科学材料站
文 章 信 息
原位生成Fe/Li2O/LiCl电子/离子混合导电层用于实现稳定的锂金属电池
第一作者:武晓薇
通讯作者:张芳*,商超群*
单位:武汉工程大学
科学材料站
研 究 背 景
以金属锂为负极的锂金属电池(LMB)具有较高的能量密度,但聚集的Li枝晶和脆性固态电解液界面阻碍了锂金属负极的发展。通过抑制Li枝晶来实现高的Li负极利用率,人们尝试了许多策略来调节Li+的电镀/剥离行为,其中,用人造SEI层修饰的Li负极表面可以调整Li/电解液界面,促进Li的均匀沉积,提高SEI层的机械和化学稳定性。然而与化学惰性物相比,使用化学活性物质更有利于在有机SEI形成之前在Li负极表面形成较为致密的保护层。这种双层结构可以有效地抑制Li树枝晶的积累,提高LMBs的电化学性能。合理设计非均质富晶界SEI是实现稳定Li+电镀/剥离的可行策略
科学材料站
文 章 简 介
近日,来自武汉工程大学的商超群教授等人,在知名期刊Chemical Engineering Journal上发表题为“Lithium surface engineering with in-situ generated Fe/Li2O/LiClmixed electron/ion conductive layer for stable lithium metal batteries”的研究性文章。
该文章提出为了调节Li负极的界面,通过Fe2O3/FeOCl涂层与Li负极的反应,在Li负极表面原位生成了Fe/Li2O/LiCl电子/离子混合导电层。电子导电铁和离子导电性Li2O/LiCl之间的协同作用有利于形成致密均匀的SEI,均匀离子通量,促进Li+的均匀沉积,从而使Li金属表面更加稳定,从而延长LMBs的电池寿命。
科学材料站
图 文 导 图
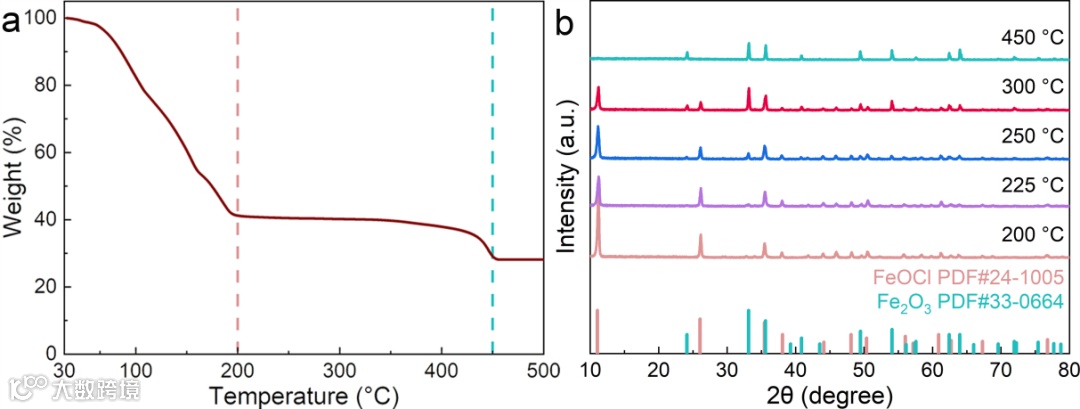
图1展示了空气气氛下FeCl3·6H2O的热重曲线和不同焙烧温度下相应产物的X射线衍射图。
图2展示了以NaCl为模板所制备的Fe2O3、FeOCl和Fe2O3/FeOCl的XRD、FT-IR及Fe2O3/FeOCl的形貌表征及表面成分结果。
图3展示了涂覆Fe2O3/FeOCl涂层后对电解液的亲和性,并利用EIS和锂离子迁移数进一步揭示了Fe/Li2O/LiCl混合电子/离子导电层实现了快速的电子/离子运输。
图4展示了Fe/Li2O/LiCl混合电子/离子导电层对锂枝晶的抑制作用,并利用刻蚀前后X射线光电子能谱(XPS)深度探究了Fe/Li2O/LiCl混合电子/离子导电层对于锂负极的保护作用。
图5通过探究相应锂对称和锂硫电池的倍率和长循环等电化学性能来系统评估了Fe/Li2O/LiCl混合电子/离子导电层对于抑制锂枝晶生长的影响。
科学材料站
小 结
采用原位生成Fe/Li2O/LiCl混合电子/离子导电层的方法来保护Li负极,消除Li枝晶的负面影响。Fe的形成促进了电子在界面上的转移,而生成的Li2O/LiCl则增强了离子的导电性。双电子/离子导电保护层有利于形成致密均匀的SEI,促进均匀的Li+通量,使Li+电镀/剥离行为顺利。本工作揭示了Fe/Li2O/LiCl混合电子/离子导电层对Li枝晶的抑制作用,为其它碱金属负极的保护提供了指导。
科学材料站
文 章 链 接
Lithium surface engineering with in-situ generated Fe/Li2O/LiCl mixed electron/ion conductive layer for stable lithium metal batteries
https://doi.org/10.1016/j.cej.2024.153842
科学材料站
通 讯 作 者 简 介
商超群 特聘教授
武汉工程大学特聘教授,主要研究方向为电催化、超级电容器、先进二次电池的制备及性能研究。相关研究成果以第一作者或通讯作者在Adv. Energy Mater., Energy Storage Mater., ACS Nano, Adv. Sci., Small等国际期刊上发表论文70余篇,文章已被引用3000余次,H-index指数为32,获国家授权发明专利4项。
添加官方微信 进群交流
SCI二氧化碳互助群
SCI催化材料交流群
SCI钠离子电池交流群
SCI离子交换膜经验交流群
SCI燃料电池交流群
SCI超级电容器交流群
SCI水系锌电池交流群
SCI水电解互助群
SCI气体扩散层经验交流群
备注【姓名-机构-研究方向】
投稿请联系contact@scimaterials.cn
点分享
点赞支持
点在看

