科学材料站
文 章 信 息
新疆大学蔺何课题组,Small 观点:无定型MgV2O4/V2O3异质结提升锌离子存储性能
第一作者:张禹
通讯作者:蔺何*
单位:新疆大学
科学材料站
研 究 背 景
随着全球能源危机的加剧和环境污染的加剧,以太阳能、风能等为代表的可再生能源以其环保、节能的特点得到了快速发展。水性锌离子电池(AZIB)是一种有前途的可持续发展技术。由于其固有的安全性、高能量密度和良好的环境兼容性,AZIB越来越被视为传统锂离子电池(LIB)的可行替代品。尖晶石结构的氧化物以其优异的热稳定性和电化学活性而闻名,其中尖晶石结构的钒酸镁(MgV2O4)用作AZIB中的正极材料时,其支持多电子转移并表现出增强的容量。由于尖晶石结构的固有限制;空间结构的完整性随着充放电循环的增加而恶化,从而导致容量迅速下降,这种挑战在大多数钒基材料中普遍存在。此外,V2O3由于其高容量、优异的导电性和良好的循环稳定性而备受关注。受此启发,通过理论计算预测得到MgV2O4/V2O3复合材料,该材料被成功制备,实验表明MgV2O4/V2O3作为水系锌离子电池正极不仅符合理论预测,同时电化学性能得到了有效提升。
科学材料站
文 章 简 介
为了提高水系锌离子电池正极材料的比容量和稳定性,近日,新疆大学蔺何课题组,在期刊Small上发表题为“Amorphous Structure Benefits in MgV2O4/V2O3 Composites for Zinc-Ion Storage: An Integration of Computational and Experimental Studies”的观点文章。该观点文章提出了一种复合材料——MgV2O4/V2O3,MgV2O4/V2O3复合材料在电化学循环过程中转变为无定形结构,提供了扩散途径并增强了导电性。通过密度泛函理论(DFT)计算揭示了电化学性能提高的本质原因,并通过实验进行了验证。
科学材料站
本 文 要 点
要点一:MgV2O4/V2O3异质结的理论计算研究
通过差分电荷密度计算,MgV2O4/V2O3复合材料的计算结果显示在图1 c、d,在异质结构的界面处存在从V2O3到MgV2O4的显著电荷转移。这种内置电场不仅促进电子转移和增强反应性,而且还优化离子吸附行为从而提高储能性能。图1 e证明了MgV2O4/V2O3异质结构和Zn2+之间的相互作用比原始材料观察到的相互作用弱,提高了Zn2+扩散。从而增强异质结构的动力学性质。态密度(DOS)和投影态密度(PDOS)分析表明,与原始材料相比,异质结构具有更高的能级和费米能级处更多的电子分布(图1 f,g)。这些结果验证了异质结构材料的改善的电子转移和导电性,这是其增强性能的关键。
图1. MgV2O4/V2O3异质结的两种不同构型a)异质结-1; B)异质结-2;对应于两种异质结的电荷密度差; c)异质结-1; d)异质结-2; e)原始V2O3、MgV2O4和异质结MgV2O4/V2O3的电荷密度差; f)原始V2O3、MgV2O4和异质结MgV2O4/V2O3的DOS和g)PDOS。
