科学材料站
文 章 信 息
离子液体预插层V2O5动态传递Zn2+助力水系锌离子电池稳定循环
第一作者:苏文哲
通讯作者:胡文彬*,韩晓鹏*,张鸿*
科学材料站
研 究 背 景
水系锌离子电池(AZIBs)因其安全性好、成本低、环境友好等优点,在众多单价/多价金属离子电池中脱颖而出,成为有前途的新型储能器件。然而探索适合水系锌离子电池的正极材料仍然面临着许多挑战,正极材料面临着严重的不可逆相变、金属离子溶解和低离子/电子转移动力学等。这些问题可能会导致低容量、严重的电池极化和快速的容量衰减。到目前为止,已经研究了一系列材料,常用的包括锰基正极材料、普鲁士蓝类似物、有机化合物、钒基正极材料等作为水系锌离子电池正极材料。钒基化合物由于其丰富的钒储量和丰富的钒价,以及较高的理论容量和速率能力,作为ZIBs的正极受到了广泛的关注,但是钒基材料在充放电过程中的结构稳定性和实际容量都有待提高。为解决这些问题,目前已开发出多种阴极改性策略,如金属离子插层和有机分子插层改性以稳定晶体结构并促进锌离子扩散。遗憾的是,单一金属离子或有机分子插层改性很难同时达到所有预期效果。因此,人们非常希望考虑一种多效的改性机制。离子液体包含具有离子特性的基团头部和有机分子尾链,带正电荷的咪唑环(头部)通过静电力稳定材料结构,而烷基链(尾部)可以通过振荡缓冲体积膨胀。受此启发,我们设计了一种具有大层间距的高稳定性离子液体插层V2O5阴极(0.4[Bmim]+-V2O5),提出了一种极具创新价值的离子液体动态传递锌离子储能机制。
科学材料站
文 章 简 介
近日,天津大学材料学院、天津大学国家储能平台胡文彬教授、韩晓鹏教授、天津大学福州国际联合学院张鸿副研究员在国际知名期刊Chemical Engineering Journal上发表题为“Dynamic transport of Zn2+ in ionic liquid intercalated V2O5 cathode for high-performance aqueous Zn-ion batteries”的文章。该文章通过一步水热氧化还原法制备了具有大层间距的离子液体插层V2O5正极材料(0.4[Bmim]+-V2O5),离子液体不仅减少了Zn2+ 与氧化钒层之间的静电吸引,而且有利于Zn2+的动态迁移,显著提高了 Zn2+的扩散系数,降低了扩散能垒。
图1. 材料表征图。a) 离子液体预插层V2O5过程示意图;b) V2O5前驱体和不同离子液体插层 V2O5的 XRD 图;c) 拉曼图;d) 傅立叶变换红外图;e) 0.4[Bmim]+-V2O5的 SEM、f) TEM 图像和 g) 元素分布图谱。
图2. 各电极的电化学性能。a)V2O5、0.4[Emim]+-V2O5、0.4[Bmim]+-V2O5、0.4[Hmim]+-V2O5在 2A g-1 条件下循环 100 次后在 5 mV s-1 下的 CV 曲线;b)在 0.1 A g-1 下循环 25 次后的容量-电压曲线;c)0.2 至 2 A g-1 不同电流密度下的速率性能。d)0.4[Bmim]+-V2O5的软包电池性能。e)V2O5前驱体和不同离子液体插层 V2O5的 电池在2A g-1电流密度下的循环性能。
图 3 电化学反应动力学分析。a) 不同扫描速率下的 CV 曲线。b) 根据(a)中的 CV 结果绘制的 log i 与 log ν 的线性拟合曲线。c) 不同扫描速率下 0.4[Bmim]+-V2O5阴极的电容贡献率。d) V2O5和 0.4[Bmim]+-V2O5中的Zn2+扩散系数。e) 0.4[Bmim]+-V2O5和 0.4[Bmim]+-V2O5放电过程中的 GITT 曲线。f) 与其他水系锌离子电池性能相比的拉贡图。
