科学材料站
文 章 信 息
无机电解质添加剂增强水系锌离子电池电极-电解质界面稳定性
第一作者:海南大学张杰硕士和周传聪博士
通讯作者:史晓东副教授、饶鹏副教授和田新龙教授
论文链接:https:/doi.org/10.1002/smll.202404237
科学材料站
研 究 背 景
水系锌离子电池具有成本低、安全性高和易于制造等优势。然而,水系锌离子电池的商业化受到锌负极寄生反应的严重限制,包括枝晶生长、析氢和副产物积累。合适的电解质添加剂能够缓解锌金属负极利用效率低和正极材料循环稳定性差等问题。本文重点研究了在硫酸锌电解液中具有独特溶解性的硫酸氧钛(TiOSO4)作为无机添加剂对于锌离子电池的积极作用。在锌金属负极一侧,TiOSO4分子的优先吸附有助于建立静电屏蔽层,保证锌的可逆沉积行为;在NH4V4O10正极一侧,快速脱溶行为有助于抑制溶剂化H2O分子引起的侵蚀反应,稳定NH4V4O10的晶体结构。
科学材料站
研 究 内 容
海南大学海洋科学与工程学院史晓东副教授所在团队以硫酸氧钛(TiOSO4)为电解液添加剂,有效提高了正负电极/电解液界面稳定性和水系锌离子电池循环寿命,该论文入选当期热点话题(Hot Topic: Surfaces and Interfaces)。实验和理论计算表明,TiOSO4分子与Zn2+离子的结合能强于H2O分子与Zn2+离子的结合能,TiOSO4分子在锌负极和NH4V4O10正极表面的吸附能强于H2O分子与Zn2+离子的吸附能。对于锌负极,TiOSO4分子与Zn2+离子之间较强的结合能可以促进脱溶过程和界面反应动力学,而TiOSO4分子的优先吸附则有利于构建静电屏蔽层并诱导锌的可逆沉积行为。
在NH4V4O10正极,水合锌离子的快速脱溶动力学可以抑制溶解水分子与Zn2+离子的共嵌入,减少溶解H2O分子与活性V组分之间的副反应,提高界面反应动力学和正极结构稳定性。得益于此,优选的2 M ZnSO4+30 mM TiOSO4电解液,在1 mA cm-2-1 mAh cm-2测试条件下,Zn//Zn对称电池具有超过3750 h的长循环稳定性;在5 mA cm-2-1 mAh cm-2测试条件下,Zn//Cu不对称电池在1000次循环中具有高沉积/剥离库伦效率(>99%)。此外,Zn//NH4V4O10电池在5 A g-1电流密度下循环1700圈,能够保持193.8 mAh g-1的高可逆容量。这项工作预期有助于全面了解无机添加剂的多功能效应,推动无机电解质添加剂在水系锌离子电池中的应用基础研究。
科学材料站
研 究 亮 点
(1)提出一种新型无机电解质添加剂TiOSO4,有效抑制了锌负极枝晶生长和钒基正极溶解问题;
(2)通过材料表征和理论计算证明了引入TiOSO4分子有助于在锌负极表面建立静电屏蔽层,改变锌离子溶剂化结构,抑制溶剂化水分子对锌金属负极和NH4V4O10正极的侵蚀溶解,提高电池循环寿命。
科学材料站
图 文 导 读
图1 ZSO和ZSO/TSO电解质中的Zn//Zn对称电池在 (a) 5 mA cm-2-1 mAh cm-2、(b) 10 mA cm-2-1 mAh cm-2和 (c) 不同电流密度测试条件下的循环性能;(d) ZSO/TSO电解质中的Zn//Zn对称电池在1 mA cm-2-1 mAh cm-2测试条件下的长期循环性能;(e) ZSO和ZSO/TSO电解质中锌负极的原位光学显微镜图像;(f) TiOSO4对锌负极的作用机制示意图。
图2 (a) Zn//Zn电池在ZSO和ZSO/TSO电解质中的计时电流(CA)曲线;(b) Zn//Zn电池在ZSO/TSO电解质中极化前后的电流-时间曲线和相应的电化学阻抗图,测试 Zn2+的迁移数;(c) ZSO和 (d) 在不同温度下,ZSO/TSO电解质中的Zn//Zn电池的阻抗图;(e) Zn//Zn电池在ZSO和ZSO/TSO电解的活化能;(f) Zn//Cu电池在ZSO和ZSO/TSO电解质中10 mV s-1的CV曲线;(g) ZSO和ZSO/TSO电解质中的Zn//Cu电池在不同电流密度下的成核过电位;ZSO和ZSO/TSO电解质中的Zn//Cu电池在 (h) 2 mA cm-2-1 mAh cm-2和 (i) 5 mA cm-2-1 mAh cm-2条件下的沉积/剥离库伦效率。
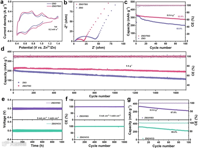
