科学材料站
文 章 信 息
多元素耦合驱动设计高性能磷酸盐类钠离子电池正极材料
第一作者:李泽辰
通讯作者:赵永杰*
单位:北京理工大学
科学材料站
研 究 背 景
在众多钠离子电池正极材料中,钠超离子导体(NASICON)型正极具有优良的钠离子迁移能力、优秀的倍率性能、以及高倍率下长循环寿命等特点,近年来受到广泛的关注和研究。然而,平衡能量密度与循环寿命是NASICON型正极材料面临的关键挑战。Na3V2(PO4)3 作为典型的NASICON正极具有高能量密度和优秀的循环、倍率性能,但高含量的钒阻碍了其进一步发展。综合考虑电化学性能和工艺成本,向Na3V2(PO4)3 中适量引入Mn和Fe是一种较有潜力的正极材料设计策略,有望同时耦合三种元素的特性进而实现均衡的综合性能。文章通过整合钒、锰、铁元素的电化学特性,并引入中熵调控的机理,提出了一种新型Na11/3(V,Mn,Fe)2/3(PO4)3(ME-NVMFP)正极材料,实现了较稳定的快充性能、低温性能,适于高能量密度场景下的全电池应用。文章就材料充放电过程中的界面和结构演变、离子迁移机理进行了研究,为NASICON类正极材料的研发提供了新思路。
科学材料站
文 章 简 介
基于此,来自北京理工大学的赵永杰副教授在国际知名期刊Energy Storage Materials上发表题为“Multi-element coupling driven high performance sodium-ion phosphate cathode”的文章。该文章基于多组元耦合和中熵调控机理,提出了一种新型NASICON磷酸盐类钠离子电池正极材料Na11/3(V,Mn,Fe)2/3(PO4)3,材料表现出优异的循环性能和高能量密度,适用于低温-20℃的使用环境。系列电化学表征分析揭示了材料的储钠机理、界面和结构演变过程。
图1. Na11/3(V,Mn,Fe)2/3(PO4)3的设计思路和高倍率、低温、全电池的电化学性能评估。
科学材料站
本 文 要 点
要点一:材料基本结构表征
使用常规溶胶凝胶法合成了Na11/3(V,Mn,Fe)2/3(PO4)3正极材料,基本结构形貌表征如图2所示。XRD主要衍射峰与NASICON结构R-3c空间群一一对应,证明该材料属于NASICON三维框架结构。相较于对照组Na3VFe(PO4)3 (NVFP)和Na4VMn(PO4)3 (NVMP),Na11/3(V,Mn,Fe)2/3(PO4)3(NVMFP)晶胞参数位于二者之间,符合元素取代的物理规律。使用SEM拍摄其粉末颗粒形貌,表现为不规则的颗粒,粒径集中分布在0.6—1.8 µm范围内。单个颗粒的高分辨TEM表明材料表面包覆了碳层,有助于改善聚阴离子类材料的电子电导率差的问题;颗粒内部晶格条纹符合标准Na3V2(PO4)3的晶面间距,同样印证了材料的晶体结构。EDS能谱Mapping结果表明材料内部各主要元素均匀分布,无偏聚现象。
图2. ME-NVMFP的基本结构形貌表征。
要点二:综合电化学性能分析
以钠为对电极、研究材料为正极,组装半电池进行测试,电压区间设置在2.0-3.8 V范围内。Na3VFe(PO4)3 (NVFP)和Na4VMn(PO4)3 (NVMP)作为实验对照组,对三者电化学性能加以比较。在0.2 C倍率下,ME-NVMFP能够释放111.9 mAh g-1的比容量,在3.4-3.6 V和2.5 V范围内分别出现两个电压平台,对应于V3+/V4+和Mn2+/Mn3+的氧化还原反应,以及Fe2+/Fe3+氧化还原反应,与先前文献报道相一致。相较于NVFP,ME-NVMFP的Fe2+/Fe3+电压平台更加明显,说明其中的Fe2+/Fe3+得到了更加充分的激发。与NVFP和NVMP相比,ME-NVMFP表现出最好的倍率性能和高倍率循环性能,在2 C倍率下循环500圈容量保持率87.3%,5 C倍率下1000圈容量保持率88.7%,4000次循环后容量保持率为70%,在更高倍率下(10 C、20 C)仍表现出较好的循环稳定性。提升的电化学性能印证了中熵和多组元耦合调控方案的有效性。
