科学材料站
文 章 信 息
导电有机硫聚合物微笼助力高性能钠硫和钾硫电池
第一作者:曾娴,易子坚
通讯作者:宾德善*,李丹*
单位:暨南大学
科学材料站
研 究 背 景
Na-S和K-S电池具有高能量密度,与锂、钴和镍元素等稀有资源相比,它们使用的金属在自然界中更为丰富且价格低廉,因此引起了人们的浓厚研究兴趣。如何设计具有高反应活性和高稳定性的硫正极是发展高性能电池器件的关键。然而,用于存储Na/K的硫正极存在反应动力学方面的难题,尤其对于储钾而言,传统S8材料面临K2S3还原至K2S困难的挑战,导致硫电极容量和稳定性低。此外,传统硫正极还存在电导率低、产生可溶性多硫化物发生穿梭效应,反应过程体积形变严重等挑战。前期有相关报道设计小硫分子(S2-4)可以有效的增强反应动力学。然而,将这些较小的硫分子限制在多孔材料中通常需要精确控制宿主材料的孔径,这不仅增加了制备过程的复杂性,也限制了可选主体材料的范围。此外,这种小分子硫正极对于K-S电池体系而言,仍然难以解决容量快速衰减的问题。通过简单的合成过程开发一种具有出色整体性能的先进硫正极材料具有十分重要的意义。
科学材料站
文 章 简 介
基于此,暨南大学宾德善/李丹团队在国际知名期刊J. Am. Chem. Soc.上发表了题为“Stable Na/K–S Batteries with Conductive Organosulfur Polymer Microcages as Cathodes”的研究论文。该论文以具有丰富的离域C=C和C=S基团结构的导电有机硫聚合物微笼(COSP)作为高比容量、长寿命钠硫和钾硫电池正极材料。该硫基正极材料是通过将短链硫共价键合到导电聚合物基质中获得的,能有效抑制可溶性多硫化物的形成。借助微笼内部的空腔有效缓冲电化学反应过程中产生的体积形变,展现出优异的储钠、储钾反应动力学,作为的K-S电池的正极时,COSP正极可发挥高的比容量(1206.5 mAh g⁻¹)和优异的循环稳定性,在0.9A g-1条件下1100次循环后容量保持率接近100%。
生物质来源丰富、化学组分丰富,作为碳前驱体已经被广泛报道。已有研究通常是通过高温(如>700 ℃)热解生物质前驱体获得多孔碳(如示意图1a),然后通过熔融法将单质硫与多孔碳进行孔限域复合获得S8/C正极材料,单质硫和碳基底是以物理吸附或限域的方式复合;不同于已报道的碳硫复合物,该研究通过水热反应对酵母菌进行选择性刻蚀获得微米笼生物质中间体,然后将其与单质硫进行控制热处理(如350 ℃),使得两种前驱体在受热环境中反应重构,形成导电有机硫聚合物微米笼(如示意图1b),而不是转变成碳材料;硫组分以短链硫的形式通过化学键合均匀分散在聚合物基质中。
图1. 导电有机硫聚合物微笼(COSP)合成示意图:(a) 文献方法;(b) 本研究方法
科学材料站
本 文 要 点
要点一:材料合成及结构表征
通过TEM、Raman、XPS、FTIR、元素分析和电化学分析等表征手段对COSP的结构进行了表征。COSP中含有46.3 wt%的硫物种,以短链硫的形式与导电聚合物基质通过C-S键连接;且生成的有机硫聚合物骨架中含有丰富的离域C=C和C=S基团,可促进空间π电子共轭和空间sp²杂化的形成,有效增强电子转移从而获得高的电子电导率。
图2. COSP材料的结构表征。(a)水热处理后得到的酵母衍生微笼SEM图像;(b)COSP的SEM图像;(c)COSP的TEM图像;(d)COSP的元素分布图;(e)拉曼光谱。
图3. (a) FTIR图谱;(b) COSP的高分辨率S2p XPS光谱;(c) COSP的高分辨率C1s XPS光谱;(d) XRD图谱;(e) 热重分析;(f)电子导电性的比较。
要点二:COSP的演变过程
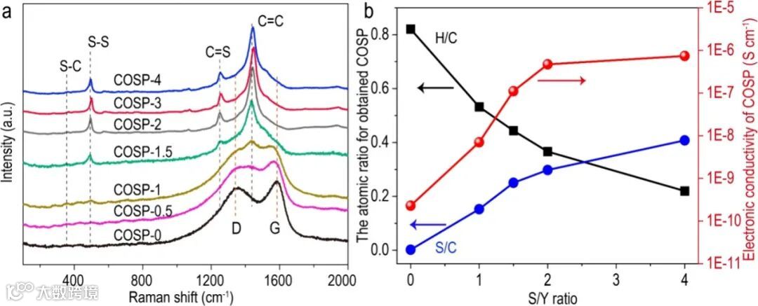
通过拉曼、XRD等表征分析进一步证实了生物质和单质硫结合形成导电有机硫聚合物的过程。实验结果表明,在350°C的热处理过程中,两种前驱体通过分解并共价键合实现化学骨架重构,最终形成了有机硫聚合物。反应温度的控制在COSP的形成中起着至关重要的作用,过低的温度下热解不足以将混合物前驱体转化为导电有机硫聚合物,而过高的温度会导致有机硫聚合物碳化。
