科学材料站
文 章 信 息
尿素促进柠檬酸钾活化制备多孔碳纳米片提高超级电容器性能
第一作者:武欣阳
通讯作者:张国杰*
单位:太原理工大学
科学材料站
研 究 背 景
随着全球可再生能源技术的快速发展和高效储能需求的激增,超级电容器因其超长循环寿命、快速充放电能力和卓越的功率密度而备受瞩目。这类器件能在较短时间内释放高功率,弥补了传统电池的动力学短板。然而,其相对较低的能量密度制约了实际应用。突破这一瓶颈的关键在于开发新型电极材料,其中多孔碳材料凭借其高比表面积和可控的孔径分布成为研究热点。但传统KOH活化法存在强腐蚀性和低收率的缺点,而新兴绿色活化剂又面临孔隙率不足的困境。该研究采用尿素辅助柠檬酸钾活化策略,成功制备出腐植酸钠基分级多孔碳材料,并揭示了尿素促进孔隙发育的机制,为发展高能量密度的环保型超级电容器提供了新思路。
科学材料站
文 章 简 介
基于此,来自太原理工大学的张国杰教授,在国际知名期刊Chemical Engineering Journal上发表题为“Fabrication of Porous Carbon Nanosheets via Urea-Promoted Activation of Potassium Citrate for Enhanced Supercapacitor Performance”的观点文章。该观点文章通过两步热解法制备了富含N、O原子的多孔碳纳米片,作为超级电容器电极材料时展现了优异的电化学性能。
科学材料站
本 文 要 点
要点一:尿素促进柠檬酸钾活化机理
本研究采用尿素辅助柠檬酸钾活化策略制备高性能多孔碳材料。研究发现,尿素预处理使材料氮含量显著提升至14.13 wt.%,同时降低氧含量至35.52 wt.%。尿素修饰了碳骨架结构,使C=C键特征峰位移至1605 cm-1,并促使含氧官能团分解,可以抑制碳前体在高温热解时的过度交联。热重分析揭示尿素在136-400 °C分阶段热解,产生NH3和CO2等活性气体,这些气体与碳骨架反应实现氮掺杂。掺杂的氮原子(尤其是N-6)像“磁铁”般吸引柠檬酸钾并促进其活化。XRD和热重分析证实柠檬酸钾在260 °C至280 °C之间通过蒸发分解为K2CO3,在高温下进一步分解为CO2和K2O。这些分解产物与碳反应形成CO,从而形成大量微孔。在氮原子存在的情况下,柠檬酸钾参与脱氢和其他气体分子的剥离,并进一步发生二次气化反应,从而促进了额外气体的释放。这一方法大大提高了碳材料的比表面积和孔体积,且仍能保持与常规活化相当的收率。
图 1. NHPC-T-X 的合成过程(a)、元素分析(b)、傅立叶变换红外光谱(c)、尿素、HA-Na和Mix的TG和DTG曲线(d)、NHC和HA-Na的TG曲线(e)、XRD图像(f)、柠檬酸钾和未酸洗NHPC-750-3的TG和DTG曲线(g)
