科学材料站
研 究 背 景
快充锂离子电池作为便携式电子设备和新能源汽车的储能设备受到广泛关注,遗憾的是,电池在快速充电过程中不能有效保证高安全性。Li3VO4具有合适的嵌锂电位和快速的动力学特性,可以被认为是一种高安全性的快充负极材料。目前,尽管Li3VO4作为锂离子电池负极材料已经得到广泛的研究并取得令人鼓舞的研究成果,但在快速充电和缓慢充电过程中离子扩散机制的区别尚未得到很好的阐明。本文详细研究了Li+在Li3VO4中的快速和缓慢扩散机制。具体来说,在快速充电过程中,由于Li+的嵌入和脱出过程相当快,因此,Li+倾向于沿着路径a扩散。相应的,Li+在缓慢充电过程中会沿着路径a和路径b扩散。而传统观点认为Li+不管在快速充电还是缓慢充电过程中均倾向于沿着路径a扩散。
此外,还预测了Li+嵌入a位点和b位点后的晶格变化。这一发现有助于理解掺杂、纳米化和其他改性方法的机理,并有针对性地解决快速充电问题。例如,在原子和晶格尺度上调节最佳快速扩散路径,诱导Li+在快速充电过程中更快地嵌入材料晶格中,并提高其功率密度。因此,理解Li+在Li3VO4中的快速扩散机制对于解决该材料的快速充电问题至关重要。不幸的是,较差的电子电导率限制了它的储锂容量,因此,本文以聚乙烯吡咯烷酮为碳源,通过一步水热法和液相分散法制备了Li3VO4/C复合材料,该材料在0.1 A g-1的电流密度下保持273 mAh g-1的储锂容量。即使在1.0-4.0 A g-1时,它也表现出相当高的快充性能。电化学动力学研究表明,碳包覆可以有效提高Li3VO4的电子电导率。此外,通过计算预测了电池在快速充电和缓慢充电过程中的嵌锂位点和离子扩散路径。采用原位XRD分析了该材料在嵌锂和脱锂过程中的结构变化。该数据为理解Li3VO4的快速储锂机理提供了理论基础,并为寻找快充负极材料提供了新方法。
科学材料站
文 章 简 介
兰州理工大学材料科学与工程学院冉奋教授研究了在快速充电和缓慢充电过程中锂离子扩散路径的区别,预测了Li+嵌入不同位点后的晶格变化,这项工作为理解掺杂、纳米化和其他改性方法提供了理论基础,并且可以从原子和晶格尺度上解决快速充电问题。相关成果以“Fast-charging” mechanism of Li3VO4 from the perspective of material science for lithium-ion battery为题发表在Chemical Engineering Journal上。文章的第一作者是兰州理工大学材料科学与工程学院博士研究生王蕊。
图1 Li3VO4负极材料的晶体结构及离子和电子在材料晶格中的扩散路径。
科学材料站
内 容 表 述
图2 (a-b) Li3VO4与3种负极材料(石墨、Li4Ti5O12和Li3V2O5)在嵌锂电压、比容量和能量密度方面的比较。(c) Li3VO4的晶体结构。(d) Li3VO4和Li3VO4/C复合材料中Li+和电子的传输路径。
本文组装了石墨、Li4Ti5O12、Li3VO4、Li3V2O5和LiNi0.8Co0.1Mn0.1O2的半电池,比较了它们的能量密度。如图2 (a-b)所示,当Li3VO4与LiNi0.8Co0.1Mn0.1O2组成全电池时表现出合适的嵌锂电压。相比之下,Li4Ti5O12表现出较高的嵌锂电压(约1.5 V)和较低的能量密度(不超过石墨的三分之一)。对于石墨来说,在快速充电过程中,低的嵌锂电压会诱导锂枝晶的产生。因此,Li3VO4和Li3V2O5被认为是非常有前途的快充负极材料。但Li3VO4的特殊灯笼状空心结构使其更具有研究意义。具体来说,Li3VO4负极材料通常具有Pmn21空间群的正交结构。在晶体结构中,Li+与4个O2-结合形成一个LiO4四面体,分别与4个VO4四面体和8个LiO4四面体共用角。V5+与4个O2-结合形成VO4四面体,它与12个LiO4四面体共用一个角。
