-HFP)、聚环氧乙烷 (PEO) 和 Si 纳米颗粒组成的功能性复合聚合物电解质 (FCPE)用于清除杂质(包括 HF 和 H2O),并将副产物形成具有高锂离子电导率的 SEI 层(图 1)。结果表明,Li‖Li 对称电池在水含量为 8078 ppm(VH2O:V电解液 =1.0%)的极端条件下仍能稳定循环 800 小时。采用 FCPE 的全电池在 1.0 C 下经过 500 次循环后容量保持率为 90.2%。
科学材料站
本 文 要 点
FCPE可以清除HF和H2O,同时将副产物转化为对SEI有益的组分。
FCPE 中的 Si 纳米颗粒与 HF 反应生成 LiF、LixSiOy 和 Li2SiF6,它们沉积在锂金属表面。LiF 是一种具有良好锂离子传导性的材料,可以提高锂离子的沉积和溶解能力。此外,锂硅酸盐具有高离子传导性和机械强度可提高长期循环稳定性。从而形成具有高锂离子传导性的 SEI 层,实现稳定且性能良好的锂金属电池。
图1 具有杂质清除功能的FCPE通过与HF反应构建稳定界面的示意图。
通过FCPE构建稳定的SEI层。
FCPE的红外光谱与DSC测试结果表明FCPE中PEO的结晶度显著降低,有利于离子传输,从而提高了其离子导电性。通过深入的XPS和循环伏安法(CV)分析,表明Si纳米颗粒得到良好保护,FCPE具有良好的稳定性。
图 2 FCPE 的表征。a) Si 纳米粒子的 SEM 图像。b) Si 纳米粒子的 TEM 图像和 EDS 映射。c) FCPE 的 SEM 图像。d) CPE 和 FCPE 的 FT-IR 光谱。e) CPE 和 FCPE 的 DSC 分析。f)-g) FCPE 的 O 1s 和 Si 2p XPS 光谱。
FCPE在0.1%和0.5%含水量的电解液中能够有效清除HF和H2O,但在1.0%含水量时效果不显著。这是因为高含水量导致LiPF6大量水解生成HF,FCPE无法在短时间内完全清除。XPS和EDS分析表明,FCPE表面生成了HxSiFy和HxSiOy,这有助于形成均匀的SEI层,进一步提升电池性能。实验最终证明FCPE能有效清除电池中的HF和H2O,提高电池的稳定性。
图3 FCPE的除杂性能表征及除杂后表面组分分析。a)-d)不同H2O含量的基础电解液储存24h后的19F NMR谱。e)电池循环后的基础电解液的19F NMR谱。f)-h)将FCPE加入到储存24h的电解液中,得到不同H2O含量的基础电解液的19F NMR谱。i)-l) FCPE的C 1s(i)、O 1s(j)、F 1s(k)和Si 2p(l) XPS谱。
含有FCPE的Li‖Li对称电池在水含量为8078 ppm(VH2O:V电解液=1.0%)的极端条件下可以稳定循环800小时。
为了研究FCPE电池的电化学性能,通过电化学阻抗谱(EIS)测试其离子电导率,发现FCPE的离子电导率高于CPE。线性扫描伏安法(LSV)显示,FCPE的电化学窗口从4.5 V扩展到5.1 V,增强了Li‖Li对称电池的稳定性。此外,FCPE中锂离子迁移数(tLi+)增加到0.27。含有不同水含量(0.0%、0.1%、0.5%、1.0%)的基础电解液被吸附到FCPE上组装Li‖Li对称电池,并在电流密度0.1 mA cm-2下测试循环稳定性。结果显示,含有FCPE的电池在高含水量下循环稳定性优于CPE。即使电流密度加倍,含有FCPE的电池仍能稳定循环1300小时,而含有CPE的电池仅能循环276小时。此外,含有FCPE的Li‖Li对称电池在0.1到1.0 mA cm-2的循环中表现出更好的稳定性和较低的阻抗,表明在锂金属表面形成了稳定的SEI层。通过计算锂离子在SEI中的传输活化能(Ea),发现FCPE电池的Ea较低,为47.33 kJ mol-1,而CPE电池的Ea较高,为63.75 kJ mol-1。这表明FCPE的SEI层更有利于锂离子的传输。综上所述,FCPE可以有效清除HF和H2O,提升电池的电化学性能。
图4 使用FCPE的Li‖Li对称电池的电化学性能。a) FCPE的电化学阻抗谱(EIS)图。b)使用FCPE的电池的LSV曲线。c)使用FCPE的Li‖Li对称电池的直流极化曲线。d)-g)在0.1 mAcm-2下,使用不同浓度H2O电解质的Li‖Li对称电池的循环稳定性。h)电流密度从0.1到1.0 mA·cm-2范围内,Li‖Li对称电池的倍率性能。i)带有FCPE的Li‖Li对称电池在不同循环下的EIS。j)通过阿伦尼乌斯方程拟合不同温度(20到80 ℃)下的RSEI,得到离子扩散通过SEI的活化能。
基于SEM、EDS、XPS和TOF-SIMS,揭示了FCPE中Si如何清除HF和H2O并形成稳定的SEI的机理。
