文 章 信 息
Zn²⁺-介导的催化:提升水系锌离子电池快充性能
第一作者:戴宇航、陆瑞虎、张成翼、李坚涛
通讯作者:麦立强*,王子运*,Khalil Amine*,陆俊*
单位:武汉理工大学、奥克兰大学、阿贡国家实验室、浙江大学
研 究 背 景
随着风能、太阳能等间歇性清洁能源以及电动汽车的快速发展,锂离子电池(LIBs)在近年来蓬勃发展。然而,这种增长也促使研究人员寻求更安全、更具成本效益的替代技术。锌离子电池(ZIBs)相较于LIBs具有显著优势,原因在于地壳中锌的丰度高于锂,从而降低了成本。此外,锌的回收产业已经成熟,满足了全球需求的三分之一,进一步增强了其可持续性。然而,水系锌离子电池(AZIBs)反常高的倍率性能表明可能存在被忽视的电池快充机制。
文 章 简 介
近日,武汉理工大学麦立强教授、奥克兰大学王子运副教授、阿贡国家实验室Khalil Amine研究员和浙江大学陆俊教授合作,在《Nature Catalysis》上发表了题为“Zn²⁺-mediated catalysis for fast-charging aqueous Zn-ion batteries”的论文。研究通过催化模型解释了水系锌离子电池(AZIBs)的快充异常现象,提出了通过水解产生和可逆吸附*OH的过程,实现了快充性能的突破。实验验证了理论计算的结果,表明Zn²⁺-VN组合在快充场景下表现出极佳的水解活性和快速的电化学储能能力。
本 文 要 点
要点一:催化模型解释AZIBs的异常快充现象
图1. 水系锌离子电池性能反常及催化储能模型
近年来,AZIBs展现出异常高的倍率性能,这一现象背后的机制一直未被充分解释。传统的离子穿梭理论认为,电池的充电速率与离子的电荷半径比(q/r)相关。一般而言,q/r值越高,迁移障碍和水合焓越大,离子在电极材料的体相中扩散越困难,跨越电极-电解液界面的难度也越大。因此,铝离子、钙离子等多价离子的充电速率通常低于单价锂离子或钠离子电池。
然而,研究人员开发了多种高倍率AZIBs,其性能超越了其他单价和多价水系金属离子电池。AZIBs的这种优越性能超出了传统离子穿梭理论的预测,提示可能存在未被发现的电荷储存机制。虽然研究人员常将AZIBs的高倍率性能归因于H+/H2O/OH-的嵌入/赝电容,但这些物质本身并不独特,其他水系金属离子电池中也存在。因此,Zn²⁺在提升H+/H2O/OH-的贡献中可能起到了特殊作用。H+/H2O/OH-也是电催化研究中的关键物种,且电催化中的反应速率远超电池中的反应速率。鉴于*OH吸附行为在析氧反应(OER)、氧还原反应(ORR)及AZIBs中具有共性,基于水裂解及*OH吸脱附的电荷存储可能解释AZIBs的高倍率性能。在Zn²⁺的帮助下,水裂解及*OH吸脱附的动力学显著加快,提供了不同于传统离子穿梭模型的快充机制。
要点二:最佳吸附平衡促进水解
图2. 理论预测与最优化正极材料/电解液金属阳离子筛选
通过密度泛函理论(DFT)计算,发现固体电极和溶剂化的金属阳离子对于水裂解活性的影响可以分别通过它们的d带中心和离子电负性进行量化,从而筛选出最佳的金属离子-正极材料组合,表明Zn²⁺-VN能表现出最优异的水解活性。
要点三:纯VN的设计和性能
图3. 模型预测的纯VN@rGO构筑
图4. 水裂解及*OH储能机理
常规VN在水中和空气中极易氧化,从而打破模型预测的最佳VN-Zn²⁺平衡。采用前驱体尺寸筛选法(利用三维多孔还原氧化石墨烯气凝胶限域VN纳米簇),该工作成功合成了模型预测的纯VN(VN@rGO)。使用水系ZnSO4电解液时,VN-Zn²⁺组合主要通过水裂解生成的OH的可逆吸脱附有效完成了存储过程。
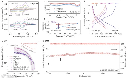
要点四:快充和稳定的循环性能
图5. 高倍率、长循环电化学性能
实验表明,VN@rGO在高电流密度下表现出优异的快充性能和稳定的循环性能——在300,000 mA g-1的高电流密度下容量达到577.1 mAh g-1,在150,000 mA g-1的高电流密度下稳定循环10000圈,验证了Zn²⁺介导催化模型的有效性。
文 章 链 接
Zn²⁺-mediated catalysis for fast-charging aqueous Zn-ion batteries
https://www.nature.com/articles/s41929-024-01169-6
通 讯 作 者 简 介
