

科学材料站
文 章 信 息
通过铜掺杂调控BaCo0.4Fe0.4Zr0.1Y0.1O3-δ中d-p轨道杂化以制备高性能固体氧化物燃料电池阴极材料
第一作者:刘肖宇,黄林桂
通讯作者:奚修安*,骆静利*
单位:大湾区大学,深圳大学
台湾碳能CeTech【W0S1011生碳布&W0S1011H亲水碳布】性能可靠 正品保证 科研必备!
科学材料站
研 究 背 景
固体氧化物燃料电池(Solid Oxide Fuel Cells, SOFC)因能效高、燃料灵活、排放低而备受关注,是一种有前景的能源转换技术。但其过高的工作温度(≥850℃)、材料降解、制造成本和密封等难题限制了其广泛应用。将工作温度降至中低温(≤700℃)虽可缓解问题,但会导致阴极氧还原反应(Oxygen Reduction Reaction, ORR)活性明显下降,从而降低全电池性能。
近些年,BaCo0.4Fe0.4Zr0.1Y0.1O3-δ(BCFZY)钙钛矿氧化物作为固体氧化物燃料电池(SOFC)阴极材料展现出极大潜力,主要得益于其在高温下优异的三相导电性及卓越的氧还原反应(ORR)活性,但其在低温下过低的电子和离子导电性,限制了该材料在中低温条件下的电催化活性。针对这一问题,本研究通过利用铜离子的电负性和低价态,以掺杂形式调控BCFZY的d-p轨道杂化,显著提高了BCFZY的电子导电性和氧交换动力学,使极化阻抗降低,从而有效提升其中低温下的ORR活性,为制备高性能SOFC阴极材料提供了新思路。
科学材料站
文 章 简 介
基于此,来自深圳大学的刘肖宇,在国际知名期刊Chemical Engineering Journal上发表题为“Regulating the d-p orbital hybridization in BaCo0.4Fe0.4Zr0.1Y0.1O3-δ via Cu doping for high-performance solid oxide fuel cells cathode”的观点文章。
研究发现,铜掺杂显著提升了BCFZY的电子导电性和氧交换动力学,有效降低了其极化阻抗,从而大幅提升该材料在中低温下的ORR催化活性。机理研究表明,铜掺杂能够诱导增强d-p轨道杂化。这不仅扩大了Co-O/Cu-O键的共价性,还使金属3d轨道与氧2p轨道的能带中心更接近费米能级,显著加快了BCFZYCu4阴极材料的氧吸附、解离及氧离子交换过程。
科学材料站
本 文 要 点
要点一:铜掺杂引入晶格应变
通过比对所合成的BCFZY、BCFZYCu2、BCFZYCu4和BCFZYCu6阴极材料XRD图谱发现,随着铜掺杂水平的提高,位于2θ=30.8°的特征峰明显向高角度偏移,表明钙钛矿晶格发生了收缩(图1a)。且图1e、1f及补充图S1展示了所制备的BCFZY和BCFZYCu4粉末的透射电子显微镜(TEM)图像,材料主要呈现纳米尺度的特征。BCFZY的晶格间距分别为0.2867 nm和0.2041 nm,分别对应于立方钙钛矿相BCFZY(Pm-3m)的晶面(110)和(200)。相较之下,BCFZYCu4的晶格间距为0.2848 nm、0.1964 nm及0.2248 nm,分别对应晶面(110)、(200)和(111)。值得注意的是,BCFZYCu4的晶格间距均小于BCFZY,这与XRD结果一致。另一方面,在BCFZYCu4的晶界处观察到了显著的晶格畸变,表明铜掺杂后晶格发生了扭曲并引入了晶格应变。此外,TEM-EDS元素映射分析确认BCFZYCu4的组成元素均匀分布于钙钛矿粉末中,并验证了铜均匀掺杂在BCFZY晶格。
图1 Cu掺杂使BCFZY晶格发生畸变
要点二:更快的氧离子交换动力学
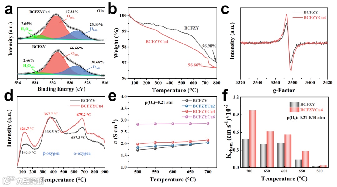
如图2a所示,BCFZY和BCFZYCu4的O 1s光谱均显示两个不同的峰,分别对应吸附氧和晶格氧物种。铜掺杂后吸附氧物种的相对浓度增加,表明铜掺杂能够提升BCFZY中氧空位浓度。这与普遍认可的观点一致,即吸附氧与晶格氧的比值是氧空位丰度的关键指标。图2b和2c中热重分析(TG)及电子顺磁共振(EPR)也能佐证这一结果。结果显示,BCFZYCu4样品在空气气氛下的质量损失大于BCFZY,且EPR信号强度的增强进一步表明BCFZYCu4产生了更多的氧空位。这些结构特性为材料提供了更多活性反应位点,有利于表面吸附更多的氧物种,如图2d所示。
