科学材料站
文 章 信 息
自组装跨尺度序构阵列薄膜作为仿生界面稳定锌阳极
第一作者:马康
通讯作者:陶凯*,姜银珠*
单位:浙江大学
科学材料站
研 究 背 景
水性锌离子电池(AZIBs)因其高安全性、无毒性和低成本而成为下一代储能设备的强有力候选者,引起了越来越多的关注,特别是在可穿戴电池等先进能源领域显示出巨大的应用潜力。然而,尽管有上述优点,锌阳极仍面临腐蚀、析氢反应(HER)和枝晶生长等挑战性问题,严重阻碍了AZIBs的性能和实际应用。固体电解质界面(SEI)的引入被认为是最简单、最有前景的策略,因为它具有同时抑制腐蚀、HER发生和枝晶生长的优点。因此,越来越多的人致力于利用分子工程和分子制造策略来开发高效SEI,以稳定锌金属阳极并提高AZIBs的性能。然而,尽管取得了广泛的进展,但目前最先进的策略相对复杂,缺乏有效的可控性。
此外,大多数研究都集中在亲水性SEI上,水分子不可避免地会通过孔或间隙迁移到锌箔上,从而导致副反应。相比之下,疏水性SEI可以减轻这一缺点。然而,离子传输和疏水性之间存在固有的矛盾。因此,迫切需要开发具备有序亲锌通道的超疏水SEI。在这方面,由于可定制设计的自组装超分子结构、高度有序的相互作用网络以及灵活的调控手段等固有优势,分子制造可能提供一种替代策略来提供多功能SEI。因此,人们越来越关注采用自组装策略开发超分子SEI,以提高AZIBs的电化学性能。
科学材料站
文 章 简 介
基于此,来自浙江大学的陶凯研究员与姜银珠教授合作,在国际知名期刊Chemical Engineering Journal上发表题为“Self-Assembled Supramolecular Pillared Arrays as Bionic Interface to Stabilize Zinc Metal Anodes”的文章。该文章受天然自组装跨尺度序构阵列的启发,通过物理气相沉积(PVD)方法在锌阳极上实现了构筑仿生超分子阵列架构(BSPAs)作为超疏水SEI。芳香相互作用的广泛交织促进了分子的高度定向、头尾堆叠,从而诱导了大规模、超疏水的BSPAs。因此,水分子与锌阳极之间的接触比例降低,这有助于Zn2+的去溶剂化,并抑制腐蚀或副反应。同时,电负性氮原子的高度有序排列使通道具有亲锌性,从而诱导无枝晶和均匀的锌沉积。这些效应的协同作用显著提高了对称电池和全电池的电化学性能。作者的发现证明了自组装跨尺度序构策略在开发仿生超分子阵列中的可行性,以优化实际金属电池中金属离子的沉积行为。
示意图1自组装跨尺度序构BSPAs作为仿生界面,通过促进Zn2+的去溶剂化、抑制腐蚀和副反应来稳定锌金属阳极,从而提高锌阳极的电化学性能。
科学材料站
本 文 要 点
要点一:BSPAs层的制备与表征
使用物理气相沉积(PVD)技术将三苯基三嗪(TPTA)冻干粉末蒸镀到锌箔表面,TPTA分子中三嗪骨架部分的N原子为Zn原子提供了额外的电子并主导了初始的吸附和成核,然后熟化为更大的超分子结构。这导致锌箔的颜色从银色演变为白色。BSPAs的尺寸可以通过控制TPTA粉末的重量来调节。
图1 BSPAs层的制备与表征
要点二:BSPAs对锌阳极的界面优化
BSPAs可以改变Zn箔的疏水性,使其显示出超疏水特征,降低了水分子在电极上的接触比例,减少锌箔表面的自腐蚀反应。BSPAs内部高度有序的π-π堆叠和亲锌性N分子网络可以加速自组装体内部的电荷转移,从而提高界面反应动力学,表明 BSPAs可以作为超分子SEI来增强AZIBs的电镀/剥离动力学。
图2 BSPAs层的超疏水性和亲锌性。
要点三:BSPAs诱导锌均匀电镀/剥离和无枝晶锌沉积
对称电池循环后的SEM表明BSPAs@Zn阳极能够保持紧凑且相对光滑的表面,没有明显的副产物,证明了锌的稳定均匀沉积。此外,通过COMSOL Multiphysics场分析研究了BSPAs对锌阳极表面电场和离子浓度场分布的影响。在裸锌表面由于“尖端效应”引起了负电荷的积累,因此在引入电场后大量的Zn2+聚集在突出的位置,导致Zn2+浓度不均匀分布。在BSPAs@Zn表面附近的电场均匀分布,最终实现了快速均匀的锌沉积。这些计算结果与实验结果一致,并再次解释了BSPAs作为高效超分子SEI的机制。