要点二:形态表征
通过X射线衍射仪、X射线光电子能谱等表征手段验证DFT的预测,MgV2O4/V2O3复合材料成功被制备出。此外,经过扫描电镜分析复合材料、高分辨率透射电镜揭示了MgV2O4和V2O3紧密互连的结晶区,选区电子衍射证实了MgV2O4/V2O3的多晶性质,并清楚地显示了MgV2O4/V2O3的多相特征,进一步证实了MgV2O4/V2O3的复合性质。
图2. a)MgV2O4、MgV2O4/V2O3和V2O3的XRD谱; B)MgV2O4/V2O3的XPS全谱; c)V 2p的XPS高分辨谱; d)Mg 1s的XPS谱; e)MgV2O4/V2O3的SEM; f)MgV2O4/V2O3的TEM图像; g)MgV2O4/V2O3的HRTEM图像; h)MgV2O4/V2O3的元素图谱。
要点三:电化学性能表征
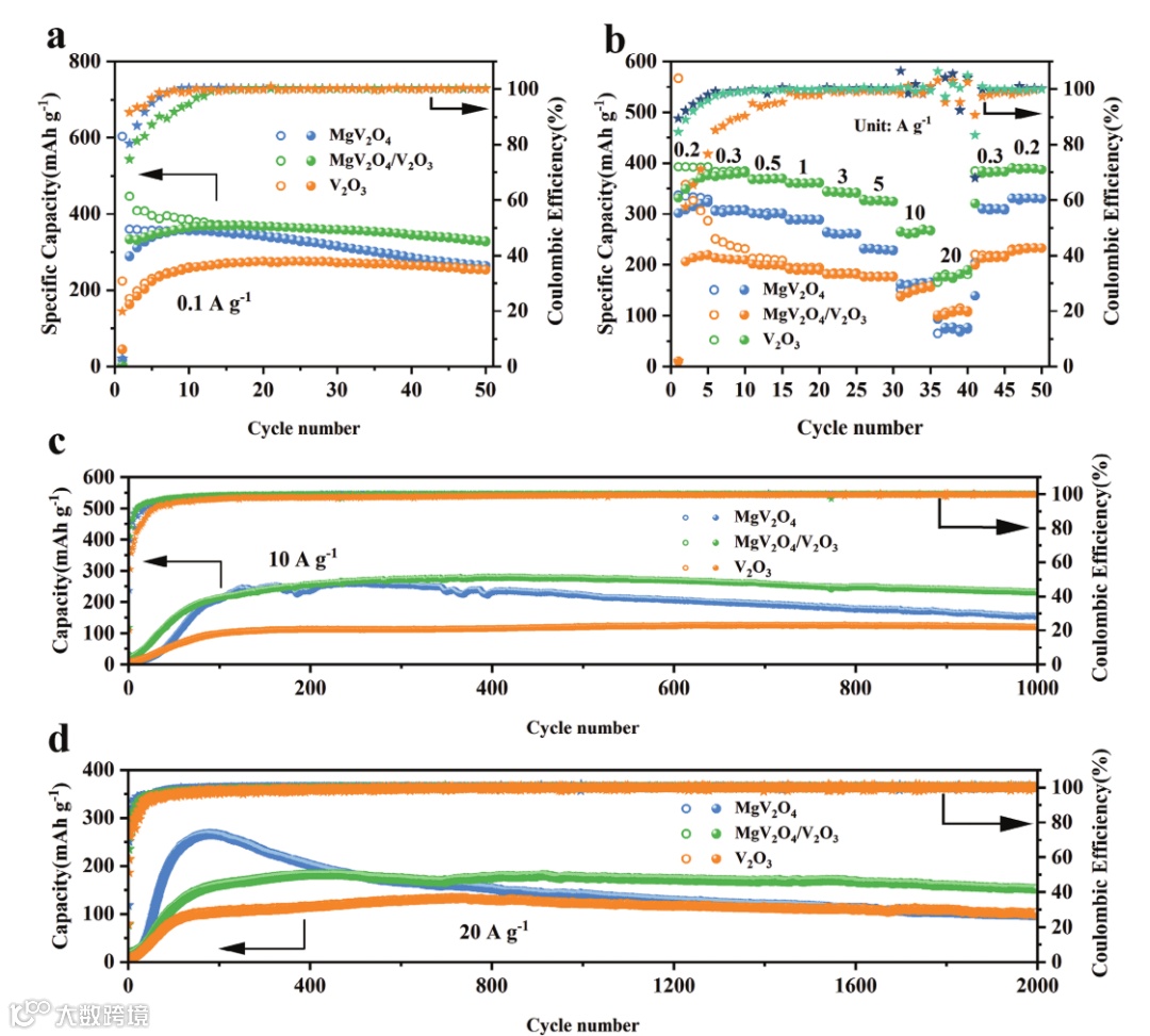
三种材料的循环伏安曲线均显示出多对不同的氧化还原峰,如图3a-c表明,Zn2+/H+的嵌入/脱嵌行为是一个多步过程。此外,在前两个循环中,在1.48V处存在明显的氧化峰,但强度不同; MgV2O4显示相对较弱的峰,V2O3显示较强的峰,MgV2O4显示最强的峰。到第三次循环时,在1.48V处的显著氧化峰消失,表明在初始循环中发生了不可逆的氧化还原反应,表现出从晶态到非晶态的潜在相变。这种转变已经在其他体系中观察到,并且被认为是材料的自我优化过程,这有助于提升电化学性能。如图4c所示,10 A g−1电流密度下,其在1000次循环后保持232.2 mAh g-1的比容量,显示出91.7%的容量保持率。MgV2O4/V2O3作为AZIB的正极材料的适用性,还测试了其在20 A g−1的超高电流密度下的性能(图4d)。2000次循环后,比容量保持在152.7 mAh g−1,保持率为88.3%,MgV2O4/V2O3相比于MgV2O4和V2O3表现出更高的容量和更稳定的循环,这一结果与理论计算的结论符合。
图3. a-c)分别为MgV2O4、MgV2O4/V2O3和V2O3在0.1 mV s-1扫描速率下的前4圈CV循环曲线; d-f)对应于a-c的充放电曲线。
图4. MgV2O4、MgV2O4/V2O3和V2O3的电化学表征。a)0.1 A g−1下的循环性能; B)不同电流密度下的倍率性能; c)10 A g−1电流密度下的长循环;(d)20 A g−1电流密度下的长循环。
要点四:储锌过程中形貌演变
使用非原位X射线衍射仪、X射线光电子能谱分析技术来研究MgV2O4/V2O3电极在整个充电和放电过程中的形态和结构演变。首次充电后,MgV2O4/V2O3转变成稳定的无定形钒氧化物结构,这种非晶结构显著提高了电极的电化学性能。此外,扫描电镜也观察到非晶的产生改变了电极表面形貌形态,增强了可用于Zn2+嵌入和脱出的活性位点,从而进一步提高了Zn2+插入和脱出的动力学。