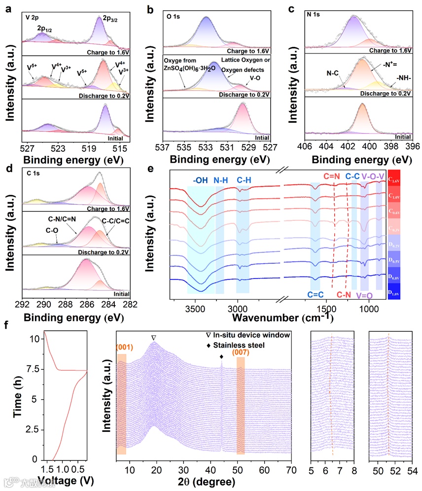
图 4 初始、放电和充电状态下 a) V 2p、b) O 1s、c) N 1s、d) C 1s 的高分辨率 XPS 光谱。e) 0.4[Bmim]+-V2O5在第一周期的原位傅立叶变换红外光谱。f) 原位XRD测试。
图 5 (a) 水性 ZIB 的充放电示意图。b)Zn2+迁移能垒,以及 c) 0.4[Bmim]+-V2O5和 d) V2O5晶体中两种Zn2+扩散路径的示意图。离子液体e) 插层后和 f) 插层前 V-O 层中的电荷密度差。
科学材料站
本 文 要 点
要点一:新材料--离子液体插层 V2O5作为水系锌离子电池优良正极的创新设计视角。
在本工作中,与以往有关V2O5插层的研究工作相比,我们首次采用一步水热氧化还原法在 V2O5的夹层中引入了离子液体并用作水系锌离子电池正极。离子液体同时具有金属离子和有机分子的物理化学特性,从而具有双重功能。一方面,有机阳离子的嵌入改变了层间电荷分布,静电结合了 V-O 层以稳定结构,并削弱了Zn2+与 V-O 层之间的静电吸引力。另一方面,有机阳离子的烷基链可很好的缓解引材料的体积膨胀。
要点二:新机制--离子液体驱动的Zn2+动态传递储能机制。
我们利用原位光谱(傅立叶变换红外光谱、拉曼光谱、XRD)验证了离子液体在充放电过程中的动态响应。通过将离子液体插层到 V2O5夹层中,扩散系数提高了一个数量级。DFT 和差分电荷密度计算表明,离子液体的插层改变了Zn2+的迁移路径,扩大了通道,从而降低了能障。同时,离子液体形成的烷基链动态传输Zn2+的正向扩散,实现了Zn2+的高扩散率,提高了比容量,并防止了因离子堆积导致的结构坍塌。
要点三:高性能--用作水系锌离子电池的高稳定性正极。
0.4[Bmim]+-V2O5|| Zn 可保持较高的库仑效率(在 200 mA g-1 下循环 500 次后为 99.8%)和较高的容量保持率(电流密度从 20 mA g-1 增加到 200 mA g-1 时为 75%),能量密度高达 310 W h kg-1,功率密度高达 7,895 W kg-1,明显优于传统的氧化钒。结合锌阳极制备了软包电池,在电流密度为 50 mA g-1 时可稳定循环 160 次,能量密度高达 310 W h kg-1。
要点四:前瞻
本研究提出的极具创新性的离子液体动态传递Zn2+储能机制前景广阔,可推广到其他金属离子电池(如 K+、Na+、Li+、Mg2+、Al3+)的正极设计中。
科学材料站
文 章 链 接
Dynamic transport of Zn2+ in ionic liquid intercalated V2O5 cathode for high-performance aqueous Zn-ion batteries
https://doi.org/10.1016/j.cej.2024.158827
科学材料站
通 讯 作 者 简 介
胡文彬教授简介:
胡文彬,天津大学科研院院长,天津大学国家储能技术产教融合创新平台电化学储能中心主任,讲席教授,国家杰青、万人计划领军人才。长期从事关键能源材料及表界面科学与工程研究,先后主持承担国家重点研发计划项目、国家自然科学基金杰青/重点/联合重点/面上项目、国家海洋局重大专项等国家级项目30余项,在Nature Energy、Chem. Soc. Rev.、Adv. Mater.、Adv. Energy Mater.等国际知名刊物发表论文400余篇,被SCI他引超过25000次,连续入选科睿唯安全球高被引科学家名单;出版著作或教材4本,获授权国家发明专利100余项;以第一完成人,获国家科技进步二等奖1项,省部级科技一等奖3项,国家教学成果二等奖1项,科技部及天津市重点领域创新团队负责人,国务院政府津贴获得者,111引智基地负责人。兼任国务院第八届学科评议组成员、第七届和第八届教育部科技委材料学部委员、“十二五”科技部“863计划”新材料领域先进结构与复合材料主题专家、中国腐蚀与防护学会副理事长、中国电池工业协会特种电池分会主任委员、中国有色金属学会常务理事、中国材料研究学会理事等,同时兼任《材料导报》编委副主任以及《中国有色金属学报》、《Science China Materials》等十多种学术期刊编委。
