科学材料站
文 章 信 息
豆荚状纤维网络:复合固体电解质抑制固态锂金属电池中锂枝晶生长的通用策略
第一作者:樊婉晴
通讯作者:黄英*,张政*
单位:西北工业大学,清华大学
科学材料站
研 究 背 景
固态锂金属电池(SSLMBs)具有高能量密度和安全性。固态聚合物电解质,尤其是含有聚环氧乙烷(PEO)和锂盐的聚合物电解质,因其可加工性而大有可为。然而,低劣的机械性能和有限的锂离子转移数量阻碍了锂的均匀沉积,从而限制了 SSLMBs 的循环寿命和商业可行性。通过在复合固体电解质(CSEs)中加入导电锂填料,这些填料具有双重作用。首先,它们能促进锂盐的解离,并通过破坏聚合物基质的结晶加速 Li+ 的传输。其次,它们还能充当机械缓冲器,有效消散应力并抑制锂枝晶的生长。然而,仅通过填料的简单机械搅拌来实现聚合物基体中的连续传导路径是一项重大挑战,因为纳米填料往往容易团聚或沉淀。通过这种方法制造的 CSEs 的机械性能仍然受到限制。为解决这一问题,有人提出了三维(3D)网络结构,例如通过三维陶瓷网络具有连续传输路径的CSEs。然而,陶瓷骨架的脆性带来了挑战。因此需要一种灵活的三维离子传导网络来强化聚合物电解质。同时,减薄电解质可以提高重量/体积能量密度,缩短离子传输距离,并提高电池倍率性能。
科学材料站
文 章 简 介
2024年7月,黄英教授团队在知名期刊Nano Letters期刊在线发表论文““Peapod-like” Fiber Network: A Universal Strategy for Composite Solid Electrolytes to Inhibit Lithium Dendrite Growth in Solid-State Lithium Metal Batteries”,该研究设计制备了“豆荚状”纤维网络结构增强PEO基复合固态电解质,并提出复合固体电解质抑制固态锂金属电池中锂枝晶生长的通用策略。
科学材料站
本 文 要 点
要点一:超薄复合固态电解质
图1 (a) 制备PLPZ复合电解质示意图;(b) PVDF-HFP/LLZO复合网络的FESEM和(c)具有相应EDS映射的TEM图像;(d) PLPZ的FESEM图像;(e) PLPZ的FESEM横截面图像和EDS图谱;(f) PLPZ光学照片;(g) PL、PLP和PLPZ的XRD图谱,(h) DSC曲线,(i) 应力-应变曲线。
图1a展示了“豆荚状”复合电解质PLPZ的制作过程。
PVDF-HFP和LLZO纳米颗粒被静电纺丝制成一个独特的类似“豆荚”的网络。随后,通过压延工艺致密化PVDF-HFP/LLZO纤维膜,使复合纤维膜更薄更强。其SEM图像PVDF-HFP纳米纤维包裹LLZO纳米颗粒,形成相互连接的三维结构。透射电镜分析证实了LLZO纳米颗粒在PVDF-HFP纳米纤维中的包封,形成了“豆荚”网络结构。能谱图突出显示了PVDF-HFP纤维中的C和F元素,而La和Zr元素集中在LLZO纳米颗粒中,证实了两种材料的有效结合。随后,用PEO/LiTFSI聚合物基质浸润PVDF-HFP/LLZO纤维膜,得到完整的PLPZ结构。PLPZ的厚度为26.8 μm,与目前通过静电纺丝技术制造的CSEs相比,其厚度更薄。用XRD分析材料的物理结构。在PL的19.3°和23.5°处观察到两个明显的衍射峰,表明结晶程度较高。然而,3D网络结构的引入有效地减缓了聚合物的结晶,导致PLP和PLPZ中这两个峰的显著衰减。DSC分析显示出PLPZ的熔化温度(Tm)降低至49.8 ℃。电解质的应力-应变曲线显示出PLPZ的抗拉强度和杨氏模量分别高达24.23和262.3 MPa,优于PL电解质(抗拉强度为0.57 MPa,杨氏模量为11.9 MPa)。
要点二:金属锂/复合固态电解质界面