有两个较短的和两个较长的V-O键,分别为1.72 Å和1.73 Å,而O2-与3个Li+和1个V5+结合形成了共享角的OLi3V四面体。最终生成一个由边角共享的VO4和LiO4四面体组成的空心灯状三维(3D)结构。如图2 (c)所示,由于只有一半的四面体位点被Li和V占据,因此可能存在一部分空位供Li+嵌入。在Li3VO4的晶体结构可以最多储存3个Li+形成Li6VO4, V从+5价降低到+2价,使理论储锂容量高达592 mAh g-1。然而,尽管Li3VO4具有有利于Li+快速扩散的晶体结构,但低的电子导电性限制了其快速充电能力。特别是大颗粒的Li3VO4只能从碳添加剂中接收电子,这导致了相当长的导电距离。提高电极材料的导电性是研究Li3VO4材料储能机理的必要条件。因此,以聚乙烯吡咯烷酮高温碳化作为碳源来提高材料的导电性 (图 2 (d))。该方案不仅提高了材料的电子电导率,而且制备的Li3VO4/C纳米颗粒缩短了离子扩散路径,有效的提高了储锂容量。
图3 (a-b) Li3VO4和Li3VO4/C复合材料的SEM图。(c-f) Li3VO4/C复合材料的TEM、HR-TEM、SAED和EDS光谱。(g) Li3VO4/C复合材料中V、O、C的元素映射图。
图3 (a-b)为Li3VO4和Li3VO4/C复合材料的SEM。该材料的表面形态特征呈现出由不规则纳米颗粒组成的大颗粒,这归因于在材料制备过程中存在NH3的生成,这种结构有利于电极材料和电解液之间的接触。如图3 (c)所示,Li3VO4/C复合材料呈现出由纳米小颗粒组成的大聚集体(约300 nm),微小的纳米尺寸可以减少离子和电子的扩散路径。因此,电池快速充电问题不仅可以通过合成纳米材料来解决,还可以通过在纳米颗粒的表面涂上一层薄碳来为单个颗粒提供所需的导电性(图3 (d))。如图3 (e)所示的电子衍射图证明了Li3VO4/C复合材料的多晶结构,表明Li3VO4属于具有Pnm21空间群的正交体系。如图3 (f-g)所示,Li3VO4/C复合材料的EDS和元素映射证明了V、O和C的分布,进一步证实了C的存在。
图4 (a-b) Li3VO4和Li3VO4/C复合材料的倍率性能图和初始充放电曲线。(c-d) 循环150次后,Li3VO4和Li3VO4/C复合材料的充放电曲线和CV曲线。
Li3VO4和Li3VO4/C复合材料在不同电流密度下的倍率性能如图4 (a)所示。与Li3VO4相比,制备的Li3VO4/C复合材料具有优异的倍率性能。在0.1 A g-1的电流密度下,循环110次后,储锂容量可达到257 mAh g-1。容量的增加归因于随着循环的进行,材料的活性在碳涂层的作用下逐渐被激活,结果表明,碳包覆有利于提高锂离子电池的储锂容量。Li3VO4和Li3VO4/C复合材料的初始放电和充电曲线如图4 (b)所示,在0.1 A g-1下,放电和充电电压平台分别在0.6 V和1.3 V左右。然而,从图4 (c)可以看出,在第150次循环中,Li3VO4/C复合材料的放电和充电电压平台几乎没有变化,而Li3VO4的电压平台几乎消失,这归因于Li3VO4较差的导电性。图4 (d)显示了在0.1 mV s-1下,循环150次后Li3VO4和Li3VO4/C的CV曲线。对于Li3VO4/C复合材料,在0.56 V和0.95 V处的峰归因于V5+的还原。此外,在1.28 V处发现氧化峰。然而,由于Li3VO4几乎是绝缘体,因此很难从材料中获得电子,这导致氧化还原峰几乎消失。
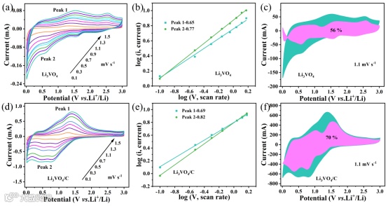
图5 (a-c) Li3VO4的CV曲线,log(i)与log(v)的线性关系,以及150次循环后,在1.1 mV s-1下的电容贡献。(d-f) Li3VO4/C复合材料的CV曲线,log(i)与log(v)的线性关系,以及150次循环后,在1.1 mV s-1下的电容贡献。