图4. (a)拉曼光谱;(b)不同S/Y质量比COSP-X样品的H/C、S/C原子和电子导电性的变化曲线。
要点三:COSP的电化学性能
将COSP作为正极材料组装成电池时,在Na-S和K-S电池中表现出优异的电化学性能。电化学研究表明,该COSP正极比传统的S8正极具有更优异的活性和反应动力学。特别地,作为挑战性极大的K-S电池的正极时,COSP正极可发挥高的比容量(1206.5 mAh g⁻¹)和优异的循环稳定性,在0.9A g-1条件下1100次循环后容量保持率接近100%。
图5. COSP正极在K–S电池中的电化学性能。(a)COSP在0.03 A g–1下的充放电曲线;(b)S8/AC在0.03 A g–1下的充放电曲线;(c)COSP和S8/AC的循环伏安曲线;(d)倍率性能;(e)0.15 A g–1下的循环稳定性;(f)0.9 A g–1下的长循环性能;(g)COSP正极与已报道的K–S电池正极材料的循环性能比较。
要点四:COSP的动力学行为研究
通过多种表征手段表明COSP正极具有优异的电化学反应动力学和电化学稳定性。在钾化和脱钾过程中,C-S共价键发生了断裂和重构为K+的存储提供有效的氧化还原活性位点,另外COSP微笼的内部空间可以缓冲钾化过程中电极的体积形变。COSP在极端环境下同样具有良好的化学稳定性,包括在有机电解质、碱、酸,甚至CS2溶剂中。
图6.(a)COSP在不同充放电状态下的非原位高分辨率S 2p XPS光谱;(b)在放电6小时后电解液的紫外-可见光谱(插图为电池槽的照片);(c)放电过程中的GITT曲线及扩散系数Dk值;(d)钾离子储存过程中的电容和扩散容量贡献;(e)扫描速率为0.5 mV/s时的电容容量贡献;(f)COSP电极钾化前的SEM图像;(g)COSP电极在0.06 A g–1条件下钾化后的SEM图像;(h)COSP在有机电解液、碱性溶液、酸性溶液和二硫化碳(CS2)溶剂中处理5天后的拉曼光谱。
综上,这种导电有机硫聚合物微笼(COSP)正极材料不仅制备工艺简单、化学性质稳定,还展现出优异的电导率。短链硫物种与导电聚合物基体紧密结合有效抑制了可溶性多硫化物的形成,而其独特的中空微笼结构提供了内部空间,能够有效缓冲电极在充放电过程中的体积变化。该研究为开发高性能、高稳定性的碱金属-硫电池新型硫基正极材料提供了新的思路,同时也深化了对钾硫转化化学反应机制的理解。
科学材料站
文 章 链 接
Stable Na/K–S Batteries with Conductive Organosulfur Polymer Microcages as Cathodes
https://pubs.acs.org/doi/10.1021/jacs.4c11845
科学材料站
通 讯 作 者 简 介
宾德善,暨南大学教授。2018年于中国科学院化学研究所获博士学位,2018-2020年于日本产业技术综合研究所(AIST)-京都大学化学能源材料创新实验室开展博后研究;2020年加入暨南大学超分子配位化学研究所,专注于高稳定性钾(钠)离子电极材料、器件及储存机制研究,取得的代表性成果以通讯/第一作者发表在Acc. Chem. Res.、J. Am. Chem. Soc (5)、Angew. Chem. Int. Ed (4)、Energy Environ. Sci.、Sci. China Chem等学术期刊;2021年获广东省杰出青年基金项目资助, 2024年入选JMCA和Sci. China Mater 新锐科学家。
科学材料站
课 题 组 招 聘
本实验室致力于开展具有重大科学意义和应用前景的功能材料的分子设计、合成技术、晶体工程和材料创制等研究,常年招收上述相关方向和电化学方向博士后。
添加官方微信 进群交流
SCI二氧化碳互助群
SCI催化材料交流群
SCI钠离子电池交流群
SCI离子交换膜经验交流群
SCI燃料电池交流群
SCI超级电容器交流群
SCI水系锌电池交流群
SCI水电解互助群
SCI气体扩散层经验交流群
备注【姓名-机构-研究方向】
投稿请联系contact@scimaterials.cn
点分享
点赞支持
点在看