图2 (a) 阿伦尼乌斯图;(b) PLPZ电解液的计时电流曲线(插图为极化前后的阻抗);(c)线性扫描伏安曲线;(d)含PL、PLP和PLPZ的锂对称电池的长期循环性能(0.2 mAcm−2cm−2/0.1 mA h cm−260°C);(e)不同电流密度下Li/PLPZ/Li电池的镀锂/剥离循环;(f)不同CSEs的累计循环能力及相应厚度图;(g)循环前后PLPZ的XPS光谱;(h) TOF-SIMS的3D渲染图。
使用“豆荚状”PVDF-HFP/LLZO纤维网络的Li/PLPZ/Li电池能够稳定锂沉积/剥离长达3000小时。这种独特的设计不仅增强了电解质的机械性能,而且在离子传输特性方面也表现出色,从而显著降低了短路的风险,提高了电池的整体性能。即使在0.5 mA cm-2/0.5 mA h cm-2下,对称电池也可以稳定循环100小时,显示出稳定的电压响应。为了阐明界面的相互作用,利用XPS和TOF-SIMS对PLPZ/Li界面的组成进行了探测。对比循环前后的锂对称电池的XPS光谱发现,在PLPZ/Li界面处,界面层含有丰富的Li3N、LiF和Li2O等无机成分。此外,TOF-SIMS深度剖面进一步深入揭示了界面层的三维结构和各组分的空间分布。在长周期过程中形成了一定厚度的SEI层,这与XPS结果一致。这些无机成分具有较高的机械模量和离子电导率,从而形成坚固而稳定的界面,有利于稳定的锂沉积/剥离。
图3 (a) PL、PLP、PLPZ的序参量、电势分布、Li+浓度分布快照;(b) PL、PLP和PLPZ中Li+ TFSI−的分布和电位分布;(c) PL、PLP和PLPZ中Li沉积机理示意图。
实验结果和理论模拟充分证明,PLPZ能够很好地稳定Li阳极界面,这主要归因于以下因素:(1) PLPZ中嵌入的“豆荚状”纤维网络增强了CSEs的机械强度,在力学水平上抑制了锂枝晶的形成。(2)高的Li+转移数阻止了大空间电荷层的形成,阴离子被LLZO固定,在电化学水平上调节了Li的均匀沉积,抑制了Li枝晶的成核。总而言之,优越的电化学机械界面和稳定的SEI层可以实现超长可逆的锂电镀/剥离。
要点三:固态锂金属电池电化学性能
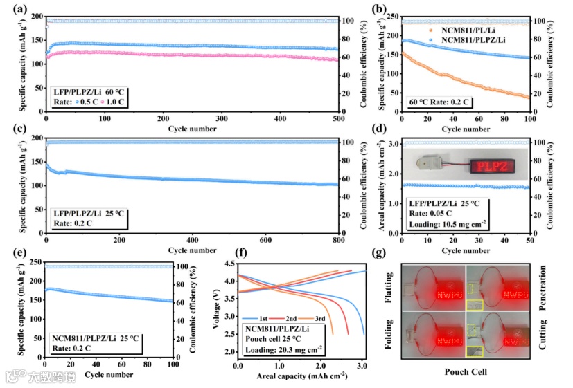
图4 60 °C下SSLMBs的循环性能:(a) 0.5和1.0 C时的LFP/PLPZ/Li, (b) 0.2 C时的NCM811/CSEs/Li;25 ℃时SSLMBs的循环性能:(c) 0.2 C时LFP/PLPZ/Li (d) 0.05 c时LFP/PLPZ/Li, LFP负载为10.5 mg cm−2。(e) 0.2 C时NCM811/PLPZ/Li的充放电曲线;(f) NCM811/PLPZ/Li袋状电池在NCM811负载为~ 20.3 mg cm−2时的充放电曲线;(g)袋状电池点亮LED灯的光学图像。
测试了LFP/PLPZ/Li电池的长期循环能力,在500次循环后,电池能够分别提供131.1 mAh g−1 (0.5 C)和110.2 mAh g−1 (1.0 C)的比容量。进一步组装Li/CSEs/NCM811电池并测试其循环性能。由于PL电解质的低抗氧化性和阳极侧Li枝晶的生长,NCM811/PL/Li电池的比容量出现了明显的衰减(从154.5 mAhg−1下降到37.1 mAh g−1),容量保留率为24.0%。在NCM811/PLPZ/Li电池上显示了更高的容量保持率(76.3%),并且在100次循环后提供了142.7 mAh g−1的比容量。这主要是由于嵌入在聚合物基质中的“豆荚状”网络,使PLPZ电解质具有宽的电化学窗口,并提供足够强的抗氧化性以匹配高压阴极。组装了带有PLPZ的SSLMBs测试了室温下的循环性能。LFP/PLPZ/Li电池循环稳定,800次循环后容量保持率为71.5%,每次循环平均容量衰减仅≈0.035%。当LFP负载增加到10.5 mg cm−2时,在50次循环后提供1.53 mAh cm−2的面积容量,容量保持率为95.1%。插图显示了高负载LFP电池驱动发光二极管标志的能力。作者还构建了NCM811/PLPZ/Li软包电池。软包电池可以提供3.05 mAh cm−2的面积容量,对应于307.0 Wh kg−1 /677.7 Wh L−1的高重量/体积能量密度。此外,软包电池能够在不同条件下驱动由发光二极管组成的“NWPU”标志,这为未来柔性电子应用的发展提供了可能性。