利用CV曲线研究了Li3VO4和Li3VO4/C复合材料的详细动力学过程。如图5 (a-d)所示,可以明显看出,与Li3VO4相比,Li3VO4/C复合材料的CV曲线发生了明显的变化,这归因于碳包覆提高了材料的电子导电性和储锂性能。在不同扫描速率下,Li3VO4和Li3VO4/C复合材料的氧化还原反应保持稳定,氧化峰位于1.5 V和2.5 V,还原峰分布在0.4 -0.8 V之间。由式(1)和(2)可知,Li3VO4和Li3VO4/C复合材料主要受扩散控制还是电容行为控制。
其中i表示峰电流,v表示扫描速率。当b趋于1时,电容性行为占主导,当b趋于0.5时,电化学性能主要受扩散控制。Li3VO4的峰1和峰2的b值分别为0.65和0.77,而Li3VO4/C复合材料的峰1和峰2的b值分别为0.69和0.82。显然,在碳包覆的作用下,Li3VO4/C复合材料比Li3VO4表现出更大的电容贡献(图5 (b-e)。在1.1 mV s-1下,Li3VO4和Li3VO4/C复合材料的电容贡献分别为56 %和70 %(图5 (c-f)),Li3VO4/C复合材料的电容贡献高于Li3VO4,并且随着电流密度的增加,Li3VO4和Li3VO4/C复合材料的电容贡献都逐渐增大。较高的电容贡献有助于获得优异的倍率性能。由于碳包覆提高了Li3VO4的电子导电性,因此可以将Li3VO4/C复合材料作为一种有前途的快速充电负极材料。
图6 (a-c) 在0.1 A g-1下,Li3VO4/C复合材料在初始放电和充电过程中的原位XRD谱图、放大衍射图和等值线图。(d) Li3VO4的晶体结构。(e) Li3VO4晶格中的嵌锂位点。(f-g) a位点和b位点的局部电荷密度差等值面。(h) Li+在Li3VO4晶格中的扩散路径。(i) Li+沿路径a和路径b的迁移势垒。
利用原位XRD测试,确定了Li3VO4/C复合材料在初始放电和充电过程中的结构变化,这对于理解储锂机理和电极结构变化过程至关重要。根据Li3VO4/C复合材料的电压平台,可将整个放电和充电过程划分为5个区域。如图6 (a)所示,Li3VO4/C电极的原位XRD谱图揭示了在储锂过程中Li3VO4/C电极材料的结构演变过程。位于16.28、21.50、22.79、24.28、28.14、32.84、36.27和58.58o处的信号峰对应于正交型Li3VO4的(100)、(110)、(011)、(101)、(111)、(200)、(200)、(002)和(320)晶面。随着放电深度的增加,衍射峰的强度呈逐渐降低的趋势,表明Li+的嵌入降低了电极材料的结晶度。此外,在放电过程中,由于Li3VO4/C复合材料的结构被破坏,一些特征峰逐渐消失。放电至0.7 V时,除了Li3VO4的特征峰外,在27.50o处观察到一个新的衍射峰,这意味着第一中间体的形成(图6 (b))。
当放电至0.45 V时,在22.1o和23.60o处出现了两个新的衍射峰,这意味着第二中间体的形成,放电至0.01 V时在34.60o处出现一个新的衍射峰,表明Li3VO4进一步被转化为Li3+xVO4相。在充电过程中,34.60o处的衍射峰逐渐消失(图6 (c))。上述结果表明,在初始放电和充电过程中,Li3VO4/C复合材料的结构发生了不可逆的变形,以适应Li+的嵌入。由于快速充电是一种浅充电技术,电极材料在循环过程中保持了相对稳定的结构,并且Li3VO4/C复合材料的储锂过程通常通过两相反应机制实现。此外,通过离子扩散路径进一步阐明了Li3VO4的储锂过程。图6 (d)为Li3VO4的晶体结构,其中指向“上”的四面体位点被V占据,而指向“下”的四面体位点为锂存储的空位点。为了阐明快速充电和缓慢充电过程中离子扩散机制的区别,我们指定了两个吸附位点,即a位点和b位点(图6 (e))。Li+在a位和b位的吸附能分别为-2.78 eV和-1.57 eV,表明Li+倾向于嵌入a位点。