科学材料站
文 章 信 息
高熵、单晶、双相一体化策略助力钠离子电池O3型层状氧化物正极材料
第一作者:田康辉
通讯作者:王志远*,王钦超*
科学材料站
研 究 背 景
O3型层状氧化物(NaxTMO2)具有较高的理论能量密度,被认为是钠离子电池极具前景的正极材料。然而,由于Na+的离子半径较大,O3-NaxTMO2会发生严重的体积变化和不可逆的相变,最终导致Na+插入/提取过程中容量下降。为了应对这些挑战,已经开发了几种改进策略,包括晶体结构工程、涂层、单晶、纳米和纳米形态技术。其中,高熵氧化物(HEOs)是一种新型的单相固溶体材料,由五种或五种以上的过渡金属元素组成,具有相同的晶体结构。多组分无序的“熵稳定”效应和分布,能更好地适应Na+插入/提取过程中局部相互作用的变化。然而,引入非活性过渡金属离子可能会由于氧化还原对的改变而牺牲HEO正极的可逆容量。
科学材料站
文 章 简 介
近日,来自东北大学秦皇岛分校的王志远教授与扬州大学的王钦超副教授合作,在国际知名期刊Energy Storage Materials上发表题为“A Three-in-One Strategy of High-Entropy, Single-crystal, and Biphasic Approaches to Design O3-type Layered Cathodes for Sodium-Ion Batteries”的研究性文章。该论文提出采用“三合一”策略,即高熵、单晶和双相方法,用于设计O3型层状正极材料,以增强结构稳定性、空气稳定性和钠离子传输动力学,并详细探究了相变机理与高熵材料的电荷补偿机制。
图1. 三合一策略摘要图
科学材料站
本 文 要 点
要点一:高熵氧化物Na(FeCoNiMnTiLi)1/6O2的设计
通过整合高熵、单晶和双相策略,合成了用于高性能钠离子电池的O3-Na(Fe1/6Co1/6Ni1/6Mn1/6Ti1/6)LixO2(x= 0,1/12,1/6)正极。这种高熵策略包括将Fe3+、Co3+和Ni2+的活性过渡金属作为电化学活性中心,以提高储钠性能。同时,Li+、Mn4+和Ti4+等非活性元素稳定O3结构,减缓相变。正极采用单晶结构,有利于Na+的快速转移,拓宽了Na+的扩散途径,从而增强了钠离子脱嵌动力学。此外,与LiCoO2类似的Li类似物的引入有助于稳定宿主框架,降低水敏感性,防止电解质侵蚀,从而确保长期循环稳定性。合成的单晶HEO双相O3-Na(Fe1/6Co1/6Ni1/6Mn1/6Ti1/6)Li1/6O2 具有典型的O3型结构,形貌为3-5 μm的类球形形貌,且元素分布均匀。
图1. 制备的高熵氧化物的结构和形貌。(a)合成NFCNMTLx的XRD图谱。(b) NFCNMTL1/6的Rietveld细化模式。(c)典型O3结构示意图。(d) NFCNMTL1/6的STEM图像。(e, f) NFCNMTL1/6 HRTEM图像沿[001]和[100]轴的SAED图。(g) NFCNMTL1/6的SEM图像和(h) TEM-EDS图谱。
要点二:高熵氧化物Na(FeCoNiMnTiLi)1/6O2的储钠性能
合成的O3- Na(Fe1/6Co1/6Ni1/6Mn1/6Ti1/6)Li1/6O2正极具有140.3 mAh g-1的可逆比容量,初始库仑效率约为87.9%。此外,FCNMTL1/6正极表现出出色的循环稳定性(0.1C下 100次循环后保持81.1%),优越的倍率性能(15C时86 mAhg-1),以及出色的空气/水稳定性(浸水的NFCNMTL1/6具有123 mAhg-1的可逆比容量,在1C下300次循环后保持86.4%的可逆比容量)。
图2. O3-NFCNMTL1/6的电化学性能 (a) 0.1C下前3圈循环的恒流充放电曲线, (b)前3圈循环的dQ/dV曲线, (c)倍率性能, (d) NFCNMTL1/6与报道的层状正极的性能比较, (e) 5C时的循环性能, (f) 0.1C时水浸NFCNMTL1/6前三次循环的充放电曲线, (g) 1C时水浸NFCNMTL1/6电极的循环性能。
要点三:高熵氧化物Na(FeCoNiMnTiLi)1/6O2的相变行为
原位XRD结果表明,FCNMTL1/6正极具有高度可逆的相变行为和较小的体积变化(ΔV=3.28%)。该材料在前两周的循环时经历了O3→O3+P3→P3→P3+OP2→OP2→P3+OP2→P3→O3+P3→O3的结构转变。在整个充放电过程中, O3’, O’3 和P3'相均不存在,这可能是由于过渡金属无序的高熵构型抑制了结构的变化。
图3. O3-NFCNMTL1/6正极材料在半电池中的结构演变。(a) O3-NFCNMTL1/6在2.0 ~ 4.2 V范围内0.1C电流下前2周循环时的原位XRD图谱和充放电曲线, (b) NFCNMTL1/6的晶格参数变化, (c) NFCNMTL1/6放电时的HRTEM,对应的SAED (d)和EDS图(e)。