要点四:抑制锂枝晶生长的通用性策略
用Li0.33La0.557TiO3 (LLTO) 或 Li1.3Al0.3Ti1.7(PO4)3 (LATP) 陶瓷颗粒取代了 LLZO 陶瓷颗粒。PEO/LiTFSI/PVDF-HFP/LLTO (PLPT) 和 PEO/LiTFSI/PVDF-HFP/LATP (PLPA) 采用相同的制备方法获得。FESEM 图像显示,含有 LLTO 和 LATP "豆荚状 "纤维网络的 CSE 已经制备成功。首先,PLPT 和 PLPA 的离子电导率高于纯聚合物基质,这表明引入 "豆荚状"纤维网络结构可以构建更复杂的混合导电界面和三维 Li+传输通道,更有利于 Li+传输。其次,以"豆荚状 "纤维纤维网络增强CSEs组装的Li对称电池可循环2000 小时,不会出现短路和大电压极化现象。此外,循环后锂金属表面观察到致密均匀的锂沉积,没有明显的锂枝晶。最后,组装 LFP/CSEs/Li 电池的长循环性能明显优于 LFP/PL/Li 电池。上述结果表明,加入 "豆荚状"纤维网络是一种改善聚合物基体电化学性能的通用策略,具有广泛的适用性。通过改变填料的类型,这种方法可以扩展到各种金属阳极固态电池,这对开发高性能固态电池具有重要意义。
科学材料站
文 章 链 接
“Peapod-like” Fiber Network: A Universal Strategy for Composite Solid Electrolytes to Inhibit Lithium Dendrite Growth in Solid-State Lithium Metal Batteries
https://doi.org/10.1021/acs.nanolett.4c02274
科学材料站
通 讯 作 者 简 介
黄英,西北工业大学教授,博士生导师。以纳米材料设计及高分子结构与性能的理论为基础,围绕信息功能与高性能高分子材料重点开展以下工作:在新物质、新功能材料研究方面,研究了特定功能纳米材料的设计与制备方法;运用高分子的交联与固化理论及各种交联手段开展新型功能高分子新材料及其器件研究;在电、磁功能高分子方面,发展其在水污染治理与功能材料方面的应用,建立的有关新方法在信息存储、电磁信息材料方面取得了突破。近年来主持国家“863”计划项目、国家自然科学基金面上项目、省重点等项目的研究。在国际重要期刊包括Energy Stor. Mater., Nano-Micro Letters, J. Energy Chem, J. Mater. Chem.等刊物上发表SCI收录论文150余篇,申请国家发明专利29项,获已授权国家发明专利16项。曾获国防科工委科技进步奖1项,陕西省科学技术奖3项,西安市科学技术奖1项,第二届陕西省创意设计大赛奖1项,陕西省工业和信息化厅信息产业科技成果奖1项,陕西省国防科学技术工业委员会科技进步奖1项。
添加官方微信 进群交流
SCI二氧化碳互助群
SCI催化材料交流群
SCI钠离子电池交流群
SCI离子交换膜经验交流群
SCI燃料电池交流群
SCI超级电容器交流群
SCI水系锌电池交流群
SCI水电解互助群
SCI气体扩散层经验交流群
备注【姓名-机构-研究方向】
投稿请联系contact@scimaterials.cn
点分享
点赞支持
点在看