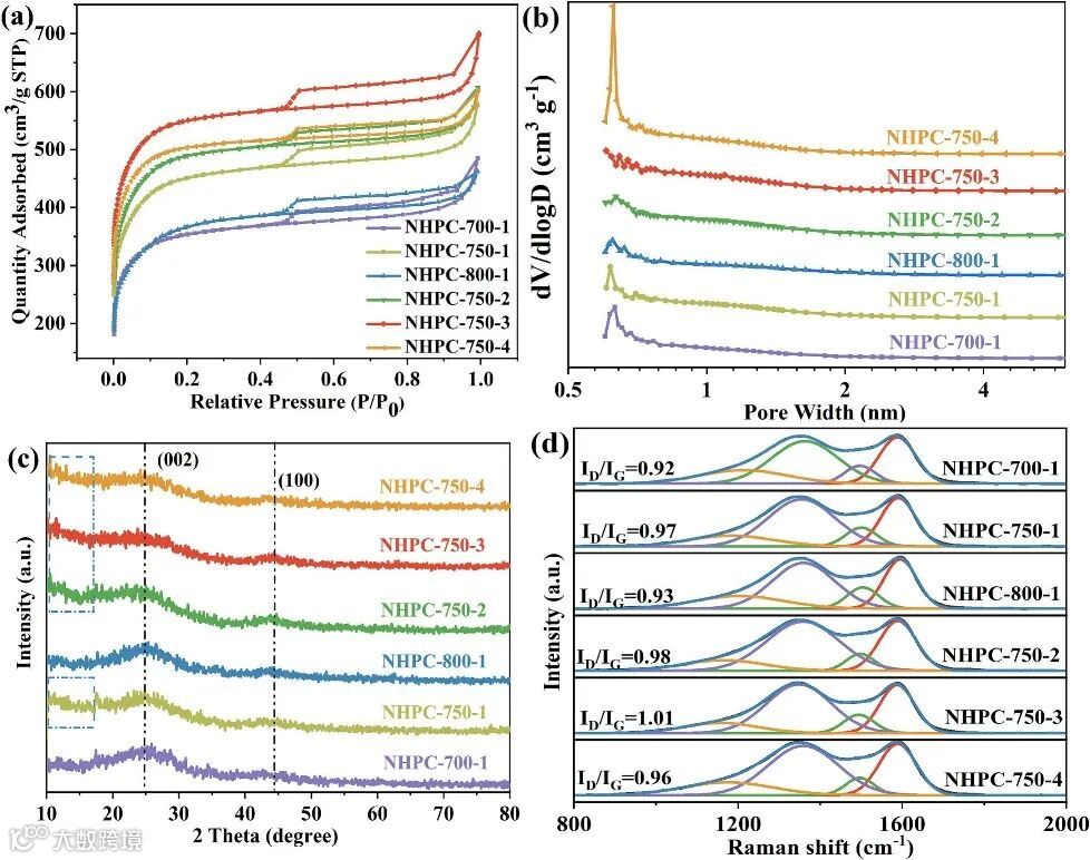
要点二:孔隙结构的优化
通过BET分析揭示了尿素辅助柠檬酸钾活化对多孔碳材料孔隙结构的调控规律。当活化温度从700 °C升至750 °C时,K2CO3分解产生的CO气体促使微孔大量形成,使比表面积达到1445.58 m²/g的峰值;但温度继续升高至800 °C会导致孔结构坍塌。同样,柠檬酸钾浸渍比存在最优值(NHPC-750-3),既保证了丰富的活性位点,又维持了结构稳定性。XRD和拉曼光谱分析揭示了孔隙调控的深层机制——随着柠檬酸钾比例增加,(002)峰减弱且ID/IG比值升高,表明通过调节活化剂用量可精确控制材料的石墨化程度和缺陷密度。这种多级孔结构与适度缺陷的协同作用,使材料在保持结构完整性的同时,展现出优异的电化学性能。
图 2. NHPC-T-X的氮吸附/解吸等温线(a)、孔径分布图(b)、XRD图(c)和拉曼光谱(d)
要点三:表面化学性质的调控
通过XPS深入解析了活化条件对多孔碳材料表面化学性质的调控机制。其中,N-6在活化过程中优先被消耗,从而促进孔隙结构的优化。C=O和N-5共同构建了丰富的赝电容活性位点——这些官能团不仅改善了电极/电解液界面润湿性,更通过可逆氧化还原反应贡献额外赝电容。研究特别发现,NHPC-750-3样品展现出最优的表面化学特性:丰富的N-5位点以及高含量C=O基团,这种多组分协同效应使其兼具优异的电荷传输能力和丰富的电化学活性位点。
图 3. NHPC-T-X的XPS C 1s 光谱(a)、N 1s光谱(b)和O 1s光谱(c)
要点四:优异电化学性能的协同机制
本研究开发的NHPC-750-3多孔碳材料展现出优异的储能性能:在0.5 A/g电流密度下比电容高达310.1 F/g,优于多数柠檬酸钾作为活化剂制备的碳材料,甚至优于部分传统KOH活化的煤基活性炭。这种卓越性能源于三大协同机制:首先,材料独特的微孔结构(0.6-0.8 nm)与高达1749.96 m²/g的比表面积构建了高效的双电层电容;其次,表面丰富的N-5/N-6氮构型和C=O含氧官能团贡献了显著赝电容;第三,三维互连孔道网络使离子扩散系数达到8.52×10-7 cm²/s,Warburg阻抗低至0.0340 Ω·s-0.5。电化学动力学分析揭示,在50 mV/s扫描速率下电容贡献占比达79.27 %,且随着速率提升电容贡献持续增加,这归功于材料优异的导电性(电荷转移电阻仅0.01 Ω)和快速离子传输能力。组装的对称超级电容器(NHPC-750-3//NHPC-750-3)在1.2 V电压窗口下展现出12.91 Wh/kg的能量密度,20000次循环后容量保持率达84.6%,库伦效率始终维持在100 %。