如图6 (f-g)所示,从电荷密度差可以得出,Li失去电子给相邻的O原子,并且转移的电荷是局域性的,表现出类似Nb2O5材料的电容性行为。此外,V的价态适度降低,表明在嵌锂过程中存在氧化还原反应。根据能量最低原理,锂离子倾向于嵌入a位点。电池在快速充电过程中,由于Li+的嵌入和脱出过程较快,Li+倾向于沿着路径a扩散(图6 (h-i))。相应的,在缓慢充电过程中,Li+沿路径a和路径b扩散。传统观点认为,Li+在快速充电和缓慢充电过程中均倾向于沿着路径a扩散。此外,Li+插入不同位点的晶格变化揭示了材料在循环过程中保持了相对稳定的结构。这一发现有助于理解掺杂、纳米化和其他改性方法的机理,并有针对性地解决快速充电问题。
图7 (a-b) Li3VO4和Li3VO4/C复合材料的EIS谱图。
如图7 (a-b)所示,Li3VO4和Li3VO4/C复合电极的Rct值分别为501Ω和272Ω。显然,Li3VO4/C复合电极的电荷转移阻抗低于Li3VO4,进一步证实了碳包覆降低了材料的电阻。因此,Li3VO4/C复合材料被认为是一种良好的快速充电负极材料。
科学材料站
总 结
综上所述,Li3VO4被认为是理想的快速充电负极材料,这归因于合适的嵌锂电压和空心灯笼状的晶体结构。遗憾的是,低的电子导电性限制了其快速充电性能,因此以聚乙烯吡咯烷酮为碳源来提高材料的电子电导率。与Li3VO4相比,Li3VO4/C复合材料表现出优异的快速充电性能。电化学动力学研究表明,碳可以提高Li3VO4的电子电导率。同时,采用原位XRD深入研究了Li3VO4/C复合材料在充电和放电过程中的结构变化,并通过计算预测了快速充电和缓慢充电过程中Li+的嵌入位点和扩散路径。具体来说,由于Li+的嵌入和脱出过程相当快,Li+倾向于沿着路径a扩散。相应的,Li+在缓慢充电过程中沿路径a和路径b扩散。而传统观点认为,Li+在任何条件下均倾向于沿着路径a扩散。此外,还预测了Li+嵌入不同位点后的晶格变化。这一发现有助于理解掺杂、纳米化和其他改性方法的机理,并有针对性地解决快速充电问题。例如,在原子和晶格尺度上调节最佳快速扩散路径,诱导Li+在快速充电过程中更快地嵌入材料晶格中。因此,了解Li+在Li3VO4中的快速扩散机制对于解决该类材料的快速充电问题至关重要。该数据也为理解Li3VO4的快速储锂机理提供了理论基础,并为寻找快充负极材料提供了新方法。
总之,本文从材料科学角度来了解锂离子电池Li3VO4负极材料的快充机理,这一发现有助于理解掺杂、纳米化和其他改性方法的机理,并有针对性地解决快速充电问题。例如,在原子和晶格尺度上调节离子的最佳快速扩散路径,诱导Li+在快速充电过程中更快地嵌入材料晶格中,并提高了功率密度。因此,了解Li+在Li3VO4中的快速扩散机制对于解决该类材料的快速充电问题至关重要。该数据为理解Li3VO4的快速储锂机理提供了理论基础,并为寻找快充负极材料提供了新方法。
科学材料站
文 章 链 接
Rui Wang, Yuan Li, Gaoyang Li, Yihan Fu, Youzhi Wu, Fen Ran*, “Fast-charging” Mechanism of Li3VO4 from the Perspective of Material Science for Lithium-ion Battery, Chemical Engineering Journal 2024, 498: 155371.
https://doi.org/10.1016/j.cej.2024.155371.
添加官方微信 进群交流
SCI二氧化碳互助群
SCI催化材料交流群
SCI钠离子电池交流群
SCI离子交换膜经验交流群
SCI燃料电池交流群
SCI超级电容器交流群
SCI水系锌电池交流群
SCI水电解互助群
SCI气体扩散层经验交流群
备注【姓名-机构-研究方向】
投稿请联系contact@scimaterials.cn
点分享
点赞支持
点在看