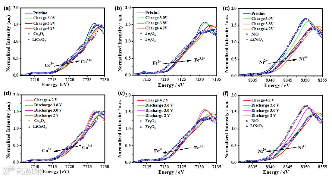
要点四:高熵氧化物Na(FeCoNiMnTiLi)1/6O2的电荷补偿机制
NFCNMTL1/6材料在整个充放电过程中,Ni、Fe和Co负责电荷补偿。最初,Ni、Co、Fe和Mn的平均价态分别为+2、+3、+3和+4。在充电过程中,Ni从+2氧化到+4,提供88 mAh g-1的充电容量。同时,Fe3+和Co3+被部分氧化为+3.6,贡献约53 mAh g-1。总的来说,涉及Ni2+/Ni4+, Fe3+/Fe3.6+和Co3+/Co3.6+的氧化还原反应贡献了141 mAh g-1的总理论容量,额外的20 mAh g-1容量由副反应引起,可能与电解质分解或SEI形成有关。放电过程中,Ni、Fe和Co K边的XANES光谱均发生可逆转变,反映了初始充电行为。相比之下,Mn的位置和形状保持不变,表明没有参与电荷补偿。
图4. 首次充放电过程中的非原位XAS光谱。第一次充电时Ni (a)、Fe (b)和Co (c) k边的XANES光谱,第一次放电时Ni (d)、Fe (e)和Co (f) k边的XANES光谱。
要点五:高熵氧化物Na(FeCoNiMnTiLi)1/6O2的全电池性能
为了评估NFCNMTL1/6正极的实际应用,在1.0-4.1 V (vs. Na+/Na)电压下,以硬碳(HC)为负极,制备的NFCNMTL1/6为正极构建了全电池。NFCNMTL1/6//HC全电池具有光滑的斜坡,放电比容量为134.3 mAh g-1,相当于能量密度为390.8 Wh kg-1(基于NFCNMTL1/6正极的质量计算)。此外,全电池表现出优异的长周期稳定性,在100 mA g-1下循环100次后仍能保持70%的初始容量。NFCNMTL1/6正极在全电池中优异的电化学性能进一步显示了其在实际应用中的广阔前景。
图5. O3-NFCNMTL1/6//HC的动力学性能及全电池性能。(a) 0.1~1.0 mV s-1扫描速率下的CV曲线, (b)从CV测量中剥夺的Ip与v1/2的图, (c)首次充放电时的GITT曲线和计算的DNa+, (d) NFCNMTL1/6//HC全电池模型, (e) NFCNMTL1/6//HC全电池在10 mA g-1时的恒流充放电曲线和 (f) 100 mA g-1时的循环性能。
科学材料站
文 章 链 接
A Three-in-One Strategy of High-Entropy, Single-crystal, and Biphasic Approaches to Design O3-type Layered Cathodes for Sodium-Ion Batteries
https://www.sciencedirect.com/science/article/pii/S2405829724006676
科学材料站
通 讯 作 者 简 介
王志远教授简介:2013年博士毕业于天津大学材料科学与工程学院,2014年入职东北大学秦皇岛分校,现为东北大学秦皇岛分校资源与材料学院教授、博士生导师。长期从事锂、钠、钾离子电池电极材料研究和开发。以通讯作者身份在Energy Storage Materials, Journal of Energy Chemistry, Chemical Engineering Journal., Journal of Materials Science &Technology., Journal of Power Source.等学术刊物上发表多篇研究论文,主持多项国家自然基金项目。
王钦超副教授 简介:2018年从复旦大学取得博士学位,继续在复旦大学从事博士后研究工作,2019年赴美国Brookhaven National Laboratory访问。2021年加入扬州大学化学化工学院。主要从事锂离子电池和钠离子电池正极材料,固体电解质研究,利用同步辐射技术研究二次电池正极材料的物理和化学问题。以第一作者或通讯作者在J. Am. Chem. Soc.,Nat. Commun.、Adv. Energy Mater.、Adv. Sci.、EnSM、Nano Energy等期刊发表多篇论文。
科学材料站
第 一 作 者 简 介
田康辉,东北大学材料工程专业硕士研究生。
添加官方微信 进群交流
SCI二氧化碳互助群
SCI催化材料交流群
SCI钠离子电池交流群
SCI离子交换膜经验交流群
SCI燃料电池交流群
SCI超级电容器交流群
SCI水系锌电池交流群
SCI水电解互助群
SCI气体扩散层经验交流群
备注【姓名-机构-研究方向】
投稿请联系contact@scimaterials.cn
点分享
点赞支持
点在看