韩晓鹏教授简介:
韩晓鹏,天津大学国家储能技术产教融合创新平台副主任、英才教授、博导,国家级青年人才。主持国家自然科学基金优青、联合重点、原创探索、面上、青年、中国科协和天津市青年人才托举项目、JKW基础加强领域基金、国防创新特区、快速扶持项目、天津市基金、技术转化和横向项目等,围绕能源新材料与高性能电池器件,在Nature Energy、Nature Commun.、Adv. Mater.、J. Am. Chem. Soc.、Angew. Chem. Int. Ed.、Adv. Energy Mater.、Adv. Funct. Mater.等国际顶级期刊发表SCI论文230余篇,其中第一和通讯作者110余篇,35篇ESI高被引,SCI总被引22000余次,H因子77,连续五年入选科睿唯安全球高被引科学家(材料科学及交叉领域)和全球前2%顶尖科学家榜单。兼任Front. Chem.副主编,Sci. China Mater.、eScience、Rare Metals等多个期刊(青年)编委,中国电池工业协会特种电池分会秘书长、中国内燃机学会储能技术分会委员、天津市金属/交叉学会理事,出版中英文著作3部,获国家授权发明专利40余项,起草行标/团标各1项,依托专利技术转化建立了多个产学研基地,标志性成果已在中国航天科工集团等重点单位获得示范应用与配套,其中500Wh/kg级高能二次电池技术已定型应用于多款仿生无人飞行器,获教育部和天津市自然科学一等奖。
张鸿副研究员简介:
张鸿,天津大学福州国际联合学院副研究员,曾获国家公派留学项目于2019年获得新加坡国立大学材料与科学工程专业博士学位,之后在天津大学从事博士后工作,主要从事新能源存储与转换关键材料与器件的研究和设计,主持国家自然科学基金青年、福建省自然科学基金面上等项目,以第一作者/通讯作者在国际顶级期刊Angew. Chem.,Adv. Mater.,Energy Environ. Sci.,Adv. Funct. Mater.等发表SCI论文45篇,第一/通讯作者14篇,总被引5197余次,ESI高被引2篇,h因子25,授权发明专利2项;获得福建省高层次人才,2020年国家“博士后国际交流计划”引进项目资助。兼任中国电池工业协会特种电池分会副秘书长。
科学材料站
第 一 作 者 简 介
苏文哲,天津大学材料科学与工程学院2022级硕士,电化学课题组水系锌离子电池方向
科学材料站
课 题 组 介 绍
材料电化学与表界面工程研究室隶属于天津大学材料科学与工程学院,团队主要开展新能源关键材料及器件的设计研发与应用基础研究。团队负责人胡文彬教授为国家杰出青年基金项目获得者、国家万人计划领军人才、享受国务院政府特殊津贴专家,现任天津大学科研院院长。其他主要成员还包括长江学者1人、国家杰青1人、国家优青1人、其他国家级青年人才2人等。团队现有国家杰青、教育部“长江学者”、“万人计划”领军人才、国家优青、科协托举等多个国家级人才,梯队建设与年龄分布合理,已在Nature Energy, Nature Comm., Adv. Mater., Chem. Rev., Chem. Soc. Rev., JACS, Angew Chem., Energy. Environ. Sci.等期刊发表学术论文400余篇;团队承担国家杰青/重点/联合/面上项目、国家海洋局重大专项、科技部重点研发计划等科研项目100余项;团队4人入选科睿唯安全球高被引学者,团队负责人领衔获批科技部“能源领域用关键材料”创新团队,以第一完成人获得国家科技进步二等奖以及多个省部级奖项。