麦立强,武汉理工大学首席教授,博导,副校长,国家杰青(2014),长江学者(2016),“万人计划”领军人才(2016),国家重点研发计划首席科学家,英国皇家化学会会士(2018),中国微米纳米技术学会会士(2022),中国化学会会士(2023)。材料化学与功能材料领域知名专家,长期从事新能源材料与器件科学技术及应用研究,构筑了国际上第一个单根纳米线器件电子/离子输运原位表征的普适新模型,建立了调控电化学反应动力学的“麦-晏”场效应储能等电子/离子双连续输运理论,突破了储能材料与器件的批量化制备技术,并实现成果转化与应用。
在Nature(3篇)、Science(1篇)等刊物发表SCI论文610余篇,其中以第一或通讯作者发表Nature 2篇、Nature子刊及Cell子刊24篇,SCI他引1000次以上1篇、800次以上5篇、400次以上20篇,高被引论文117篇,热点论文26篇,SCI总他引5.6万余次,撰写中文专著2部、英文专著2部、英文专著章节2部,参编《中国材料科学2035发展战略》1部。获授权国家发明专利148项,其中28项专利与华为等31家企业进行产学研成果转化与应用。主持国家重大科研仪器专项等国家级项目30余项。以第一完成人获国家自然科学二等奖、何梁何利基金科学与技术创新奖、国际电化学能源科学与技术大会卓越研究奖(每年仅2人)、国际车用锂电池协会卓越研究奖、国家教学成果二等奖、教育部/湖北省自然科学一等奖(3项)和中国材料研究学会技术发明一等奖,连续五年入选科睿唯安全球高被引科学家。
王子运,新西兰奥克兰大学副教授、计算化学家。2015年博士毕业于英国女王大学,师从胡培君院士。先后在斯坦福大学(合作导师 Jens K. Nørskov院士)和多伦多大学(合作导师Edward H. Sargent院士)从事博士后研究,主要研究方向包括二氧化碳电还原的理论计算、人工智能辅助多相催化设计和表面微动力学。以通讯作者或(共同)第一作者发表文章40余篇,其中Nature 2篇,Nature Catal. 5篇,Nature Energy 1篇,Nature Commun. 3篇, J. Am. Chem. Soc. 7篇。文章被引10000余次,H因子45,入选斯坦福大学全球前2%顶尖科学家榜。
Khalil Amine 研究员,美国阿贡国家实验室高级院士,美国国家研究领事成员,ABAA(先进的动力汽车用锂离子电池国际例会,2009年创立)的创始人和主席,《Nano Energy》期刊副主编。目前已发表学术论文400余篇,被引近3万次。
陆俊,浙江大学讲席教授,国家级高层次人才。2000年毕业于中国科学技术大学,获得学士学位;2008年毕业于犹他大学,获材料科学博士学位。回国前任美国阿贡国家实验室化学研究员(终身教授)。研究领域聚焦在高性能正极/负极材料、先进表征技术、锂金属电池、锂硫电池、锂空电池、下一代电池技术以及电池回收等方面,主持或参与了储能电池电极材料及其关键技术、催化材料设计与合成等多个研发项目;
以通讯作者/第一作者发表SCI收录论文超过500篇,其中包括Science、Nature及其子刊Nature Energy、Nature Nanotechnology、Nature Catalysis、Nature Review Materials、Nature Communications共计超过60篇,论文总引用数超过60000次,H指数超过137;在2018−2022年连续入选科全球高被引科学家,尤其是2021-2022年连续在材料科学和化学双学科领域入选,专利超过20项;担任ACS Applied Materials & Interfaces副主编,电化学协会(ECS)电池分部成员,国际电化学能源科学院副委员和董事会委员,荣获电化学能源存储与转换领域内20多项重要奖励,包括全球百大科技研发奖(2019, R&D 100 Award,即美国科技界的“奥斯卡”创新奖)、美国电化学会电池分会技术奖(Battery Division Technology Award, ECS, 2022)、美国化学会能源与燃料部(ENFL)电化学储能杰出研究员奖(2022)、国际电池材料协会(IBA)杰出研究奖(2022)。
添加官方微信 进群交流
SCI二氧化碳互助群
SCI催化材料交流群
SCI钠离子电池交流群
SCI离子交换膜经验交流群
SCI燃料电池交流群
SCI超级电容器交流群
SCI水系锌电池交流群
SCI水电解互助群
SCI气体扩散层经验交流群
备注【姓名-机构-研究方向】
投稿请联系contact@scimaterials.cn
点分享
点赞支持
点在看