图5 a)在不同充电-放电状态下的XRD图; b)Zn 2p,和c)在原始状态、第二次放电至0.2V和充电至1.6V下样品的V 2p XPS谱。
图6 a-c)在循环过程中处于完全充电和放电状态下的MgV2O4/V2O3的SEM; d,e)在循环过程中处于完全充电和放电状态下的相应元素的SEM绘图。
科学材料站
文 章 链 接
Amorphous Structure Benefits in MgV2O4/V2O3 Composites for Zinc-Ion Storage: An Integration of Computational and Experimental Studies
https://doi.org/10.1002/smll.202406651
科学材料站
通 讯 作 者 简 介
蔺何,于意大利米兰比可卡大学获得材料化学博士学位,曾在美国普林斯顿大学从事课题研究。主要从事新能源材料,功能碳材料的设计、制备及应用等方面的研究。入选国家高层次留学人才回国资助计划,入选新疆大学优秀青年教师培育计划,主持国家自然科学基金、省部级自然科学基金等科研项目。先后在Small、Nano Energy、Chemical Science、Advanced Optical Materials、ACS Applied Materials & Interfaces等学术期刊上发表高质量学术论文。荣获新疆大学课程思政教学名师,第四届全国高校教师教学创新大赛省部级一等奖,第二届全国高校教师教学创新大赛省部级二等奖,新疆大学首届青年教师教学竞赛一等奖,新疆大学首届“我最喜爱的老师”奖,新疆大学课程思政教学竞赛一等奖,新疆大学高等教育教学成果奖,教育部工科化学基础虚拟教研室课程思政大赛一等奖,西部联盟第一届课程思政案例大赛一等奖等荣誉。主持省部级本科一流课程,省部级本科教学改革研究项目、新疆大学课程思政示范项目、新疆大学课程思政标杆课建设。
科学材料站
第 一 作 者 简 介
张禹,新疆大学化学学院在读博士研究生,主要研究方向为锌二次电池高性能正极材料的设计及机制研究。
科学材料站
课 题 组 介 绍
课题组依托新疆大学“省部共建碳基能源资源化学与利用国家重点实验室”,具备优秀的人员配置和良好的实验环境。课题组成员致力于新能源材料和功能碳材料的设计与制备工艺研究,在材料的设计、合成、表征等方面具有较为扎实的专业基础知识和丰富的实践经验,能够对材料的综合理化性质和电化学性能进行合理有效地评价。课题组一方面积极投身一线科学研究工作,同时又致力于优秀研究生的培养,欢迎有志青年加入我们的团队。
添加官方微信 进群交流
SCI二氧化碳互助群
SCI催化材料交流群
SCI钠离子电池交流群
SCI离子交换膜经验交流群
SCI燃料电池交流群
SCI超级电容器交流群
SCI水系锌电池交流群
SCI水电解互助群
SCI气体扩散层经验交流群
备注【姓名-机构-研究方向】
投稿请联系contact@scimaterials.cn
点分享
点赞支持
点在看