为了分析使用FCPE电池的优异电化学性能的原因,通过SEM观察了锂金属表面形貌。结果显示,使用FCPE时锂金属表面没有锂枝晶,而使用CPE时在循环后出现了锂枝晶。此外,FCPE电池中的锂金属横截面比CPE电池中的更平整。XPS分析表明,FCPE电池中的锂金属表面形成了含有LiF、LixSiOy、Li2SiF6、Li2CO3和LiPOxFy等成分的SEI层,这些无机物质构成了一个坚固的SEI保护层,增强了锂负极的稳定性。TOF-SIMS进一步表征了SEI层的化学组成和微观结构,显示出LiF2-、LixSiOy-和LiSiF6-碎片从外层到内层逐渐减少,尤其是LiF2-丰富,表明SEI层中存在丰富的无机物质。实验还验证了Li2SiF6的作用,发现添加Li2SiF6的CPE电导率提高,循环性能稳定。总结来看,FCPE通过去除电池内微量的H2O和HF,形成了稳定的SEI层,从而提高了电池的电化学性能。
图5 具有杂质清除功能的聚合物电解质(FCPE)在锂金属表面构建稳定SEI的机理分析。a)使用CPE的电池中锂金属表面的SEM图像。b)使用FCPE的电池中锂金属表面的SEM图像。c)-d)使用FCPE的Li‖Li对称电池上SEI层的深度Si 2p和Li 1s XPS光谱。e)使用CPE的Li‖Li对称电池上SEI层的深度Li 1s XPS光谱。f)-g)从使用FCPE的循环Li‖Li对称电池中获得的循环锂负极的TOF-SIMS负离子深度剖面和3D图。
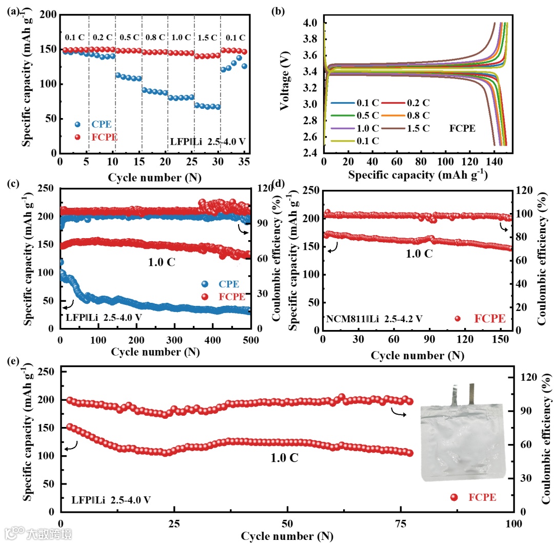
FCPE在电池中清除HF和H2O,抑制LiPF6的水解,在锂金属表面形成富含LiF的SEI层,使电池具有低界面阻抗、优异的倍率性能和稳定的循环性能。使用FCPE的LFP‖Li电池在1.0 C下500次循环后容量保持率为90.2%,NCM811‖Li电池在159次循环后容量保持率为86%。这些结果表明,FCPE能显著提高锂金属电池的整体性能。
图6 采用CPE和FCPE的LFP‖Li电池的电化学性能。a) 采用CPE和FCPE的LFP‖Li电池的倍率性能(1 C 充电和增加放电速率)。b) 采用FCPE的LFP‖Li电池在不同速率下的充电和放电电压曲线。c) 采用CPE和FCPE的LFP‖Li电池的循环性能。d) 采用FCPE的NCM811‖Li电池的循环性能。e) 采用FCPE的LFP‖Li软包电池的循环性能。
科学材料站
总 结
电池中的硅纳米粒子与HF反应,消耗水分并抑制LiPF6的水解。此反应在锂金属表面产生LiF、LixSiOy和Li2SiF6,形成富含LiF的SEI层。LiF和LixSiOy具有高锂离子电导率,能改善锂离子的沉积和溶解。Li2SiF6也能提高CPE的离子电导率。因此,FCPE能有效清除HF和H2O,而不会产生有害副产物。硅纳米粒子通过与C−O−C键的相互作用,降低了FCPE的结晶度,提升了离子电导率。因此,使用FCPE的电池在1.5 C倍率下的比容量是使用CPE的电池的两倍多,且在500次循环后保持了90.2%的容量。
科学材料站
文 章 链 接
“A functional silicon composite polymer electrolyte with hydrofluoric acid scavenging for quasi-solid-state lithium metal batteries”
https://doi.org/10.1039/d4ta01849d
科学材料站
通 讯 作 者 简 介
徐林 教授
武汉理工大学材料复合新技术国家重点实验室教授,博士生导师,入选国家级高层次青年人才项目。2013年在武汉理工大学获博士学位,随后在美国哈佛大学(2013-2016)和新加坡南洋理工大学(2016-2017)从事博士后研究。担任Energy Material Advances、eScience等国际期刊的青年编委,湖北省电池标准化技术委员会委员、湖北省科技副总。主要从事纳米储能材料与器件研究,包括固态电池、水系电池等高安全电池体系。出版英文专著1部,在Nature Nanotech., Nature Commun., J. Am. Chem. Soc., Angew. Chem. Int. Ed., Adv. Mater., Adv. Energy Mater., Adv. Funct. Mater., Nano Lett., Chem, Joule等国际学术期刊发表论文100余篇。曾获得国家自然科学二等奖、教育部自然科学一等奖、湖北省自然科学一等奖、中国发明协会创新奖一等奖等科技奖励。
添加官方微信 进群交流
SCI二氧化碳互助群
SCI催化材料交流群
SCI钠离子电池交流群
SCI离子交换膜经验交流群
SCI燃料电池交流群
SCI超级电容器交流群
SCI水系锌电池交流群
SCI水电解互助群
SCI气体扩散层经验交流群
备注【姓名-机构-研究方向】
投稿请联系contact@scimaterials.cn
点分享
点赞支持
点在看