图3. ME-NVMFP和对照组NVMP、NVFP的充放电曲线、倍率性能和循环性能评估。
要点三:低温应用潜力研究
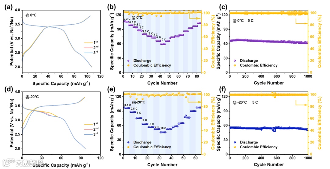
为探究ME-NVMFP对低温环境的耐受能力,对其0℃和-20℃的电化学性能进行了评估,如图4所示。在0℃ 0.2 C倍率下,ME-NVMFP可以释放106.8 mAh g-1的比容量,相当于常温环境下的95.4%;温度降低至-20℃时,容量为常温容量的87.1%。此外,材料表现出较好的倍率性能以及高倍率循环稳定性,在5 C甚至10 C倍率循环千圈后容量保持率超过90%,验证了该材料的低温应用潜力。
图4. Na11/3(V,Mn,Fe)2/3(PO4)3的低温电化学性能评估。
要点四:充放电过程中的材料演变机理研究
使用非原位XRD表征了材料的结构演变机理,结果表明在3.8 V时出现两相反应,对应V、Mn元素的价态变化带来的晶体结构变化;在2.5 V主要表现为固溶反应,对应Fe的氧化还原过程。使用弛豫时间分布(DRT)方法分析了原位EIS的阻抗谱,评估了充放电过程中各频率阻抗的变化情况。XPS分析结果验证了不同电压下各电化学活性元素的价态状况。
图5. ME-NVMFP充放电演变机理研究.
要点五:全电池应用研究
将硬碳作为负极,组装ME-NVMFP||HC进行全电池体系的测试,电压区间设置为1.8-3.6 V。在给定电压区间内,全电池的能量密度能够达到330.9 Wh kg-1,0.2 C倍率下释放约108.4 mAh g-1的比容量。同时2 C下表现出较好的循环稳定性,证明了该材料全电池的应用潜力。
图6. ME-NVMFP||HC全电池的电化学性能测试。
科学材料站
文 章 链 接
Multi-element coupling driven high performance sodium-ion phosphate cathode
https://doi.org/10.1016/j.ensm.2025.104141
科学材料站
通 讯 作 者 简 介
赵永杰副教授 北京理工大学材料学院
主要从事无机功能材料的开发。截止目前,以第一作者和通讯作者身份在Materials Today、Advanced Materials、Advanced Energy Materials、Advanced Functional Materials、Energy Storage Materials、Nano Letters、Nano Energy等杂志上发表SCI论文90余篇。申请获批中国发明专利10余项。主持国家自然科学基金项目、北京市自然科学基金、北京理工大学优秀青年教师、清华大学新型陶瓷及精细工艺国家重点实验室开放基金、企业/研究所委托技术开发等项目,参与南宁市重点研发项目。担任清华大学材料学院“先进材料国家级实验教学示范中心”教学指导委员会委员,期刊Rare Metals、EocMat、eScience、Materials Futures、Carbon Neutralization青年编委,期刊Batteries、Materials客座编辑,河北省唐山市人民政府特聘专家。
科学材料站
第 一 作 者 简 介
李泽辰,北京理工大学材料学院硕士研究生,指导教师赵永杰副教授。主要研究方向:聚阴离子型钠离子正极材料;全天候钠离子电池中电极/电解液稳定界面的构建。在Advanced Functional Materials、Energy Storage Materials等期刊发表多篇论文。获研究生国家奖学金,北京理工大学“优秀研究生”等荣誉。
添加官方微信 进群交流
SCI二氧化碳互助群
SCI催化材料交流群
SCI钠离子电池交流群
SCI离子交换膜经验交流群
SCI燃料电池交流群
SCI超级电容器交流群
SCI水系锌电池交流群
SCI水电解互助群
SCI气体扩散层经验交流群
备注【姓名-机构-研究方向】
投稿请联系contact@scimaterials.cn
点分享
点赞支持
点在看