此外,如图2e和2f所示,铜掺杂显著提升了BCFZY的电子导电性和氧离子交换动力学。随着铜掺杂浓度的增加,电导率显著提升。同时,电导率随温度升高而增加,表现出其固有的半导体特性。类似地,氧离子交换动力学也因铜掺杂而得到显著改善(图2f)。在700℃和600℃下,当氧分压从0.21 atm快速切换至0.10 atm,铜掺杂显著缩短了电导率平衡时间。拟合的BCFZY和BCFZYCu4的氧表面交换系数(Kchem)进一步证明了其氧离子交换动力学变快。BCFZYCu4的拟合Kchem值约为9.73×10⁻³ cm s⁻¹,明显优于BCFZY的4.83×10⁻³ cm s⁻¹。铜掺杂能够有效增强BCFZY电子导电性和氧离子交换动力学,有利于其在低温下的电荷转移和表面扩散过程。
图2 氧空位浓度、电子电导率及氧交换动力学变化
要点三:低极化阻抗
为了有效评估铜掺杂对BCFZY阴极ORR催化活性的影响,在700至500℃的温度范围内测量了对称电池的极化阻抗(Rp)(见图3)。如图3a所示,随着铜掺杂含量的增加,BCFZY0.1-xCux的Rp值显著降低,尤其是在较低温度区间500-600℃。当掺杂浓度达到x=0.04时,Rp值达到最低。在600℃时,BCFZYCu4的Rp约为0.152 Ω·cm²,明显低于BCFZY的0.344 Ω·cm²。此外,铜掺杂还降低了ORR所需的活化能(Ea)。如图3b所示,未掺杂铜时BCFZY的Ea约为1.230 eV,而铜掺杂后BCFZYCu4的Ea降低至1.157 eV,表明BCFZYCu4的催化活性得到了提升。
为分析铜掺杂带来的电化学反应过程改善,利用松弛时间分布法(Distribution of Relaxation Times,DRT)对600℃获得的电化学阻抗谱(EIS)数据进行了拟合,并描述了相应的等效电路(图3c)。显然,铜掺杂显著减少了主要位于高频和中频区间的Rp阻抗,这与铜掺杂增强BCFZY材料的电子导电性和氧离子交换动力学的观察结果高度一致,从而加快了阴极内的ORR过程。
图3 极化阻抗分析
科学材料站
文 章 链 接
“Regulating the d-p orbital hybridization in BaCo0.4Fe0.4Zr0.1Y0.1O3-δ via Cu doping for high-performance solid oxide fuel cells cathode”
Regulating the d-p orbital hybridization in BaCo0.4Fe0.4Zr0.1Y0.1O3-δ via Cu doping for high-performance solid oxide fuel cells cathode - ScienceDirect
科学材料站
通 讯 作 者 简 介
奚修安教授简介:日本大阪大学博士、访问学者,大湾区大学(筹)物质科学学院研究员,独立课题组组长,博士生导师,主要研究方向为固体氧化物电池器件的构建及其机理研究,在固体氧化物电池的制备、封装、表征、性能测试及机理研究方面积累了10余年的研究经验,目前已在eScience, Nature Communications, Angewandte Chemie International Edition, Advanced Energy Materials, Advanced Functional Materials, Nano Energy, Applied Catalysis B-Environment and Energy, Journal of Materials Chemistry A等国际知名期刊发表SCI论文60余篇,申请国家发明专利10余项。曾获得“国家优秀自费留学生奖学金”、“深圳市海外高层次人才(C类)”、“深圳市高层次专业人才”、“南山区领航人才”等荣誉称号。近年来主持或参与过国家自然科学基金-外国资深学者团队项目(试点)、国家自然科学基金面上项目、广东省自然科学基金面上项目,中国博士后科学基金特别资助及中国博士后科学基金面上项目一等资助等科研项目。