团队依托国家级储能技术创新平台和多个省部级重点实验室与工程中心,建设有完备的能源新材料制备、高端表征、原位分析及性能测试平台和条件,拥有原位气固(液)双球差校正透射电镜(配备EELS和原位电化学)、单球差校正透射电镜、场发射透射电镜,原位电化学宽光谱(拉曼、红外)耦合集成一体化光谱仪等一系列先进仪器设备,另外课题组经费充足,能够充分保障科研攻关与项目开展需要。
科学材料站
课 题 组 招 聘
1.博士后:
课题组长期招聘新能源电池材料与器件方面的博士后,待遇优厚,博士后在站期间享受天津大学关于住房、子女入学、五险一金等方面的相关保障和福利;在聘期间课题组支持申请“博新计划”(40万元日常经费,20万元科学基金)。团队大力支持申请博士后基金、国家自然科学基金、中国科协青年人才托举等项目;聘期结束后,优秀者可通过天津大学英才计划转聘留校。出站后留天津工作也可享受天津市安家费补贴。
岗位要求:
1)在国内外知名高校或科研院所获得博士学位,年龄35周岁以下,有志做出领域内“顶天立地”的科研成果(顶刊或解决国家重大需求的落地成果);
2)在锂电池、水系锌电池正负极关键材料体系研究、器件开发等方向有丰富且专业的研究经历;
3)具有良好的英语听说读写能力,在高水平期刊上以第一作者发表过多篇高水平学术论文,具有独立开展相关方向研究工作的能力;
4)热爱科研,诚实可信,工作认真踏实,责任心强,具备较强的团队合作意识、服务意识。
2. 专任助理研究员
招聘单位:国家储能技术产教融合创新平台,编制类型:合同制
招聘人数:1,截止日期:2025-02-28,薪资待遇:按照天津大学薪酬体系执行
岗位说明:
岗位:中国电池工业协会特种电池分会专任助理研究员。岗位说明:1.从事特种电池技术研究,参与项目申请并承担项目任务;2.负责和参与特种电池领域各类标准的起草、修订,能够支撑标准组相关工作;2.协助秘书长做好中国电池工业协会特种电池分会会员单位的维护;3.负责和参与中国电池工业协会特种电池分会内高校与企业之间的专利转化和技术转移;4.协助秘书长组织科技成果鉴定等事宜;5.负责中国电池工业协会特种电池分会业务拓展;6.领导交代的其他工作。
招聘条件:
1.拥护党的领导,坚持正确的政治方向,全面贯彻党的教育方针,热爱教育事业,有理想信念、有道德情操、有扎实知识、有仁爱之心;2.具有大局观念、团结协作意识、创新意识、奉献精神和踏实作风,身体健康,热爱产教融合工作,有较高的工作热情,能胜任岗位的工作要求;3.取得电化学领域相关博士学位,专业领域包括:化工、材料、自动化、计算机与软件、储能等领域;4.工作严谨高效,思维敏捷,市场意识强,敢于担当,敢于挑战,善于沟通和合作;5.有优秀的语言表达能力、项目方案撰写能力、组织能力,对科技与金融政策及高新技术的发展有良好的把握度;6.具有较强的计算机操作能力;具备熟练的英语听说读写能力,能够熟练阅读英文科技文献者优先。
报名方式:
通过“天津大学招聘系统”应聘。新用户请先注册,并填写个人相关信息,信息提交成功后,即可进行岗位申请。招聘单位联系电话:022-61119559 | 唐老师
添加官方微信 进群交流
SCI二氧化碳互助群
SCI催化材料交流群
SCI钠离子电池交流群
SCI离子交换膜经验交流群
SCI燃料电池交流群
SCI超级电容器交流群
SCI水系锌电池交流群
SCI水电解互助群
SCI气体扩散层经验交流群
备注【姓名-机构-研究方向】
投稿请联系contact@scimaterials.cn
点分享
点赞支持
点在看

