文 章 简 介
选择性催化还原(SCR)被认为是最有效的脱硝技术之一。其中,一氧化碳选择性催化还原氮氧化物(CO-SCR)是最有前途的SCR技术之一,因为它能够有效减少工业废气中的一氧化碳和氮氧化物排放。过渡金属氧化物催化剂(TMO)因其高催化活性、宽催化温度窗口、低成本和良好的热稳定性,经常被用于CO-SCR中。然而,CO-SCR的性能受限于催化剂比表面积和孔结构的固有缺陷,如何解决这一问题成为提高CO-SCR低温催化效率的迫切需求。
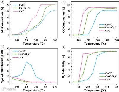
近日,石河子大学于锋教授团队与中山大学刘江教授团队基于Cu基MOF材料的优势,制备了Cu-MOF-74衍生的纳米金属多孔炭材料(Cu/C),并调控了MOF衍生催化剂中的活性金属Cu物种,从而实现了CO对NO的高效还原。研究发现仅含有Cu0物种的Cu/C催化剂在350°C至500°C的温度范围内能够实现100%的NO转化率,并且表现出接近100%的N2选择性。通过采用不同的热处理方式,我们成功制备了三种MOF衍生催化剂,分别具有不同活性的铜物种(Cu0,Cu+,Cu2+),实现了对铜物种价态的可控调控。催化剂中还原铜物种(Cu0)的含量与催化活性呈正相关。原位傅立叶变换红外光谱和DFT分析表明,以Cu0为活性位点的Cu/C催化剂具有更低的活化能和更高的能量增益,因此在ONNO离解步骤中具有低活化能和低反应能垒)这项工作为调节CO-SCR催化剂的活性金属价态及种类比例、比表面积和孔结构提供了一种新策略,从而使其表现出高CO-SCR催化活性。
相关研究以“Modulation of Active Metal Species in MOF-derived Catalysts for Efficient NO Reduction by CO”为题,发表在《Journal of Materials Chemistry A》上。该论文的第一作者为石河子大学化学化工学院硕士研究生周宁瑞,通讯作者刘敏敏副教授,于锋教授和刘江教授。
图1. CuO/C、Cu-CuOx/C和Cu/C催化剂在CO-SCR反应中的催化活性:(a)NO转化率与反应温度的函数关系,(b)N2O浓度,(c)CO转化率,(d)N2选择性(反应条件:[NO]= 500 ppm,[CO]=1000 ppm,[O2] =1%,N2平衡,GHSV=30000 h-1)
图2. NO+CO反应的可能途径。(a)两个NO分子的聚合、旋转和ONNO物质的分解。(b)Cu2O/C、CuO/C和Cu/C样品的电位,其中蓝色、红色和黄色球体分别代表N、O和Cu原子。
添加官方微信 进群交流
SCI二氧化碳互助群
SCI催化材料交流群
SCI钠离子电池交流群
SCI离子交换膜经验交流群
SCI燃料电池交流群
SCI超级电容器交流群
SCI水系锌电池交流群
SCI水电解互助群
SCI气体扩散层经验交流群
备注【姓名-机构-研究方向】
投稿请联系contact@scimaterials.cn
点分享
点赞支持
点在看

