科学材料站
文 章 信 息
Mo,Fe共掺杂Ni3S2的大电流密度碱性水/海水分解:具有加速水分解动力学的不变活性位点
第一作者:薛婧玮
通讯作者:桑艳*,陈丽娟*
单位:安徽师范大学,华南理工大学
科学材料站
研 究 背 景
电催化水分解制氢受到人们的关注,但鉴于淡水资源的有限性以及与海水净化相关的大量能源和经济成本,自然海水分解在环境可持续性方面更有意义。然而,由于HER与OER反应的本征动力学缓慢和高过电位,水分解行业面临着严重的困难。镍基硫化物通常表现出优异的性能,但它们在恶劣的反应条件下极易氧化且不稳定,尤其是在碱性 OER 过程中。本研究通过同时引入双金属元素掺杂打破了硫化物中金属活性位点的对称性,从而进一步提高了催化活性,为 OER 中间体提供更有利的吸附能,并增强水的吸附和解离能力。
科学材料站
文 章 简 介
该研究文章通过一步水热法合成Mo,Fe-Ni3S2纳米阵列为高效双功能电催化剂,适用于碱性水与海水电解。Fe3+促进了Ni3S2阵列在泡沫镍上原位生长,Mo和Fe引入Ni3S2晶格控制晶格应变,提高催化性能。掺入的Mo和Fe增加活性位点,优化OER中间体吸附能,增强水吸附和解离能力,提升碱性HER和OER动力学。其可识别的Ni-S、Mo、Fe活性位点,表明了活性硫化物位于催化剂内保证长期高效的性能。Mo,Fe-Ni3S2在碱性氧析出反应中表现出优异的性能,在100 mA cm−2和200 mA cm−2的电流密度下,分别只需要234 mV和253 mV过电位。此外,优化后的Mo,Fe-Ni3S2催化剂在1.0 M KOH溶液和添加1.0 M KOH的碱性海水中,只需要1.45 V和1.47 V就能完全水解。该研究证明了双金属元素掺杂策略可以在镍硫化合物中实现卓越的电催化活性和耐久性,为开发其他易制备的高效的电催化剂提供了启发。
图1. Mo, Fe-Ni3S2催化剂在碱性水/海水分解中的应用机制。
科学材料站
本 文 要 点
要点一:Fe3+促进在泡沫镍上原位生长的Ni3S2,双元素共同改善样品形态
为了促进在泡沫镍上生长出紧密接触的Ni3S2阵列,Fe3+不仅作为掺杂剂,同时更促进诱导了Na2S对泡沫镍的化学蚀刻。SEM图片对Mo,Fe-Ni3S2的形貌进行了表征,在反应物中加入Fe3+后,泡沫镍表面的镍金属被迅速氧化形成Ni离子,随后形成堆叠的片层状Fe-Ni3S2。而Mo的加入使得Fe-Ni3S2的形貌趋向于形成垂直于泡沫镍的纳米片,有利于活性位点更多的暴露并参与反应过程。
图 2. Mo,Fe-Ni3S2的制造工艺示意图以及SEM 、HRTEM、STEM 图像以及 mapping图。
要点二:Fe、Mo掺杂调控电子结构的策略
XRD图表征出掺杂后衍射峰的增强,表明了晶体结构的有序性得到改善,这意味着 Mo 和 Fe 掺杂有利于增强Ni3S2的结晶性。XPS图谱反应各元素的价态。进一步确认了这些元素成功负载在催化剂上。且Mo掺杂前后Ni 2p轨道与Fe 2p轨道均发生了偏移,显示出掺杂原子与支撑原子的相互作用更强。对Mo,Fe-Ni3S2进行了亲水性测试,表明材料具有超亲水性,有助于电解质与电极表面完全解除。
图 3. Mo,Fe-Ni3S2的 XRD 图和XPS 光谱以及动态接触角测试。
图4. Mo,Fe-Ni3S2的OER电化学测试与分析图。
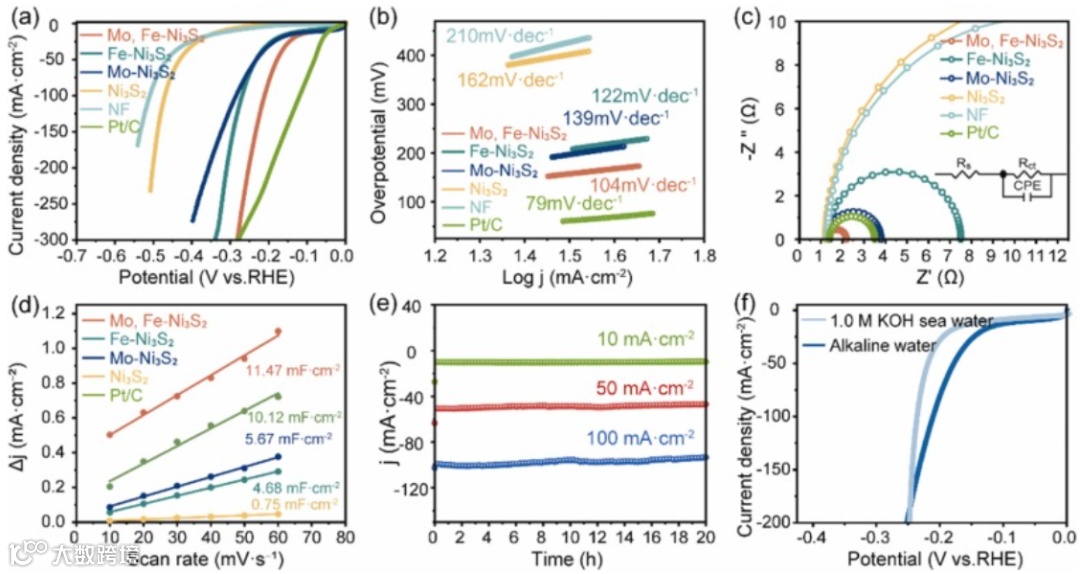
要点三:Mo,Fe-Ni3S2实现HER和碱水/海水分解的优质性能
