科学材料站
文 章 信 息
铜掺杂减少寄生损失和深缺陷形成实现高效Sb2Se3太阳电池
第一作者:莫安明,杨丙鑫
通讯作者:李志强*
单位:河北大学
科学材料站
研 究 背 景
在能源需求与环保意识日益增长的背景下,薄膜太阳能电池成为研究热点。碲化镉(CdTe)和铜铟镓硒(CIGS)太阳能电池虽效率较高,但镉的毒性及铟、镓的稀缺限制了其可持续发展。锑化硒(Sb2Se3)因储量丰富、毒性低、稳定性好及优异光电特性(合适带隙、高吸收系数、高载流子迁移率)成为颇具潜力的替代材料。然而,当前Sb2Se3太阳电池效率远低于理论极限,其异质结质量是关键制约因素。异质结由p型Sb2Se3吸收层和n型CdS缓冲层构成,存在CdS层载流子浓度低、Sb2Se3固有深缺陷复杂及能级带排列不佳等问题,导致准费米能级分裂小、内建电势低、载流子寿命短和界面复合严重,限制了电池效率提升,促使科研人员探索有效改进策略。本文提出一种铜离子掺杂策略,实现Sb2Se3/CdS协同掺杂效应,最终,Cu掺杂的Sb2Se3/CdS太阳电池效率达10.23%。
科学材料站
文 章 简 介
近日,来自河北大学的李志强教授团队在国际知名期刊Advanced Functional Materials上发表题为“Reducing Parasitic Loss and Deep Defect Formation via Copper Doping Toward Highly Efficient Sb2Se3Solar Cells”的文章。该文章提出铜(Cu)掺杂策略。通过在化学浴沉积(CBD)制备CdS层时添加醋酸铜实现Cu掺杂,研究发现Cu掺杂可显著提升CdS薄膜短波透射率,增大其n型载流子浓度,使Sb2Se3/CdS异质结Vbi从521 mV提升至751 mV,有效降低寄生光学损耗,改善异质结质量,促进载流子分离与提取。对Sb2Se3/CdS异质结进行退火处理,促使Cu从CdS扩散至Sb2Se3,成功钝化Sb2Se3本征深缺陷VSe3,减少缺陷辅助非辐射复合损失。最终,Cu掺杂的Sb2Se3/CdS太阳电池效率达10.23%,相比未掺杂器件提升40%,为解决Sb2Se3太阳电池问题提供了有效途径。
图1. 铜离子扩散示意图,以及铜掺杂J-V曲线图。
科学材料站
本 文 要 点
要点一:铜掺杂提升CdS薄膜性能机制
通过化学浴沉积(CBD)法在CdS前驱体溶液中添加醋酸铜,成功实现Cu掺杂。X 射线光电子能谱(XPS)表明,Cu以Cu+形式进入CdS晶格,并且未引发相变。在光学性能上,Cu掺杂使CdS薄膜在300-800nm波段透射率增强,带隙增大,这有利于减少由CdS层引起的寄生吸收,提升光子利用效率。在电学性能上,Hall测量结果显示,随着 Cu 掺杂浓度增加,CdS 薄膜电阻率降低,N-型载流子浓度及电子迁移率显著提升,增强了其n型半导体特性。这种性能提升有效改善了Sb2Se3/CdS异质结质量,使内建电势从 521mV 提升至 751mV,促进了光生载流子在异质结处饿分离与提取,为提高电池效率奠定基础。
Figure 1. Cu doping verification and electrical properties of Cu-doped CdS films. XPS patterns of CdS with and without Cu doping of a) S 2p. b) Cd 3d. and c) Cu 3p. Hall measurement of d) Resistivity. e) Carrier concentration. f) Mobility.
Figure 3. Photoelectric performance of Sb2Se3solar cells. Statistical distribution of photovoltaic parameters for Cu-doped CdS and Control devices, including a) VOC. b) JSC. c) FF. and d) PCE. Curves of the e) Current density-voltage. f) Dark current density-voltage. g) NCV and NDLCP. h) 1/C2-V curves of the Sb2Se3 solar cells.