图3 (a)不同电解质下,0.2 mV s-1下Zn//NH4V4O10电池第一次循环CV曲线比较;(b)循环10次后不同电解质下Zn//NH4V4O10电池的电化学阻抗;(c) 0.5 A g-1和(d) 5 A g-1条件下不同电解质下Zn//NH4V4O10电池的循环性能;(e) Zn//Zn电池和(f) Zn//Cu电池在ZSO/VSO和ZSO/VCO电解质中5 mA cm-2-1 mAh cm-2测试条件下的循环性能(g) 0.5 A g-1下ZSO/VSO和ZSO/VCO电解液中Zn// NH4V4O10电池的循环性能。
图4 (a) TiOSO4和H2O分子与Zn2+离子的结合能;H2O分子、Zn2+离子和TiOSO4分子在 (b) 锌负极和 (c) NH4V4O10正极表面的吸附能;(d) ZSO 和 (e) ZSO/TSO电解质对NH4V4O10正极的作用机制示意图。
科学材料站
研 究 结 论
综上所述,TiOSO4被研究用作ZIBs的有效电解质添加剂。DFT计算表明,TiOSO4分子与Zn2+离子的结合能强于H2O分子与Zn2+离子的结合能,TiOSO4分子在锌阳极和NH4V4O10正极表面的吸附行为强于H2O分子与Zn2+离子的吸附行为。正如预期的那样,在1 mA cm-2-1 mAh cm-2的条件下,相应的Zn//Zn电池显示出超过3750小时的卓越循环稳定性;在5 mA cm-2-1 mAh cm-2的条件下,Zn//Cu 电池在1000个循环中显示出可逆的锌沉积行为。此外,在ZSO/TSO电解液中,Zn//NH4V4O10电池在5 A g-1条件下循环1700次后显示出193.8 mAh g-1的高容量。这些结果证实了TiOSO4对锌负极和NH4V4O10正极的积极影响,并为Zn//NH4V4O10电池的电解质添加剂策略提供了新的参考。
科学材料站
通 讯 作 者 简 介
史晓东,海南大学海洋科学与工程学院副教授、博士生导师、海南省高层次青年人才。围绕海洋能源/资源高价值利用,主要开展水系锌离子电池、金属-卤素电池和可充电海水电池等研究课题。2022年6月博士毕业于中南大学材料科学与工程学院梁叔全/周江教授团队,并加入海南大学田新龙教授团队(主页:http://www.tianxinlong-lab.com)。目前,以第一/通讯作者身份(含共同)在Adv. Mater.、ACS Energy Lett.、Adv. Energy Mater.、Adv. Funct. Mater.等期刊发表SCI论文20篇,获得授权国家发明专利10项,担任Advanced Powder Materials、Chinese Chemical Letters等期刊青年编委,并获评Nano Materials Science和Microstructures期刊2023年度优秀青年编委。
饶鹏,博士,海南省自由贸易港E类人才,海南大学海洋科学与工程学院副研究员。2023年6月入职海南大学海洋科学与工程学院,加入海洋清洁能源创新团队。当前主要研究方向是海水金属空气电池、宏观/介观模拟仿真等。以一作或通讯作者身份在Nature Communications, eScience, Cell Reports Physical Science, Carbon Energy, Energy等国内外高水平学术期刊上发表论文10余篇,获授权国家发明专利3项;担任Chinese Chemical Letters、Rare Metals、材料导报等期刊青年编委,主持省部级项目3项。
田新龙,海南大学研究生院副院长(主持工作),国家青年拔尖人才;海南大学“海洋清洁能源创新团队”负责人,团队荣获2022年海南省自然科学奖一等奖、2023年海南青年五四奖章集体;担任海南省电化学储能与能量转换重点实验室副主任、智慧海洋能源与深海资源开发工程研究中心副主任;长期从事电化学能量转换与存储领域的应用基础研究,包括氢燃料电池、海水制氢和海水电池等。以第一/通讯作者在Science等学术期刊上发表SCI论文120余篇;主持国家级项目5项,授权国家发明专利12项、美国发明专利1项;担任J. Energy Chem., eScience, Carbon Energy等期刊青年编委;获得《麻省理工科技评论》亚太区“35岁以下科技创新35人”、侯德榜化工科学技术青年奖、海南青年科技奖等荣誉。
添加官方微信 进群交流
SCI二氧化碳互助群
SCI催化材料交流群
SCI钠离子电池交流群
SCI离子交换膜经验交流群
SCI燃料电池交流群
SCI超级电容器交流群
SCI水系锌电池交流群
SCI水电解互助群
SCI气体扩散层经验交流群
备注【姓名-机构-研究方向】
投稿请联系contact@scimaterials.cn
点分享
点赞支持
点在看