Mo,Fe-Ni3S2为了达到电流密度为10 mA cm-2,Mo,Fe-Ni3S2需要59 mV的过电位。此外,Mo,Fe-Ni3S2电催化剂还具有更小的塔菲尔斜率、更大的交换电流密度和更小的电化学阻抗,同时具有更多的活性位点和暴露边缘。测试了Mo,Fe-Ni3S2的海水HER活性。结果表明,在182 mA cm−2的电流密度下,海水HER性能开始优于碱性HER,综合这些结果可以认为Mo,Fe-Ni3S2可以应用于海水HER。通过双电极电解槽系统的测试,Mo,Fe-Ni3S2||Mo,Fe-Ni3S2在10 mA cm-2时仅需1.47 V的低电压,在100 mA cm−2的电流密度下,工作20 h后仍保持96.8%的初始电流密度。此外,Mo,Fe-Ni3S2||Mo,Fe-Ni3S2在1.0 M KOH介导的碱性天然海水中只要1.43 V就可以达到10 mA cm-2的电流密度,在100 mA cm−2时,总水分解电压为1.69 V。
图5. Mo,Fe-Ni3S2的HER电化学测试与分析图。
图6. Mo,Fe-Ni3S2||Mo,Fe-Ni3S2的碱水/海水分解电化学测试图。
要点四:探究Mo,Fe-Ni3S2在OER和HER中的潜在机制
通过理论计算建立相关Mo,Fe-Ni3S2模型确定Mo在Fe-Ni3S2中的潜在位点。OER反应进程中Mo,Fe-Ni3S2-1的吉布斯自由能最小,反应速率最快,表明Mo掺杂显著提高了催化活性。HER反应的相关计算反映出Fe-Ni3S2的ΔG(*H)最小,表明H2分子在Fe-Ni3S2体系中更容易进行共轭解吸。铁位点在产氢过程中起促进作用。然而,从*H2O到*H-OH,Fe-Ni3S2模型表现出明显的吸热,在Mo,Fe-Ni3S2-1表面所需能量是最小的。说明Mo掺杂在体系中起到促进H2O解离的关键作用,有利于水分解的步骤。
图7. Mo,Fe-Ni3S2在OER反应进程中的相关吸附能计算。
科学材料站
文 章 链 接
High-current density alkaline water/seawater splitting by Mo and Fe co-doped Ni3S2:Invariant active sites with accelerated water dissociation kinetics
https://doi.org/10.1016/j.apcatb.2024.124698
科学材料站
导 师 介 绍
桑艳,副教授,硕导。主要从事能源催化材料的研究。以第一作者或通讯作者身份在Appl. Catal. B Environ. Energy,J. Hazard. Mater.,ACS Appl. Mater. Interfaces、Nanoscale等学术刊物上发表14篇研究论文。授权发明专利3项。主持安徽省自然基金青年项目1项、安徽省教育厅重大项目1项等。
科学材料站
第 一 作 者 简 介
薛婧玮,安徽师范大学硕士研究生。主要研究方向为电催化分解水。参与发表Applied Catalysis B: Environment and Energy期刊论文1篇与Colloids and Surfaces A: Physicochemical and Engineering Aspects期刊论文1篇。
添加官方微信 进群交流
SCI二氧化碳互助群
SCI催化材料交流群
SCI钠离子电池交流群
SCI离子交换膜经验交流群
SCI燃料电池交流群
SCI超级电容器交流群
SCI水系锌电池交流群
SCI水电解互助群
SCI气体扩散层经验交流群
备注【姓名-机构-研究方向】
投稿请联系contact@scimaterials.cn
点分享
点赞支持
点在看