图 4. NHPC-T-X的CV曲线(a)和GCD曲线(b)、NHPC-750-3在0.5 A/g-20 A/g时的GCD曲线(c)、NHPC-T-X的速率性能(d)、log(i) vs. log(v)的拟合线(e)、NHPC-T-X的扩散和电容贡献(f, g)、NHPC-750-3 在 5 mV/s-200 mV/s 时的扩散和电容贡献(h)、NHPC-T-X的奈奎斯特图(i)
图 5. NHPC-750-3//NHPC-750-3 在 50 mV s-1下从0-1到0-1.8 V的CV曲线(a)、5 mV/s-200 mV/s的CV曲线(b)、0.5 A/g-20 A/g 的GCD曲线(c)、Nyquist图(d)、倍率性能(e)、Ragone图(f)、循环稳定性(g)
科学材料站
文 章 链 接
”Fabrication of Porous Carbon Nanosheets via Urea-Promoted Activation of Potassium Citrate for Enhanced Supercapacitor Performance”
https://doi.org/10.1016/j.cej.2025.162487
科学材料站
通 讯 作 者 简 介
张国杰,教授、博士生导师,山西省能源研究会秘书长,国家自然科学基金、国家科技部及教育部评审专家。研究工作涉及煤炭清洁利用、新型炭材料的可控合成、设计及制备、CO2吸附分离与催化转化、废物资源化利用等方面。近年来主持国家及省部级项目20余项,并作为主要技术骨干参加了国家重点基础研究发展计划(973计划)及国家科技支撑计划重点资助项目等国家级项目10余项。发表科研学术论文200余篇,SC、EI检索150余篇,SCI累计他引3750余次,H指数36,申请及授权国家发明专利授权专利88项,出版专著1部,参编专著3部。荣获山西省科技进步二等奖(2012-Z-2-002)、教育部高等学校科学研究优秀成果奖一等奖(2013-142)、侯德榜化工科技奖-青年奖(2017)、三晋英才(2019)、省优秀先进科技工作者(2019)、全国石油和化工行业优秀科技工作者(2020)、省优秀青年学术带头人(2013)和山西省“131”中青年创新人才(2013)等称号。担任“Frontiers in Energy Research”副主编,担任J Catal、Bioresource Technol、Carbon、J Hazard Mater、Renew Sust Energ Rev、Appl Catal B: Environ等多个国际期刊审稿人。
添加官方微信 进群交流
SCI二氧化碳互助群
SCI催化材料交流群
SCI钠离子电池交流群
SCI离子交换膜经验交流群
SCI燃料电池交流群
SCI超级电容器交流群
SCI水系锌电池交流群
SCI水电解互助群
SCI气体扩散层经验交流群
备注【姓名-机构-研究方向】
投稿请联系contact@scimaterials.cn
点分享
点赞支持
点在看