要点二:后退火处理对异质结及电池性能的优化作用
对Sb2Se3/CdS异质结进行200°C、10min的退火处理,XRD表明退火后Sb2Se3晶体结构不变,但Cu掺杂使其部分衍射峰向高角度偏移,可能因 Cu 离子掺杂引发晶格膨胀。退火后器件性能大幅提升,A-Sb2Se3器件相比未退火的B-Sb2Se3器件,PCE从8.53%提升至10.23%,VOC、JSC、FF均有增加。通过对暗电流-电压特性、电化学阻抗谱和变温VOC测量等分析发现,退火处理降低了反向饱和电流和二极管理想因子,抑制了界面和耗尽区复合,有效提升了异质结质量和器件性能。
Figure 4. Photovoltaic characteristics and electrical behaviors of the Sb2Se3 solar cells with before and after annealing process. a) J-V curves. b) EQE and integrated JSC of the devices. c) Dark J-V curves. d) Shunt conductance G. e) Series resistance R and ideality factor A. f) Reverse saturation current density J0. g) Nyquist plots. h) Temperature-dependent VOC measurements. i) Light-intensity-dependent JSC measurement.
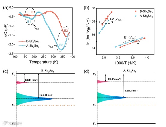
要点三:缺陷钝化机制
深能级瞬态光谱(DLTS)测量显示,Sb2Se3中仅检测到E1和E2两种缺陷,E1为浅缺陷(Vse2),对载流子收集和器件性能影响小;E2(VSe3)是深缺陷,是主要复合中心。退火后,Cu从CdS扩散至Sb2Se3占据VSe3,使E2缺陷的俘获截面和缺陷密度降低,显著抑制了深陷阱态,延长了载流子寿命,提升了器件性能,有效抑制了深陷阱态,延长了载流子寿命。同时,Cu掺杂和退火协同作用,使Sb2Se3太阳电池的功率转换效率(PCE)达到10.23%,相比未掺杂未退火的原始器件提高了40%,为解决Sb2Se3/CdS太阳电池中CdS层载流子浓度低和Sb2Se3本征深缺陷复杂等问题提供了有效策略。
Figure 5. Deep-level defects analysis of solar cells. a) DLTS signal of B-Sb2Se3and A-Sb2Se3devices. b) Arrhenius plots obtained from DLTS signals. c,d) Energy level and defect level of B-Sb2Se3and A-Sb2Se3devices.
Figure 6. Diffusion mechanism of Cu ions. TEM characterization of the Sb2Se3/CdS:Cu with annealing. a) HRTEM image showing the Sb2Se3/CdS:Cu heterojunction interface and EDS elemental mappings. b) EDS elemental line scan profiles across the Sb2Se3/CdS:Cu heterojunction interface along the green arrow in Figure 6a. c) Cross-sectional TEM image of the device. d) HAADF-STEM of Sb2Se3/CdS:Cu heterojunction interface. e,f) Image taken from CdS:Cu buffer layer and Sb2Se3absorber layer. g) The crystal structure of Sb2Se3without defect, and point defects generated in the B-Sb2Se3and A-Sb2Se3films.
科学材料站
文 章 链 接
Reducing Parasitic Loss and Deep Defect Formation via Copper Doping towards Highly Efficient Sb2Se3 Solar Cells
https://doi.org/10.1002/adfm.202420261
科学材料站
通 讯 作 者 简 介
李志强教授简介:李志强,教授,博士生导师,入选 2023 年“全球前 2%顶尖科学家榜单”。博士毕业于华东师范大学,先后在英国诺丁汉大学、伦敦大学学院从事科研工作,长期一直从事化合物半导体材料的制备、表征和光伏、光电器件的制备与应用方面的研究。自2015年开展锑基化合物半导体材料及器件相关研究,先后主持国家重点研发计划课题、国家自然科学基金、河北省杰出青年基金等科研项目,在包括Nature communication,Advanced Materials, Advanced Functional Materials, ACS Energy Letter 等学术期刊等发表论文50余篇,其中一篇入选“中国最具国际影响学术论文”,一篇获得英国物理学会高被引作者奖,多篇入选ESI“高被引论文、热点论文”。2023年获得河北省自然科学二等奖一项(排名第一)。
科学材料站
第 一 作 者 简 介
莫安明,河北大学光学工程在读博士研究生,研究方向为锑基硫系薄膜材料及太阳电池器件性能优化。以第一作者在Advanced Functional Materials国际学术期刊上发表论文两篇。
杨丙鑫,河北大学电子信息硕士研究生,研究方向为锑基硫系薄膜材料缺陷机理及太阳电池器件性能优化。
添加官方微信 进群交流
SCI二氧化碳互助群
SCI催化材料交流群
SCI钠离子电池交流群
SCI离子交换膜经验交流群
SCI燃料电池交流群
SCI超级电容器交流群
SCI水系锌电池交流群
SCI水电解互助群
SCI气体扩散层经验交流群
备注【姓名-机构-研究方向】
投稿请联系contact@scimaterials.cn
点分享
点赞支持
点在看