骆静利教授简介:深圳大学材料学院特聘教授,加拿大国家工程院院士。中国腐蚀与防护学会外籍会士。曾任加拿大阿尔伯塔大学化学与材料工程系教授及加拿大替代燃料电池首席科学家。目前担任Electrochemical Energy Reviews (Springer Nature), Corrosion Science和Corrosion Communications 编委,国际腐蚀理事会理事等职。她长期从事的研究领域包括固体氧化物燃料电池(SOFC)/电解池(SOEC)、碳基等能源分子转化电催化材料、腐蚀与防护等。近年来地发展了多类高效、高选择性、高稳定的能源分子转化,尤其是碳基分子转化电催化材料,地开发建立了多种新型的SOFC/SOEC体系,例如CO2转化和电力/合成气热电联产、C2H6/C3H8脱氢制C2H4/C3H6共发电等,并在CO2和烷烃等碳基分子清洁转化利用等方面取得了多项突破性研究成果。已在国际顶尖期刊J. Am. Chem. Soc.、Nat. Commun.、Sci. Adv.、Adv. Mater.、Angew. Chem. Int. Ed.、Matter、Energy Environ. Sci. 等国际顶尖期刊发表论文470多篇。入选2022, 2023, 2024全球前2%顶尖科学家终身科学影响力榜单,且入围爱思唯尔2023年度“中国高被引学者”榜单。
科学材料站
课 题 组 招 聘
因科研工作需要,大湾区大学(筹)奚修安课题组联合中国科学技术大学夏长荣教授、清华大学深圳国际研究生院杨诚教授,深圳大学骆静利教授特面向国内外诚聘博士后2-3人,特聘研究员1名。
一、研究方向(任意1项):
1) 固体氧化物燃料电池(SOFC)的研究
2) 固体氧化物电解电池(SOEC)的研究
3) 全固态锂离子/钠离子电池电解质及电极材料的研究
二、招聘要求
1)具有或即将获得化学、材料、物理学等专业博士学位,年龄在35周岁以下且获得博士学位不超过3年(应聘特聘研究员年龄在40周岁以下)。
2)对科研具有浓厚兴趣,具备良好的英文文献阅读和写作能力。
3)具备杰出的学术道德、良好的沟通能力和团队合作精神,勤劳诚实,有上进心。
4)博士期间在相关领域的国际知名期刊发表SCI索引论文2篇以上。
5)目前已取得显著科研成果的申请者将予以优先考虑。
三、薪酬待遇
1)聘期2年。A类博士后综合年薪不低于45万元(含地方政府资助,下同),B类博士后综合年薪不低于40万元。特聘研究员聘期3年,A类研究员年薪不低于35万元,B类研究员综合年薪不低于30万元。入选广东省海外博士后人才支持项目,综合年薪不低于60万元。根据科研工作业绩表现,课题组提供相应的科研绩效奖励。
2)除综合年薪外,学校高标准缴纳社会保险和住房公积金,发放租房补贴。
3)提供工作开展所需科研条件及国内外学术交流机会,东莞市给予学术交流补助。
4)支持博士后作为负责人申请国家自然科学基金、中国博士后科学基金以及省、市各级科研项目;获得中国博士后科学基金资助项目或省级以上重点博士后资助项目,地方政府按1∶1给予配套资助。
5)出站后留莞工作的,东莞市给予50万元生活补助。入选广东省海外博士后人才支持项目,出站后留粤工作的,广东省给予40万元住房补贴。
6)支持博士后/特聘研究员申报东莞市特色人才,享受购房补贴、租房补贴、生活补助、科技成果转化贡献奖励、医疗保障、创业扶持、境外人才个人所得税优惠、优才卡服务等。
7)工作地点松山湖科学城,享受带薪年假、健康体检和校内餐厅等福利待遇,学校按属地政策协助解决子女入园入学。
8)对于优秀的出站博士后/特聘研究员积极推荐申请校内相关岗位。
注:出站颁发中科大/清华大学博士后证书。
四、应聘方式
有意者请提供以下申请材料:
1. 个人完整简历:包含自本科起详细的教育和工作经历、学术论文列表、承担(参与)科研项目等,附学历学位证明扫描件;
2. 代表性研究成果证明资料:论文、专利、科研项目、奖励情况等;
以上材料发送至:xixiuan@gbu.edu.cn
本课题组同时招聘联合培养博/硕士学生 (访问学生),随时欢迎志同道合的朋友通过邮件与我们联系!
添加官方微信 进群交流
SCI二氧化碳互助群
SCI催化材料交流群
SCI钠离子电池交流群
SCI离子交换膜经验交流群
SCI燃料电池交流群
SCI超级电容器交流群
SCI水系锌电池交流群
SCI水电解互助群
SCI气体扩散层经验交流群
备注【姓名-机构-研究方向】
投稿请联系contact@scimaterials.cn
点分享
点赞支持
点在看

