文 章 信 息
通过分子间相互作用构建超高容量利用率和超快离子扩散的钠金属电池聚合物阴极
第一作者:张维佳
通讯作者:陶占良*
单位:南开大学
研 究 背 景
有机正极材料具有组成元素丰富、结构可调等诸多优势,在钠离子电池方面引起广泛关注。然而,有机正极材料的溶解问题限制着其进一步的应用。形成聚合物是限制有机物溶解的有效手段之一,然而简单的聚合使体系中存在的大量非电化学活性基团和未反应单体,从而实际容量远低于理论容量。因此,通过分子设计,尽可能提升其实际容量尤为重要。
文 章 简 介
近日,南开大学陶占良团队在国际知名期刊Energy storage materials上发表题为“Intermolecular Interaction Promoted Polymer Cathode for Ultrahigh Capacity Utilization and Ultrafast ion Diffusion of Sodium Metal Battery”的研究性论文。该文章通过分子间的相互作用力,暴露更多的活性位点,极大提升了材料的实际容量及钠离子的扩散系数。
本 文 要 点
要点一:材料的合成及表征
成功合成了平均聚合度为201的PBQ 聚合物,红外光谱可见羰基的红移以及缔合的亚氨基峰,证明了分子间氢键的存在。XRD图谱表明材料存在明显的π-π堆叠。
图1. 材料的合成表征
要点二:理论计算证明材料分子间的相互作用
分子模拟及IRI可视化图表明分子间存在N-H···O氢键,RDG图证明了分子间存在π-π相互作用,与实验结果吻合。
图2. 分子间作用力的理论证明
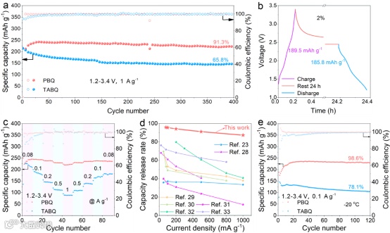
要点三:材料的电化学性能及动力学特性
PBQ具有优异的循环稳定性以及倍率性能,即便在低温下仍能释放出超高的实际容量(93.5%的理论容量)。该材料的理论容量释放率优于目前报道的绝大多数聚合物有机正极材料。其离子扩散系数也比目前报道的有机及无机材料高19倍左右。
图3. 材料的电化学特性
图4. 材料的动力学特性
要点四:材料的离子嵌入机制
理论及实验证明,材料的离子存储机制为C=O及C=N协同储钠。材料的储钠/脱钠过程高度可逆。且得益于分子间的相互作用,材料在嵌入两个钠离子时仍然能很好的保持平面结构。
图5. 材料的离子嵌入机制
文 章 链 接
Intermolecular Interaction Promoted Polymer Cathode for Ultrahigh Capacity Utilization and Ultrafast ion Diffusion of Sodium Metal Battery
https://doi.org/10.1016/j.ensm.2024.103561
添加官方微信 进群交流
SCI二氧化碳互助群
SCI催化材料交流群
SCI钠离子电池交流群
SCI离子交换膜经验交流群
SCI燃料电池交流群
SCI超级电容器交流群
SCI水系锌电池交流群
SCI水电解互助群
SCI气体扩散层经验交流群
备注【姓名-机构-研究方向】
投稿请联系contact@scimaterials.cn
点分享
点赞支持
点在看