图3 BSPAs诱导锌阳极的均匀镀/剥离和无枝晶沉积
要点四:BSPAs减少锌阳极表面副反应并提升电池的电化学性能
BSPAs的存在可以有效抑制锌表面的化学腐蚀或副产物积累,在减小锌阳极表面腐蚀电流密度的同时能够抑制析氢副反应的发生。同时由于BSPAs对电场和离子浓度场的均匀作用,使得锌离子的沉积行为从二维堆积生长转变为三维均匀沉积。此外,得益于BSPAs的对锌阳极的保护提高了Zn-Ti半电池的库伦效率并延长了Zn-Zn对称电池的循环寿命。
图4 BSPAs可以抑制副反应,提高电化学性能。
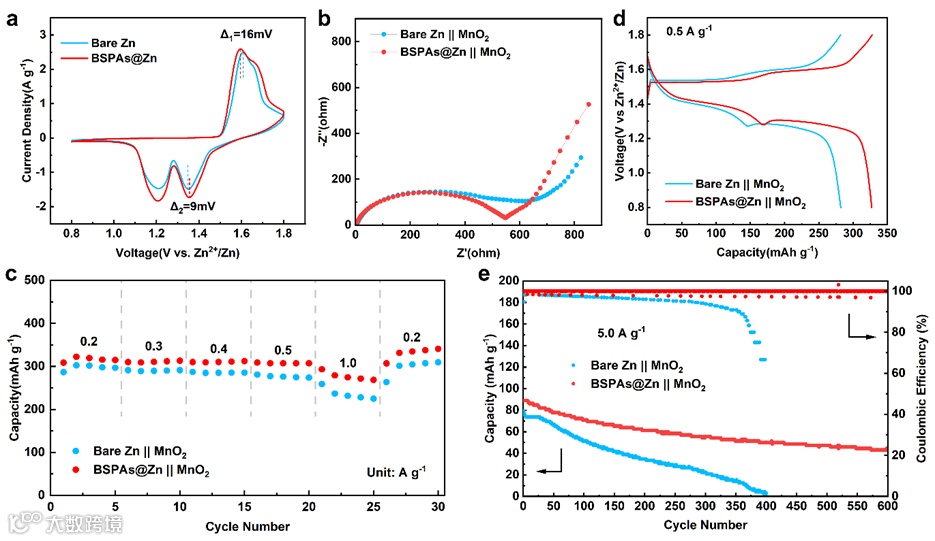
随后对Zn||MnO2全电池性能进行了测试,以评估BSPAs在锌金属电池中的实用性。BSPAs@Zn||MnO2表现出较小的氧化还原过电位,表明其具有更快的反应动力学。同时BSPAs@Zn||MnO2拥有更优异的倍率性能和容量保持率,表明仿生BSPAs在稳定锌阳极方便表现出巨大的潜力,提供了一种潜在的稳定AZIBs阳极的有效方法。
图5 Zn||MnO2 全电池的电化学性能
科学材料站
文 章 链 接
Self-Assembled Supramolecular Pillared Arrays as Bionic Interface to Stabilize Zinc Metal Anodes
https://authors.elsevier.com/c/1kHE34x7R2kUMF
科学材料站
通 讯 作 者 简 介
陶凯,浙江大学机械工程学院/杭州国际科创中心研究员,博导,浙江-爱尔兰生物有机电介质材料与器件联合实验室主任、浙江-以色列自组装功能材料联合实验室副主任、浙江大学杭州国际科创中心副主任(双专计划)兼未来科学研究院副院长;分子制造研究领域,致力于通过操控分子自组装与阵列化,制备特定形性的超分子电介质材料/结构(件),并以此设计制造面向智能生物医学工程的超分子功能器件装备;主要从事生物有机自组装形性协同制造与调控、阵列化与跨尺度序构、超分子电介质与软器件等研究。
姜银珠,浙江大学教授、博士生导师,国家优秀青年基金获得者、德国洪堡学者、英国材料与矿物学会会士、英国诺森比亚大学客座教授。主要从事包括钠离子电池、锌离子电池和固态电池等电化学储能材料与器件研发。作为项目/课题负责人承担了国家重点研发计划、国家自然科学基金等多项科研项目,与国家电网等公司开展了产学研项目攻关。相关研究成果在Sci. Adv.、Energy Environ. Sci.、Adv. Mater.、Sci. Bull.等知名学术期刊上发表SCI论文180余篇,论文他引9000余次,授权国家发明专利30余项,获2014年度浙江省技术发明一等奖(R3)。
科学材料站
第 一 作 者 简 介
马康,2023年本科毕业于东南大学,随后加入浙江大学机械工程学院陶凯老师课题组攻读博士学位。他目前的研究兴趣集中在利用短肽自组装材料制备可穿戴式柔性锌离子电池。
科学材料站
课 题 组 介 绍
分子制造团队致力于以分子作为操纵对象、以分子定义制造模式、以分子调控器件表现;通过操控分子自组装与阵列化和跨尺度序构,制备原子尺度上精准、特定形性的超分子电介质材料/结构(件),并以此设计制造面向智能生物医学工程的超分子功能器件装备。其通过多学科交叉,期望打通从生物有机组装基元的构筑、自组装与阵列化的表征调控到面向生物医学工程的超分子电介质制备与器件设计制造的全贯通。课题组诚挚邀请热爱科研的本科生、研究生以及博士后加盟,共同成长、携手并进!
添加官方微信 进群交流
SCI二氧化碳互助群
SCI催化材料交流群
SCI钠离子电池交流群
SCI离子交换膜经验交流群
SCI燃料电池交流群
SCI超级电容器交流群
SCI水系锌电池交流群
SCI水电解互助群
SCI气体扩散层经验交流群
备注【姓名-机构-研究方向】
投稿请联系contact@scimaterials.cn
点分享
点赞支持
点在看

